Contact us
Call us at
Available 6:00 AM – 5:00 PM (PST) Business Days
Download
Download Manuals, Datasheets, Software and more:
Feedback
Spectrum Analyzer Datasheet
RSA600A Series Laboratory Spectrum Analyzer Datasheet
More Information
- RSA600 Series Real Time Spectrum Analyzers
- Product Support
- Explore more Software models
Read Online:

The RSA600A Series USB spectrum analyzers offer high bandwidth laboratory spectrum analysis in a small, very transportable package.
Features and benefits
- 9 kHz to 3.0/7.5 GHz frequency range covers a broad range of analysis needs
- 40 MHz acquisition bandwidth enables real time analysis for transient capture and vector analysis
- Amplitude accuracy of 0.2 dB to 3 GHz (95% confidence)
- High speed full-span sweeps (25.0 GHz/s) for fast setup and discovery
- Standard GPS/GLONASS/Beidou receiver
- Optional tracking generator for gain/loss, antenna and cable measurements
- DataVu-PC software enables multi-unit recording in variable bandwidths
- SignalVu-PC software offers real time signal processing with DPX® Spectrum/Spectrogram to minimize time spent finding transient problems
- Time qualified triggers enable capture of events at desired pulse widths, ideal for capturing dynamic test environments
- Frequency mask triggers facilitate the definition of a spectrum mask to capture events or signal anomalies based on their frequency and amplitude
- DPX density trigger allows you to analyze and measure infrequent or elusive RF events by defining a spectrum measurement box, based on how frequently the instrument detects RF power within this box it can trigger to capture the signal
EMC/EMI pre-compliance and troubleshooting - CISPR detectors, predefined standards, limit lines, easy accessory setup, ambient capture, failure analysis, and report generation
- 15 μs minimum signal duration with 100% probability of intercept ensure you see problems first time, every time
- Signal analysis performance improves by pairing the USB RSA600A with more powerful host computers
- Application programming interface included for development of custom programs
Applications
- Characterization of RF devices, subsystems, and systems
- Manufacturing test
- Mobile field operations
- EMI/EMC compliance testing and troubleshooting
The RSA600 Series gives you the bandwidth and analysis tools you need to succeed
The RSA600 Series brings real-time spectrum analysis and wide analysis bandwidth to solving the problems of engineers who need to characterize, validate and manufacture their designs. The heart of the system is the USB-based RF spectrum analyzer that captures 40 MHz bandwidths with great fidelity. With 70 dB dynamic range and frequency coverage to 7.5 GHz, you can fully characterize wideband signals up to 40 MHz bandwidths. The USB form factor moves the processing power to the PC of your choice, so you decide when you need more processing power or memory.
The optional tracking generator enables gain/loss measurements for quick tests of filters, amplifiers, duplexers and other components, and you can add cable and antenna measurements of VSWR, return loss, distance to fault, and cable loss as needed.
SignalVu-PC™ software and an API for deep analysis and fast programmatic interaction
The RSA600 Series operates with SignalVu-PC, a powerful program used as the basis of Tek's traditional spectrum analyzers. SignalVu-PC offers a deep analysis capability previously unavailable in low-cost laboratory solutions. Real-time processing of the DPX spectrum/spectrogram is enabled in your PC, further reducing the cost of hardware. Customers who need programmatic access to the instrument can choose either the SignalVu-PC programmatic interface or use the included Application Programming Interface (API) that provides a rich set of commands and measurements directly. The API supports simultaneous control of up to four devices and is compatible with both Windows and Linux operating systems, enabling flexible and scalable deployments. Basic functionality of the free SignalVu-PC program is far from basic. Base version measurements are shown below.
The RSA600A combined with SignalVu-PC offers advanced measurements
With 40 MHz of real-time bandwidth, the unique DPX® spectrum/spectrogram shows you every instance of an interfering or unknown signal, even down to 15 μs in duration. The following image shows a WLAN transmission (green and orange), and the narrow signals that repeat across the screen are the Bluetooth access probe. The spectrogram (upper part of the screen) clearly separates these signals in time to show any signal collisions.

Advanced triggers
SignalVu's advanced triggers simplify the task of acquiring pulsed, transient, or unexpected RF signals, and elusive over-the-air RF signals in the field. Use the time qualified trigger to specify the duration of a pulse or signal event to trigger an acquisition.
Enable the DPX density trigger to activate a capture only when a signal appears in a certain spectrum area with a specific amount of power and duration.
Define a frequency mask trigger to capture when signals appear inside or outside a predefined area.




Spectrum monitoring
Finding unexpected signals is easy with unattended mask monitoring. A mask can be created on the DPX® spectrum display, and actions taken upon every violation, including stop, save a picture, save acquisition, or send an audible alert. In the illustration below, a mask violation has occurred in red on the mask, and a picture of the screen was saved as a result. Mask testing can be used for unattended monitoring and when playing back recorded signals, enabling testing for different violations on the same signals.

The tracking generator (Option 04 on the RSA600) is controlled via SignalVu-PC. A bandpass filter response from 800 MHz to 3 GHz is shown below. Option SV60 adds return loss, cable loss, and distance to fault.

EMC/EMI
EMI pre-compliance and diagnostic measurements are easy with the instrument and SignalVu-PC. Transducer, antenna, preamplifier, and cable gain/loss can be entered and stored in correction files, and the standard spurious measurement feature of SignalVu-PC can be used to establish limit lines for your test. The following illustration shows a test from 30 MHz to 960 MHz against the FCC Part 15 Class A limit shown shaded. The blue trace is the capture of Ambient. Violations are recorded in the results table below the graph. CISPR quasi peak and average detectors can be added with option SVQP.
The EMC pre-compliance solution can be added with option EMCVU. It supports many predefined limit lines. It also adds a wizard for easy setup of recommended antennas, LISN, and other EMC accessories with a one-button push. When using the new EMC-EMI display, you can accelerate the test by applying the time consuming quasi peak only on failures. This display also provides a push-button ambient measurement. The Inspect tool lets you measure frequencies of interest locally, removing the need for scanning.

SignalVu-PC application-specific licenses
SignalVu-PC offers a wealth of application-oriented options available either installed on the instrument, or as a floating license that can be moved between instruments or attached to your PC. Applications include:
- General-purpose digital modulation analysis (SVM) supporting 26 modulation types from FSK to 1024QAM
- EMC/EMI analysis with CISPR peak, quasi-peak, and average detectors
- Bluetooth® analysis of Basic Rate, Low Energy, and Bluetooth 5. Some support of Enhanced Data Rate
- P25 analysis of phase 1 and phase 2 signals
- WLAN analysis of 802.11a/b/g/j/p, 802.11n, 802.11ac
- LTE™ FDD and TDD Base Station (eNB) Cell ID and RF measurements
- 5G New Radio (NR) uplink/downlink RF power, Power dynamics, Signal quality, and Emissions measurements
- Mapping
- Pulse analysis
- AM/FM/PM/Direct Audio Measurement including SINAD, and THD
- Playback of recorded files, including complete analysis in all domains
- Signal classification and survey
Any of these licenses above enable SignalVu's advanced triggering capabilities: Time qualified, DPX density, and Frequency mask triggers.
See the separate SignalVu-PC data sheet for complete details and ordering information. Selected applications are illustrated below.
General-purpose digital modulation analysis
SignalVu-PC application SVM bundles 26 different modulation types into a single analysis package and offers constellation displays, eye diagrams, symbol tables, trellis diagrams, modulation quality summaries and more. Symbol rates and filter types are adjustable and an internal equalizer is included for signal optimization. The illustration below is of a TETRA-standard signal modulated with pi/4DQPSK modulation at 18.0 ksymbols/sec.

Bluetooth
Two new options have been added to help with Bluetooth SIG standardbase transmitter RF measurements in the time, frequency and modulation domains. Option SV27 supports Basic Rate and Low Energy Transmitter measurements defined by RF.TS.4.2.0 and RF-PHY.TS.4.2.0 Test Specification. It also demodulates and provides symbol information for Enhanced Data Rate packets. Option SV31 supports Bluetooth 5 standards (LE 1M, LE 2M, LE Coded) and measurements defined in the core specification. Both options also decode the physical layer data that is transmitted and color-encode the fields of packet in the symbol table for clear identification.

Pass/Fail results are provided with customizable limits. Measurement below shows deviation vs time, frequency offset and drift and a measurement summary with Pass/Fail results.

APCO 25
SignalVu-PC application SV26 enables analysis of APCO P25 signals. The following image shows a Phase II HCPM signal being monitored for anomalies with the spectrogram while performing transmitter power, modulation, and frequency measurements to the TIA-102 standards specification.

LTE
Application SV28 enables the following LTE base station transmitter measurements:
- Cell ID
- Channel power
- Occupied bandwidth
- Adjacent Channel Leakage Ratio (ACLR)
- Spectrum Emission Mask (SEM)
- Transmitter off power for TDD
- Reference Signal (RS) Power
The measurements follow the definition in 3GPP TS Version 12.5 and support all base station categories, including picocells and femtocells. Pass/Fail information is reported and all channel bandwidths are supported.
The Cell ID preset displays the Primary Synchronization Signal (PSS) and the Secondary Synchronization Signal (SSS) in a Constellation diagram. It also provides Frequency Error.
The illustration below shows spectral monitoring with the spectrogram display combined with a Cell ID/Constellation, Spectrum Emission Mask and ACLR measurements.

5G NR modulation analysis and measurements option
5G NR is among the growing set of signal standards, applications, and modulation types supported by SignalVu-PC Vector Signal Analysis (VSA) software. The SignalVu-PC VSA 5G NR analysis option provides comprehensive analysis capabilities in the frequency, time, and modulation domains for signals based on the 3GPP’s 5G NR specification.
By configuring result traces of spectrum, acquisition time, and NR specific modulation quality (e.g, EVM, frequency error, I/Q error) traces and tables, engineers can identify overall signal characteristics and troubleshoot intermittent error peaks or repeated synchronization failures.
Error Vector Magnitude (EVM) is a figure of merit used to describe signal quality. It does this by measuring the difference on the I/Q plane between the ideal constellation point of the given symbol versus the actual measured point. It can be measured in dB or % of the ideal sub-symbol, normalized to the average QAM power received, and display constellation of symbols vs ideal symbol. The EVM vs Symbol or EVM vs Time gives the EVM of OFDM symbols present in the number of symbols considered or the time within a slot.
For automated testing, SCPI remote interfaces are available to accelerate design, which enables the quick transition to the design verification and manufacturing phases.

5G NR transmitter measurements core supported features
5G NR option (5GNRNL-SVPC) supports 5G NR modulation analysis measurements according to Release 15 and Release 16 of 3GPP’s TS38 specification, including:
- Analysis of uplink and downlink frame structures
- 5G NR measurements and displays including
- Modulation Accuracy (ModAcc)
- Channel Power (CHP)
- Adjacent Channel Power (ACP)
- Spectrum Emission Mask (SEM)
- Occupied Bandwidth (OBW)
- Power Vs Time (PVT)1
- Error Vector Magnitude (EVM)
- Summary table with all scalar results for ModAcc, SEM, CHP, ACP, OBW, PVT, and EVM measurements
- In-depth analysis and troubleshooting with coupled measurements across domains, use multiple markers to correlate results to find root-cause.
- Saves reports in CSV format with configuration parameters and measurement results
- Configurable parameters of PDSCH or PUSCH for each component carrier
- For downlink, supported test models for FDD and TDD per 3GPP specifications
WLAN 802.11a/b/g/j/p/n/ac
With options SV23, 24 and 25, sophisticated WLAN measurements are easy. On the 802.11ac (20 MHz) signal shown, the spectrogram shows the initial pilot sequence followed by the main signal burst. The modulation is automatically detected as 64 QAM for the packet and displayed as a constellation. The data summary indicates an EVM of -37.02 dB RMS, and burst power is measured at -17.32 dBm. SignalVu-PC applications are available for 802.11a/b/j/g/p, 802.11n, and 802.11ac to 40 MHz bandwidth.

Playback
Application SV56, playback of recorded signals, can reduce hours of watching and waiting for a spectral violation to minutes at your desk reviewing recorded data.
Recording length is limited only by storage media size, and recording is a basic feature included in SignalVu-PC. SignalVu-PC application SV56 (Playback) allows for complete analysis by all SignalVu-PC measurements, including DPX Spectrogram. Minimum signal duration specifications are maintained during playback. AM/FM audio demodulation can be performed. Variable span, resolution bandwidth, analysis length, and bandwidth are all available.
In the illustration below, the FM band is being replayed, with a mask applied to detect spectral violations, simultaneous with listening to the FM signal at the center frequency of 92.3 MHz.

DataVu-PC for multi-instrument recording and analysis of large recordings
DataVu-PC software can control two spectrum analyzers simultaneously with independent settings. This allows you to monitor a wide span, while recording at up to 40 MHz bandwidth at any frequency in the range of the instrument. Once recorded, DataVu-PC can find and mark signals of interest based on amplitude and frequency-mask characteristics, eliminating the need for manual inspection of long recordings. Pulse measurements are available on up to 2,000,000 pulses.
Specifications
All specifications are guaranteed unless noted otherwise. All specifications apply to all models unless noted otherwise.
Frequency
- Frequency range
- RSA603A
- 9 kHz to 3 GHz
- RSA607A
- 9 kHz to 7.5 GHz
- Frequency marker readout accuracy
±(RE × MF + 0.001 × Span) Hz
RE: Reference Frequency Error
MF: Marker Frequency [Hz]
- Reference frequency accuracy
- Initial accuracy at Cal (30 min warm-up)
- ±1 x 10-6
- First year aging, typical
- ±1 x 10-6 (One year)
- Cumulative error (Initial accuracy + temperature + aging), typical
- 3 x 10-6 (One year)
- Temperature drift
- ±0.9 x 10-6 (-10 to 60 °C)
- External reference input
- BNC connector, 50 Ω nominal
- External reference input frequency
- Every 1 MHz from 1 to 20 MHz plus the following: 1.2288 MHz, 2.048 MHz, 2.4576 MHz, 4.8 MHz, 4.9152 MHz, 9.8304 MHz, 13 MHz, and 19.6608 MHz.
- The spurious level on the input signal must be less than -80 dBc within 100 kHz offset to avoid on-screen spurious.
- External reference input range
- ± 5 ppm
- External reference input level
- -10 to +10 dBm
GNSS
- Accuracy, when locked to GNSS2
- ±0.025 ppm3
- GNSS Trained Accuracy, when GNSS antenna is disconnected 1, 4
- ±0.025 ppm5
±0.08 ppm6
RF input
- RF input impedance
- 50 Ω
- RF VSWR (RF Attn = 20 dB), typical
< 1.2 (10 MHz to 3 GHz)
< 1.5 (>3 GHz to 7.5 GHz)
- RF VSWR preamp ON, RSA603A and RSA607A, typical
< 1.5 (10 MHz to 6 GHz, RF ATT=10 dB, preamp on)
< 1.7 (> 6 GHz to 7.5 GHz, RF ATT=10 dB, preamp on)
- Maximum RF input level
- Maximum DC voltage
- ±40 V (RF input)
- Maximum safe input power
+33 dBm (RF input, 10 MHz to 7.5 GHz, RF Attn ≥ 20 dB)
+13 dBm (RF input, 9 kHz to 10 MHz, RF Attn ≥ 20 dB)
+20 dBm (RF input, RF Attn < 20 dB)
- Maximum safe input power (Preamp On)
+33 dBm (RF input, 10 MHz to 7.5 GHz, RF Attn ≥ 20 dB)
+13 dBm (RF input, 9 kHz to 10 MHz, RF Attn ≥ 20 dB)
- Maximum measurable input power
+30 dBm (RF input, ≥ 10 MHz to Fmax, RF ATT Auto)
+20 dBm (RF input, < 10 MHz, RF ATT Auto)
- Input RF attenuator
- 0 dB to 51 dB (1 dB step)
- Sweep speed
- Full span sweep speed, typical mean 7
25.0 GHz/sec (RBW = 1 MHz)
24.7 GHz/sec (RBW = 100 kHz)
15.7 GHz/sec (RBW = 10 kHz)
2.0 GHz/sec (RBW = 1 kHz)
- Tuning step time via API
- 2.5 ms
Amplitude and RF
- Amplitude and RF flatness
- Reference level setting range
- -170 dBm to +40 dBm, 0.1 dB step, (Standard RF input)
Amplitude accuracy at all center frequencies Center frequency range 18 ⁰C to 28 ⁰C 9 kHz ≤3.0 GHz ±0.8 dB >3 to 7.5 GHz ±1.5 dB - Amplitude Accuracy at all center frequencies - Preamp on (18 ℃ to 28 ℃ , 10 dB RF Attenuator)
Center frequency range 18 ⁰C to 28 ⁰C 100 kHz to ≤3.0 GHz ±1.0 dB >3 to 7.5 GHz ±3.0 dB - Preamp gain
27 dB at 2 GHz
21 dB at 6 GHz (RSA607A)
- Channel response (amplitude and phase deviation), typical
- For these specifications, use a flat top window for maximum CW amplitude verification accuracy with the RF attenuator setting at 10 dB.
Characteristic Description Measurement center frequency Span Amplitude flatness, typical Amplitude flatness, RMS, typical Phase linearity, RMS, typical 9 kHz to 40 MHz
≤40 MHz 8 ±1.0 dB 0.60 dB >40 MHz to 4.0 GHz
≤20 MHz ±0.10 dB 0.08 dB 0.3° >4 GHz to 7.5 GHz
≤20 MHz ±0.35 dB 0.20 dB 0.7° >40 MHz to 4 GHz
≤40 MHz ±0.15 dB 0.08 dB 0.6° >4 GHz to 7.5 GHz
≤40 MHz ±0.40 dB 0.20 dB 1.0° - Channel response (Amplitude flatness)
- For these specifications, use a flat top window for maximum CW amplitude verification accuracy with the RF attenuator setting at 10 dB. The specifications are valid for the test center frequencies listed at the end of the table.
Characteristic Description Amplitude flatness Span ≤20 MHz ±0.5 dB ≤40 MHz ±0.5 dB Test center frequencies (in MHz) 21, 30, 500, 1000, 1500, 2000, 2500, 3000, 3500, 3950, 4050, 4500, 4850, 4950, 5500, 5750, 5850, 6200, 6650, 6750, 7000, 7450
Trigger
- Trigger/Sync input, typical
Voltage range: TTL, 0.0 V to 5.0 V
Trigger level (Schmitt trigger):
Positive-going threshold voltage: 1.6 V min, 2.1 V max
Negative-going threshold voltage: 1.0 V min., 1.35 V max
Impedance: 10 k ohms with schottky clamps to 0 V, +3.4 V
- Trigger events
Power Level within Span (RF power trigger)
Frequency mask (Host)
Time-qualified level (Host)
DPX density (Host)
- External trigger timing uncertainty
>20 MHz to 40 MHz acquisition bandwidth: ±250 ns
Uncertainty increases as acquisition bandwidth is decreased.
- Power trigger
- Power trigger, typical
Range: 0 dB to -50 dB from reference level, for trigger levels >30 dB above the noise floor.
Type: Rising or falling edge
Trigger re-arm time: ≤100 μsec
- Power trigger position timing uncertainty
>20 MHz to 40 MHz acquisition bandwidth: ±250 ns
Uncertainty increases as acquisition bandwidth is decreased.
- Power trigger level accuracy
±1.5 dB for CW signal at tuned center frequency for trigger levels >30 dB above the noise floor.
This specification is in addition to the overall amplitude accuracy uncertainty for SA mode.
- Frequency mask and DPX density trigger
Frequency mask trigger mask point horizontal resolution: < 0.13 % of span
- Frequency mask trigger level range
- 0 to -80 dB from reference level
- Frequency mask trigger level resolution
- 0.1 dB
- Frequency mask trigger level accuracy (with respect to reference level)
- ± (Channel Response Flatness + 2.5 dB) for mask levels ≥ -50 dB from reference level and >30 dB above the noise floor
- Frequency mask trigger timing uncertainty
- ± (0.5 * Spectrum time)
- DPX density trigger area of interest range
- 2 to 801 pixels (horizontal) x 2 to 201 pixels (vertical)
Noise and distortion
All noise and distortion measurements are made with the Preamp off, except where noted.
- 3rd Order IM intercept (TOI)
+14 dBm at 2.130 GHz (RSA503A/RSA507A)
- 3rd Order IM intercept (TOI),
- Preamp off, typical
+10 dBm (9 kHz to 25 MHz)
+15 dBm (25 MHz to 3 GHz)
+15 dBm (3 GHz to 4 GHz, RSA607A )
+10 dBm (4 GHz to 7.5 GHz, RSA607A)
- Preamp on, typical
-20 dBm (9 kHz to 25 MHz)
-15 dBm (25 MHz to 3 GHz)
-15 dBm (3 GHz to 4 GHz)
-20 dBm (4 GHz to 7.5 GHz, RSA607A)
- 3rd Order Inter-modulation distortion
-78 dBc at 2.130 GHz (RSA513A/518A)
Each signal level -25 dBm at the RF input. 2 MHz tone separation. Attenuator = 0, Reference level = -20 dBm.
- 3rd Order inter-modulation distortion
- Preamp off, typical
< -70 dBc (10 kHz to 25 MHz)
< -80 dBc (25 MHz to 3 GHz)
< -80 dBc (3 GHz to 4 GHz)
< -70 dBc (4 GHz to 6 GHz, RSA607A)
< -70 dBc (6 GHz to 7.5 GHz, RSA607A)
Each signal level -25 dBm at the RF input. 2 MHz tone separation. Attenuator = 0, Reference level = -20 dBm.
- Preamp on, typical
< -70 dBc (9 kHz to 25 MHz)
< -80 dBc (25 MHz to 3 GHz)
< -80 dBc (3 GHz to 4 GHz)
< -70 dBc (4 GHz to 6 GHz, RSA607A)
< -70 dBc (6 GHz to 7.5 GHz, RSA607A)
Each signal level -55 dBm at the RF input. 2 MHz tone separation. Attenuator = 0, Reference level = -50 dBm.
- 2nd Harmonic distortion, typical
- 2nd Harmonic distortion
< -75 dBc (40 MHz to 1.5 GHz)
< -75 dBc (1.5 GHz to 3.75 GHz, RSA607A)
- 2nd Harmonic distortion, Preamp on
< - 60 dBc (40 MHz to 3.75 GHz), input frequency
- 2nd Harmonic distortion intercept (SHI)
+35 dBm (40 MHz to 1.5 GHz), input frequency
+35 dBm (1.5 GHz to 3.75 GHz), input frequency
- 2nd Harmonic distortion intercept (SHI), Preamp on
+15 dBm (40 MHz to 3.75 GHz), input frequency
- Displayed average noise level (DANL)
(Normalized to 1 Hz RBW, with log-average detector)
For the RSA603A and RSA607A:
Frequency range Preamp on Preamp on, typical Preamp off, typical 500 kHz to 1 MHz -138 dBm/Hz -145 dBm/Hz -130 dBm/Hz 1 MHz to 25 MHz -153 dBm/Hz -158 dBm/Hz -130 dBm/Hz >25 MHz to 1 GHz -161 dBm/Hz -164 dBm/Hz -141 dBm/Hz >1 GHz to 2 GHz -159 dBm/Hz -162 dBm/Hz -141 dBm/Hz >2 GHz to 3 GHz -156 dBm/Hz -159 dBm/Hz -138 dBm/Hz >3 GHz to 4 GHz, RSA607A
- dBm/Hz
- dBm/Hz
-138 dBm/Hz >4 GHz to 6 GHz, RSA607A
-159 dBm/Hz -162 dBm/Hz -147 dBm/Hz >6 GHz to 7.5 GHz, RSA607A
-155 dBm/Hz -158 dBm/Hz -145 dBm/Hz
Phase Noise
- Phase noise
Offset 1 GHz CF 1 GHz CF (typical) 2 GHz CF (typical) 6 GHz CF, (RSA607A) (typical) 10 MHz (typical) 10 kHz -94 dBc/Hz -97 dBc/Hz -96 dBc/Hz -94 dBc/Hz -120 dBc/Hz 100 kHz -94 dBc/Hz -98 dBc/Hz -97 dBc/Hz -96 dBc/Hz -124 dBc/Hz 1 MHz -116 dBc/Hz -121 dBc/Hz -120 dBc/Hz -120 dBc/Hz -124 dBc/Hz
- Integrated Phase (RMS), typical
7.45 x 10-3 radians @ 1 GHz
8.24 x 10-3 radians @ 2 GHz
9.34 x 10-3 radians @ 6 GHz
Integrated from 10 kHz to 10 MHz
Spurious response
- Residual spurious response (Reference = -30 dBm, RBW = 1 kHz)
<-75 dBm (500 kHz to 60 MHz), typical
< -85 dBm (>60 MHz to 80 MHz), typical
<-100 dBm (>80 MHz to 7.5 GHz), typical
- Spurious response with signal (Image suppression)
< -65 dBc (10 kHz to < 3 GHz, Ref= -30 dBm, Atten = 10 dB, RF input Level = -30 dBm, RBW = 10 Hz)
< -65 dBc (3 GHz to 7.5 GHz, Ref= -30dBm, Atten = 10 dB, RF input Level = -30 dBm, RBW = 10 Hz)
- Spurious response with signal at CF
- Offset ≥ 1 MHz
Frequency Span ≤40 MHz, swept spans >40 MHz 1 MHz - 100 MHz -75 dBc 100 MHz - 3 GHz -72 dBc -75 dBc 3 GHz - 7.5 GHz (RSA607A) -72 dBc -75 dBc
- Spurious response with signal at CF
(100 kHz ≤ offset <1 MHz, Span=2 MHz ):
Frequency Typical 1 MHz - 100 MHz -76 dBc 100 MHz - 3 GHz -76 dBc 3 GHz - 7.5 GHz (RSA607A) -74 dBc 9
- Spurious response with signal at other than CF, typical
Frequency Span ≤40 MHz, swept spans >40 MHz 1 MHz – 25 MHz (LF Band) -73 dBc 25 MHz – 3 GHz -73 dBc 3 GHz – 7.5 GHz (RSA607A) -73 dBc
- Spurious response with signal at half-IF 10
- RSA603A, RSA607A
< -75 dBc, (CF: 30 MHz to 3 GHz, Ref = -30 dBm, Atten = 10 dB, RBW = 10 Hz, Span = 10 kHz)
Signal frequency = 2310 MHz, RF input level = -30 dBm
- RSA607A
< 77 dBc, (CF 3 G Hz to 7.5 GHz, Ref= -30 dBm, Atten = 10 dB, RBW=10 Hz, Span=10 kHz)
RF input Level = -30 dBm
- Local oscillator feed-through to input connector, typical
< -70 dBm, preamp off.
< -90 dBm, preamp on.
Attenuator = 10 dB.
Acquisition
- IF bandwidth
- 40 MHz.
- A/D converter
- 14 bits, 112 Ms/s.
- Real-Time IF Acquisition Data
- 112 Ms/s, 16-bit integer samples.
ACLR
- ACLR for 3GPP Down Link, 1 DPCH (2130 MHz)
- -57 dB (Adjacent Channel)
- -68 dB w/Noise Correction (Adjacent Channel)
- -57 dB (First Alternate Channel)
- -69 dB w/Noise Correction (First Adjacent Channel)
- ACLR LTE
- -58 dB (Adjacent Channel)
- -61 dB w/Noise Correction (Adjacent Channel)
- -61 dB (First Alternate Channel)
- -63 dB w/Noise Correction (First Adjacent Channel)
GPS location
- Format
- GPS/GLONASS/BeiDou
- GPS antenna power
- 3 V, 100 mA maximum
- Time to first fix, maximum
- Lock time ranges from 2 sec (hot) to 46 sec (cold start).
- -130 dBm input signal power.
- Horizontal position accuracy
GPS: 2.6 m
Glonass: 2.6 m
BeiDou: 10.2 m
GPS + Glonass: 2.6 m
GPS + BeiDou: 2.6 m
Test conditions: 24 hr. static, -130 dBm, full power
Tracking generator (Option 04)
- Tracking Generator (Option 04)
- Frequency range
Reflection 9 kHz - 3.0 GHz (RSA603A) 9 kHz - 7.5 GHz (RSA607A)
Transmission 10 MHz to 3 GHz (RSA603) 10 MHz to 7.5 GHz (RSA607A)
- Sweep speed, typical mean
- 0.192 sec/sweep, 101 points, 50 kHz RBW, 980 to 1020 MHz sweep (1.9 mS per point)
Measured using a Panasonic Toughpad FZ-G1, Intel® Core™ i5-5300U 2.3 GHz Processor, 8 GB RAM, 256 GB SSD, Windows®7 Pro, power management set to "High Performance". Transmission Gain display is only measurement on screen.
- Frequency resolution
- 100 Hz
- TG output connector
- N type
- VSWR
- < 1.9:1, 10 MHz to 7.5 GHz, -20 dBm output level
- Maximum output power
- -3 dBm,10 MHz to 7.5 GHz
- Output power level setting range
- 40 dB, 10 MHz to 7.5 GHz
- Output power level step size
- 1 dB, 10 MHz to 7.5 GHz
- Output power level step size accuracy
- ± 0.5 dB
- Output level accuracy
- ± 1.5 dB, 10 MHz to 7.5 GHz, -20 dBm output level
- Harmonics
- < -22 dBc, ≥20 MHz
- Non-harmonic spurious
- < -30 dBc; spurious < 2 GHz from TG output frequency
- < -25 dBc; spurious ≥ 2 GHz from TG output frequency
- Reverse power without damage
- 40 Vdc, +20 dBm RF
SignalVu-PC standard measurements and performance
SignalVu-PC/RSA607A key characteristics
- Maximum span
- 40 MHz real-time
- 9 kHz - 3 GHz swept
- 9 kHz - 7.5 GHz swept
- Maximum acquisition time
- 2.0 s
- Minimum IQ resolution
- 17.9 ns (acquisition BW = 40 MHz)
- Tuning Tables
- Tables that present frequency selection in the form of standards-based channels are available for the following.
- Cellular standards families: AMPS, NADC, NMT-450, PDC, GSM, CDMA, CDMA-2000, 1xEV-DO WCDMA, TD-SCDMA, LTE, WiMax
- Unlicensed short range: 802.11a/b/j/g/p/n/ac, Bluetooth
- Cordless phone: DECT, PHS
- Broadcast: AM, FM, ATSC, DVBT/H, NTSC
- Mobile radio, pagers, other: GMRS/FRS, iDEN, FLEX, P25, PWT, SMR, WiMax
- DPX spectrum display
- Spectrum processing rate (RBW = auto, trace length 801)
- ≤10,000 spectrums per second
- DPX bitmap resolution
- 201 pixels vertical x 801 pixels horizontal
- DPX Spectrogram minimum time resolution 11
- 1 ms
- ≤10,000 per second (span independent)
- Marker information
- Amplitude, frequency, signal density
- Minimum signal duration for 100% probability of intercept (POI), typical 1
Minimum signal duration for 100% POI Test controller 27 Dell Desktop (Windows® 10 Enterprise, Intel® Core™ i7-4790 CPU, 3.6GHz, 8GB RAM, 256GB SSD) 34 Dell Desktop (Windows® 7 Enterprise, Intel® Core™ i7-2600 CPU, 3.4GHz, 8GB RAM, 256GB SSD) 36 Dell Desktop Latitude E6430 (Windows® 10 Enterprise, Intel® Core™ i7-3520M CPU, 2.9GHz, 8GB RAM, 750GB HD) 35 Dell Laptop Precision M4700 (Windows® 8 Enterprise, Intel® Core™ i7-3520M CPU, 2.9GHz, 8GB RAM, 750GB HD) 37 Panasonic ToughPad SAPL-TP-04 (Windows® 7 Pro, Intel® Core™ i5-5300U CPU, 2.3GHz, 8GB RAM, 256GB SSD) - DPX settings: Span=40 MHz, RBW=300 kHz (Auto)
- Span range (continuos processing)
- 1 kHz to 40 MHz
- Span range (swept)
- Up to maximum frequency range of instrument
- Dwell time per step
- 5 ms to 100 s
- Trace processing
- Color-graded bitmap, +Peak, -Peak, average
- Trace length
- 801, 2401, 4001, 10401
- RBW range
- 1 kHz to 4.99 MHz
- DPX spectrogram display
- Trace detection
- +Peak, -Peak, Average(VRMS)
- Trace length, memory depth
- 801 (60,000 traces)
- 2401 (20,000 traces)
- 4001 (12,000 traces)
- Time resolution per line
- 1 ms to 6400 s, user selectable
- Spectrum and Spurious display
- Traces
- Three traces + 1 math trace + 1 trace from spectrogram for Spectrum display; four traces for Spurious display
- Trace functions
- Normal, Average (VRMS), Max Hold, Min Hold, Average of Logs
- Detector
- Average (VRMS), Average (of logs), CISPR peak, +Peak, Sample for Spectrum only -Peak; when Option SVQP is enabled, CISPR Quasi Peak and Average
- Spectrum trace length
- 801, 2401, 4001, 8001,10401, 16001, 32001, and 64001 points
- RBW range
- 1.18 Hz to 8 MHz for Spectrum display
- Analog modulation analysis (standard)
- AM demodulation accuracy typical
- ±2%
- 0 dBm input at center, carrier frequency 1 GHz, 1 kHz/5 kHz input/modulated frequency, 10% to 60% modulation depth
- 0 dBm input power level, reference level = 10 dBm, Atten=Auto
- FM demodulation accuracy, typical
- ±1% of span
- 0 dBm input at center, carrier frequency 1 GHz, 400 Hz/1 kHz input/modulated frequency
- 0 dBm input power level, reference level = 10 dBm, Atten=Auto
- PM demodulation accuracy, typical
- ±3% of measurement bandwidth
- 0 dBm input at center, carrier frequency 1 GHz, 1 kHz/5 kHz input/modulated frequency
- 0 dBm input power level, reference level = 10 dBm, Atten=Auto
- Signal Strength display
- Signal strength indicator
- Located at right side of display
- Measurement bandwidth
- Up to 40 MHz, dependent on span and RBW setting
- Tone type
Variable frequency based on received signal strength
Sweep speed
- Full-span sweep speed
- Full span sweep speed, typical
5500 MHz/sec (RBW = 1 MHz)
5300 MHz/sec (RBW = 100 kHz)
3700 MHz/sec (RBW = 10 kHz)
950 MHz/sec (RBW = 1 kHz)
Measured using a Panasonic Toughpad FZ-G1, Intel® Core™ i5-5300U 2.3 GHz Processor, 8 GB RAM, 256 GB SSD, Windows®7 Pro.
Spectrum display is only measurement on screen
- Tuning step time via API
- 1 ms
SignalVu-PC applications performance summary
- AM/FM/PM and direct audio measurement (SVAxx-SVPC)
- Carrier frequency range (for modulation and audio measurements)
- (1/2 × audio analysis bandwidth) to maximum input frequency
- Maximum audio frequency span
- 10 MHz
- FM measurements (Mod. index >0.1)
- Carrier Power, Carrier Frequency Error, Audio Frequency, Deviation (+Peak, -Peak, Peak-Peak/2, RMS), SINAD, Modulation Distortion, S/N, Total Harmonic Distortion, Total Non-harmonic Distortion, Hum and Noise
- AM measurements
- Carrier Power, Audio Frequency, Modulation Depth (+Peak, -Peak, Peak-Peak/2, RMS), SINAD, Modulation Distortion, S/N, Total Harmonic Distortion, Total Non-harmonic Distortion, Hum and Noise
- PM measurements
- Carrier Power, Carrier Frequency Error, Audio Frequency, Deviation (+Peak, -Peak, Peak-Peak/2, RMS), SINAD, Modulation Distortion, S/N, Total Harmonic Distortion, Total Non-harmonic Distortion, Hum and Noise
- Audio filters
- Low pass, kHz: 0.3, 3, 15, 30, 80, 300, and user-entered up to 0.9 × audio bandwidth
- High pass, Hz: 20, 50, 300, 400, and user-entered up to 0.9 × audio bandwidth
- Standard: CCITT, C-Message
- De-emphasis (μs): 25, 50, 75, 750, and user-entered
- File: User-supplied .TXT or .CSV file of amplitude/frequency pairs. Maximum 1000 pairs
Performance characteristics, typical Conditions: Unless otherwise stated, performance is given for:
Modulation rate = 5 kHz
AM depth: 50%
PM deviation 0.628 Radians
FM AM PM Conditions Carrier Power accuracy Refer to instrument amplitude accuracy Carrier Frequency accuracy ± 0.5 Hz + (transmitter frequency × ref. freq. error) Refer to instrument frequency accuracy ± 0.2 Hz + (transmitter frequency × ref. freq. error) FM deviation: 1 kHz /10 kHz Depth of Modulation accuracy NA ± 0.2%+(0.01 * measured value) NA Rate: 1 kHz to 100kHz
Depth: 10% to 90%
Deviation accuracy ± (1% × (rate + deviation)+50 Hz) NA ± 100% * (0.01 +(measured rate/1 MHz)) FM Rate: 1 kHz to 1 MHz Rate accuracy ± 0.2 Hz ± 0.2 Hz ± 0.2 Hz FM deviation: 1 kHz to 100 kHz Residual THD 0.10% 0.13% 0.1% FM Deviation: 5 kHz
Rate:1 kHz to 10 kHz
Depth: 50%
Residual SINAD 43 dB 58 dB 40 dB FM Deviation 5 kHz
Rate: 1 kHz to 10 kHz
Depth: 50%
- APCO P25 Measurements Application (SV26xx-SVPC)
- Measurements
- RF output power, operating frequency accuracy, modulation emission spectrum, unwanted emissions spurious, adjacent channel power ratio, frequency deviation, modulation fidelity, frequency error, eye diagram, symbol table, symbol rate accuracy, transmitter power and encoder attack time, transmitter throughput delay, frequency deviation vs. time, power vs. time, transient frequency behavior, HCPM transmitter logical channel peak adjacent channel power ratio, HCPM transmitter logical channel off slot power, HCPM transmitter logical channel power envelope, HCPM transmitter logical channel time alignment, cross-correlated markers
- Modulation fidelity, typical
- CF = 460 MHz, 815 MHz
- C4FM ≤ 1.0%
- HCPM ≤ 0.5%
- HDQPSK ≤ 0.25%
- Input signal level is optimized for best modulation fidelity.
- Bluetooth Measurements Application (SV27xx-SVPC and SV31xx-SVPC)
- Supported standards
- Bluetooth® 4.2 Basic Rate, Bluetooth® 4.2 Low Energy, Bluetooth® 4.2 Enhanced Data Rate. Bluetooth® 5 when SV31 is enabled.
- Measurements
- Peak Power, Average Power, Adjacent Channel Power or InBand Emission mask, -20 dB Bandwidth, Frequency Error, Modulation Characteristics including ΔF1avg (11110000), ΔF2avg (10101010), ΔF2 > 115 kHz, ΔF2/ΔF1 ratio, frequency deviation vs. time with packet and octet level measurement information, Carrier Frequency f0, Frequency Offset (Preamble and Payload), Max Frequency Offset, Frequency Drift f1-f0, Max Drift Rate fn-f0 and fn-fn-5, Center Frequency Offset Table and Frequency Drift table, color-coded Symbol table, Packet header decoding information, eye diagram, constellation diagram
- Output power (BR and LE), typical mean
- Supported measurements: Average power, peak power
- Level uncertainty: refer to instrument amplitude and flatness specification
- Measurement range: signal level > –70 dBm
- Modulation characteristics, typical mean
- Supported measurements: ΔF1avg, ΔF2avg, ΔF2avg/ ΔF1avg, ΔF2max%>=115 kHz (basic rate), ΔF2max%>=115kHz (low energy)
- Deviation range: ±280 kHz
- Deviation uncertainty (at 0 dBm):
- <2 kHz 12 + instrument frequency uncertainty (basic rate)
- <3 kHz 1 + instrument frequency uncertainty (low energy)
- Measurement range: Nominal channel frequency ±100 kHz
- Initial Carrier Frequency Tolerance (ICFT) (BR and LE), typical mean
- Measurement uncertainty (at 0 dBm): <1 kHz 1 + instrument frequency uncertainty
- Measurement range: Nominal channel frequency ±100 kHz
- Carrier Frequency Drift (BR and LE), typical mean
- Supported measurements: Max freq. offset, drift f1- f0, max drift fn-f0, max drift fn-fn-5 (BR and LE 50 μs)
- Measurement uncertainty: <1 kHz + instrument frequency uncertainty
- Measurement range: Nominal channel frequency ±100 kHz
- In-band emissions (ACPR) (BR and LE)
- Level uncertainty: refer to instrument amplitude and flatness specification
- General-purpose digital modulation analysis (SVMxx-SVPC)
- Modulation formats
- BPSK, QPSK, 8PSK, 16QAM, 32QAM, 64QAM, 128QAM, 256QAM, 1024QAM, π/2DBPSK, DQPSK, π/4DQPSK, D8PSK, D16PSK, SBPSK, OQPSK, SOQPSK, 16-APSK, 32-APSK, MSK, CPM, 2FSK, 4FSK, 8FSK, 16FSK, C4FM
- Analysis period
- Up to 163,500 samples
- Filter rolloff factor
- α:0.001 to 1, in 0.001 steps
- Vector diagram display format
- Symbol/locus display, Frequency Error measurement, Origin Offset measurement
- LTE Downlink RF measurements (SV28xx-SVPC)
- Standard supported
3GPP TS 36.141 Version 12.5
- Frame format supported
FDD and TDD
- Measurements and displays supported
- Adjacent Channel Leakage Ratio (ACLR), Spectrum Emission Mask (SEM), Channel Power, Occupied Bandwidth, Power versus. Time showing Transmitter OFF power for TDD signals and LTE constellation diagram for Primary Synchronization Signal and Secondary Synchronization Signal with Cell ID, Group ID, Sector ID, RS (Reference Signal) Power and Frequency Error.
5G NR Uplink/Downlink measurements (5GNRNL-SVPC)
- Standard supported
- TS 38.141-1 for BS and 38.521-1 for UE
- Modulation accuracy
- Sec 6.5.2 for BS and Sec 6.4.2 for UE.
- ACP
- Sec 6.6.3 for BS and Sec 6.5.2.4 for UE
- Frame format supported
- Uplink (FDD and TDD)
- Downlink (FDD and TDD)
- Measurements and displays supported
- Channel Power (CHP), Adjacent Channel Power (ACP), Power Vs Time (PVT)1, Modulation Accuracy (including Error Vector Magnitude (EVM), Frequency Error, IQ Error), EVM vs. Symbol, Occupied Bandwidth (OBW), Spectral Emission Mask (SEM), Constellation Diagram, and summary table with scalar results.
- EVM (typical)
20 MHz 1CC, 256QAM UL, 30 kHz subcarrier spacing 1 GHz 2 GHz 3.5 GHz 5 GHz 6 GHz 7 GHz 0.78% 0.93% 1.04% 0.87% 1.01% 1.05% For RSA518 Series Spectrum Analyzers: ≤ 39.2 dB rms EVM from 1 GHz to 7 GHz for 20 MHz CC1, 256 QAM, -6 dBm to -33 dBm channel power, within -1 dB of full scale.

- ACLR (typical)
- < -48 dBc for 20 MHz CC1, 256 QAM, -6dBm to -27 dBm channel power, within -1 dB of full scale < 7GHz
- Mapping (MAPxx-SVPC)
- Supported map types
- Pitney Bowes MapInfo (*.mif), Bitmap (*.bmp), Open Street Maps (.osm)
- Saved measurement results
- Measurement data files (exported results)
- Map file used for the measurements
- Google Earth KMZ file
- Recallable results files (trace and setup files)
- MapInfo-compatible MIF/MID files
Pulse measurements (SVPxx-SVPC)
- Measurements (nominal)
- Pulse-Ogram™ waterfall display of multiple segmented captures, with amplitude vs time and spectrum of each pulse. Pulse frequency, Delta Frequency, Average on power, Peak power, Average transmitted power, Pulse width, Rise time, Fall time, Repetition interval (seconds), Repetition interval (Hz), Duty factor (%), Duty factor (ratio), Ripple (dB), Ripple (%), Droop (dB), Droop (%), Overshoot (dB), Overshoot (%), Pulse- Ref Pulse frequency difference, Pulse- Ref Pulse phase difference, Pulse- Pulse frequency difference, Pulse- Pulse phase difference, RMS frequency error, Max frequency error, RMS phase error, Max phase error, Frequency deviation, Phase deviation, Impulse response (dB), Impulse response (time), Time stamp.
- Minimum pulse width for detection, typical
- 150 ns
- Average on power at 18 °C to 28 °C, typical
- ±0.4 dB + absolute amplitude accuracy
- For pulses of 300 ns width or greater, duty cycles of .5 to .001, and S/N ratio ≥30 dB
- Duty factor, typical
- ±0.2% of reading
- For pulses of 450 ns width or greater, duty cycles of .5 to .001, and S/N ratio ≥30 dB
- Average transmitted power, typical
- ±0.5 dB + absolute amplitude accuracy
- For pulses of 300 ns width or greater, duty cycles of .5 to .001, and S/N ratio ≥30 dB
- Peak pulse power, typical
- ±1.2 dB + absolute amplitude accuracy
- For pulses of 300 ns width or greater, duty cycles of .5 to .001, and S/N ratio ≥30 dB
- Pulse width, typical
- ±0.25% of reading
- For pulses of 450 ns width or greater, duty cycles of .5 to .001, and S/N ratio ≥30 dB
- Playback of recorded signals (SV56)
- Playback file type
- R3F recorded by RSA306, RSA500, or RSA600
- Recorded file bandwidth
- 40 MHz
- File playback controls
- General: Play, stop, exit playback
- Location: Begin/end points of playback settable from 0-100%
- Skip: Defined skip size from 73 μs up to 99% of file size
- Live rate: Plays back at 1:1 rate to recording time
- Loop control: Play once, or loop continuously
- Memory requirement
- Recording of signals requires storage with write rates of 300 MB/sec. Playback of recorded files at live rates requires storage with read rates of 300 MB/sec.
- WLAN Measurements, 802.11a/b/g/j/p (SV23xx-SVPC)
- Measurements
- WLAN power vs. time; WLAN symbol table; WLAN constellation; spectrum emission mask; error vector magnitude (EVM) vs. symbol (or time), vs subcarrier (or frequency); mag error vs symbol (or time), vs. subcarrier (or frequency); phase error vs symbol (or time), vs. subcarrier (or frequency); channel frequency response vs. symbol (or time), vs. subcarrier (or frequency); spectralflatness vs. symbol (or time), vs. subcarrier (or frequency)
- Residual EVM - 802.11a/g/j /p (OFDM), 64-QAM, typical
- 2.4 GHz, 20 MHz BW: -39 dB
- 5.8 GHz, 20 MHz BW: -38 dB
- Input signal level optimized for best EVM, average of 20 bursts, ≥16 symbols each
- Residual EVM - 802.11b, CCK-11, typical
- 2.4 GHz, 11 Mbps: 1.3 %
- Input signal level optimized for best EVM, average of 1,000 chips, BT = .61
- WLAN Measurements 802.11n (SV24xx-SVPC)
- Measurements
- WLAN power vs. time; WLAN symbol table; WLAN constellation; spectrum emission mask; error vector magnitude (EVM) vs. symbol (or time), vs subcarrier (or frequency); mag error vs symbol (or time), vs. subcarrier (or frequency); phase error vs symbol (or time), vs. subcarrier (or frequency); channel frequency response vs. symbol (or time), vs. subcarrier (or frequency); spectralflatness vs. symbol (or time), vs. subcarrier (or frequency)
- EVM performance - 802.11n, 64-QAM, typical
- 2.4 GHz, 40 MHz BW: -39 dB
- 5.8 GHz, 40 MHz BW: -38 dB
- Input signal level optimized for best EVM, average of 20 bursts, ≥16 symbols each
- WLAN Measurements 802.11ac (SV25xx-SVPC)
- Measurements
- WLAN power vs. time; WLAN symbol table; WLAN constellation; spectrum emission mask; error vector magnitude (EVM) vs. symbol (or time), vs subcarrier (or frequency); mag error vs symbol (or time), vs. subcarrier (or frequency); phase error vs symbol (or time), vs. subcarrier (or frequency); channel frequency response vs. symbol (or time), vs. subcarrier (or frequency); spectralflatness vs. symbol (or time), vs. subcarrier (or frequency)
- EVM performance - 802.11ac, 256-QAM, typical
- 5.8 GHz, 40 MHz BW: -38 dB
- Input signal level optimized for best EVM, average of 20 bursts, ≥16 symbols each
- EMC pre-compliance and troubleshooting (EMCVUxx-SVPC)
- Standards
- EN55011, EN55012, EN55013, EN55014, EN55015, EN55025, EN55032, EN60601, DEF STAN, FCC Part 15, FCC Part18, IEC 61000-6-3, and MIL-STD 461G
- Features
- EMC-EMI display, Wizard to setup accessories and limit lines, Inspect, Harmonic Markers, Level Target, Compare Traces, Measure Ambient, Report generation, Re-measure Spot
- Detectors
+Peak, Avg, Avg (of logs), Avg (VRMS), CISPR QuasiPeak, CISPR Peak, CISPR Average, CISPR Average of Logs, MIL +Peak, DEF STAN Avg, DEF STAN Peak
- Limit lines
- Up to 3 Limit Lines with corresponding margins
- Resolution BW
- Set per standard or user definable
- Dwell time
- Set per standard or user definable
- Report format
- PDF, HTML, MHT,RTF, XLSX, Image File format
- Accessory type
- Antenna, Near Field Probe, Cable, Amplifier, Limiter, Attenuator, Filter, Other
- Correction format
- Gain/Loss Constant, Gain/loss table, Antenna Factor
- Traces
- Save/recall up to 5 traces, Math trace (trace1 minus trace2), Ambient trace
- Return Loss, Distance-to-Fault, and Cable Loss measurements
- Measurements
- Return Loss, Cable Loss, Distance-to-Fault (DTF)
- Frequency range
- 10 MHz to 3 GHz (RSA603A)
- 10 MHz to 7.5 GHz (RSA607A)
- Sweep speed13
- 5 ms/point, Return Loss measurement
- 5 ms/point, Distance-to-Fault measurement
- 5 ms/point, Cable Loss measurement
- Frequency resolution
- 500 Hz
- Return Loss measurement error
- Return Loss of 0 to 15 dB: ±0.5 dB
- Return Loss of 15 to 25 dB: ±1.5 dB
- Return Loss of 25 to 35 dB: ±4.0 dB
- Return Loss measurement error at 14 dB Return Loss
- ±1.5 dB from 10 MHz to 6.8 GHz
- ±3.0 dB from 6.8 GHz to 7.5 GHz
- Return Loss measurement range
- 50 dB
- Interference immunity
- Return Loss Measurement Error within specifications for the following conditions:
- +5 dBm interferer power within 800 kHz of measurement point
- +5 dBm interferer power more than 800 kHz away from measurement point
- (High power test level. Interferer not included in accuracy assessment.)
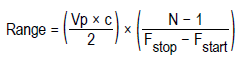
- Distance-to-Fault range
- 1500 m or 15 dB one-way cable loss capable, user defined
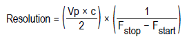
- Maximum range is a function of the cable velocity factor and the frequency step size as follows:

- Where:
- Vp = Cable velocity factor relative to the speed of light
- c = Speed of light (m/s)
- Fstart = Sweep start frequency (Hz)
- Fstop = Sweep stop frequency (Hz)
- N = number of sweep points
- Distance-to-Fault resolution
RSA603A, (RG-58Vp=0.66): 0.03 m (User Definable)
RSA607A, (RG-58Vp=0.66): 0.01 m (User Definable)
Minimum resolution is a function of the cable velocity factor and the frequency step size as follows:

- or

28 Volt noise source drive
- 28 Volt noise source drive output
- Output Level
- 28 VDC @ 140 mA
- Output voltage turn ON/OFF time
Turn on: 100 µS
Turn off: 500 µS
Input and output ports
- Inputs, outputs, and inferfaces
- RF input
- N type, female
- External frequency reference input
- BNC, female
- Trigger/Sync input
- BNC, female
- Tracking Generator Source Output
- N type, female
- GPS Antenna
- SMA, female
- USB Device Port
- USB 3.0 – Type A
- USB Status LED
LED, dual color red/green
LED states:
Steady Red: USB power applied, or resetting
Steady Green: Initialized, ready for use
Blinking Green: Transferring data to host
Installation requirements
- Maximum power dissipation (fully loaded)
RSA600A: 45 W maximum.
- Surge current
2 A peak maximum, at 25 °C (77 °F) for ≤ 5 line cycles, after the product has been turned off for at least 30 seconds.
- Cooling clearance
Bottom, top
0 mm (0 in.) with feet installed
6.3 mm (0.25 in.) without feet installed
Sides
0 mm (0 in.)
Rear: 38.1 mm (1.5 in.)
Physical characteristics
- Physical characteristics
- Height
- 75.0 mm (2.95 in)
- Width
- 222.3 mm (8.75 in)
- Depth
- 358.6 mm (14.12 in)
- Net weight
- 2.79 kg (6.15 pounds)
Environmental and safety
- Temperature
- Operating
- -10 °C to +55 °C (+14 °F to +131 °F)
- Non-operating
- -51 °C to +71 °C (-60 °F to +160 °F)
- Humidity
MIL-PRF-28800F Class 2
Operating:
5% to 95±5%RH (relative humidity) in the temperature range of +10 °C to 30 °C (+50 °F to 86 °F)
5% to 75±5% RH above +30 °C to 40 °C (+86 °F to 104 °F)
5% to 45±5% RH above +40 °C up to +55 °C (+86 °F to +131 °F)
<10 °C (+50 °F) humidity is uncontrolled; non-condensing
- Altitude
- Operating
Up to 3000 m (9,842 ft.)
- Non-operating
Up to 12000 m (39,370 ft.)
Dynamics
- Vibration
- Operating
Tektronix Class 3 Random Vibration Test at 0.31 GRMS: 5-500 Hz, 3 Axes at 10 min/axis
- Non-Operating
MIL-PRF-28800F Class 3
2.06 GRMS, 5 500 Hz, 10 minutes per axis, 3 axes (30 minutes total)
- Shock
- Operating
- Test method per Military Standard MIL-PRF-28800F 1-4
- Non-Operating
- Exceeds the requirements of Military Standard MIL-PRF-28800F
- Handling and transit
- Bench handling, operating
MIL-PRF-28800F Class 3
- Transit drop, non-operating
- MIL-PRF-28800F Class 2
Ordering information
Instrument models
RSA603A: USB real time spectrum analyzer, 9 kHz - 3.0 GHz, 40 MHz acquisition bandwidth
RSA607A: USB real time spectrum analyzer, 9 kHz - 7.5 GHz, 40 MHz acquisition bandwidth
The RSA600 Series instruments require a PC with Windows 7, Windows 8/8.1, Windows 10 or Windows 11, 64-bit operating system and a USB 3.0 connection. 8 GB RAM and 20 GB free drive space is required for installation of SignalVu-PC. For full performance of the real time features of the RSA600, an Intel Core i7 4th generation processor or greater is required. Processors of lower performance can be used, with reduced real-time performance. Storage of streaming data requires that the PC be equipped with a drive capable of streaming storage rates of 300 MB/sec.
Includes: USB 3.0 cable (2 M), A-A connection, screw lock, quick-start manual (printed), connector covers, power cord, (see power plug options), API and documentation files. A GPS antenna is not included with the instrument. See Accessories for available GPS antennas.
Instrument options
| Option | Description |
|---|---|
| Option 0414 | Tracking generator, 9 kHz to maximum frequency of instrument |
Options
RSA600A power plug options
- Opt. A0
- North America power plug (115 V, 60 Hz)
- Opt. A1
- Universal Euro power plug (220 V, 50 Hz)
- Opt. A2
- United Kingdom power plug (240 V, 50 Hz)
- Opt. A3
- Australia power plug (240 V, 50 Hz)
- Opt. A4
- North America power plug (240 V, 50 Hz)
- Opt. A5
- Switzerland power plug (220 V, 50 Hz)
- Opt. A6
- Japan power plug (100 V, 50/60 Hz)
- Opt. A10
- China power plug (50 Hz)
- Opt. A11
- India power plug (50 Hz)
- Opt. A12
- Brazil power plug (60 Hz)
- Opt. A99
- No power cord
RSA600A language options
- Opt. L0
- English manual
- Opt. L1
- French manual
- Opt. L2
- Spanish manual
- Opt. L3
- Japanese manual
- Opt. L4
- Portuguese manual
- Opt. L5
- Simplified Chinese manual
- Opt. L6
- Korean manual
- Opt. L7
- Russian manual
- Opt. L99
- No manual
RSA600A service options
- Opt. C3
- Calibration Service 3 Years
- Opt. C5
- Calibration Service 5 Years
- Opt. D1
- Calibration Data Report
- Opt. D3
- Calibration Data Report 3 Years (with Opt. C3)
- Opt. D5
- Calibration Data Report 5 Years (with Opt. C5)
- Opt. R5
- Repair Service 5 Years (including warranty)
Warranty
RSA600 Series warranty: Three years.
Licenses
A variety of optional, licensed applications are available for purchase for SignalVu-PC. These licenses can be associated with and stored on either your PC or any RSA300 Series, RSA500 Series, RSA600 Series, and RSA7100A spectrum analyzers. Licenses can be purchased as an option to your hardware or separately as a Node-locked or a Floating license.
Contact your local Tektronix Account Manager to purchase a license. If your purchased license is not ordered as an option to your instrument, you will receive an email with a list of the applications purchased and the URL to the Tektronix Product License Web page, where you will create an account and can then manage your licenses using the Tektronix Asset Management System (AMS):http://www.tek.com/products/product-license.
AMS provides an inventory of the license(s) in your account. It enables you to check out or check in a license and view the history of licenses.
Optional applications are enabled by one of the following license types.
| License type | Description |
|---|---|
Node locked license (NL) purchased as an option to your instrument | This license is initially assigned to a specific host id, which can be either a PC or an instrument. It can be reassociated to either a PC or another spectrum analyzer two times using Tek AMS. When associated with an instrument, this license is factory-installed on that instrument at the time of manufacture. It will be recognized by any PC operating with SignalVu-PC when the instrument is connected. However, the licensed application is deactivated from the PC if the licensed instrument is disconnected. This is the most common form of licensing, as it simplifies management of your applications. |
| Node locked license (NL) purchased separately | This license is initially assigned to a specific host id, which can be either a PC or an instrument. It can be reassociated to either a PC or instrument two times using Tek AMS. This license is delivered via email and is associated with either your PC or with an instrument when you install the license. This license should be purchased when you want your license to stay on your PC, or if you have an existing USB instrument on which you would like to install a license. |
| Floating license(FL) purchased separately | This license can be moved between different host ids, which can be either PCs or instruments. It can be reassociated to different PCs or instruments an unlimited number of times using Tek AMS.
This license is delivered via email and is associated with either your PC or with an instrument when you install the license. This is the most flexible license and is recommended in applications where the license needs to be moved frequently. |
SignalVu-PC application-specific modules
The following SignalVu-PC license options are available.
| Application license | License type | Description |
|---|---|---|
| SVANL-SVPC | NL | AM/FM/PM/Direct Audio Analysis |
| SVAFL-SVPC | FL | |
| SVTNL-SVPC | NL | Settling Time (frequency and phase) measurements |
| SVTFL-SVPC | FL | |
| SVMNL-SVPC | NL | General-purpose digital modulation analysis |
| SVMFL-SVPC | FL | |
| SVPNL-SVPC | NL | Advanced pulse radar analysis |
| SVPFL-SVPC | FL | |
| SVONL-SVPC | NL | Flexible OFDM Analysis |
| SVOFL-SVPC | FL | |
| SV23NL-SVPC | NL | WLAN 802.11a/b/g/j/p measurements |
| SV23FL-SVPC | FL | |
| SV24NL-SVPC | NL | WLAN 802.11n measurements (requires SV23) |
| SV24FL-SVPC | FL | |
| SV25NL-SVPC | NL | WLAN 802.11ac measurements (requires SV23 and SV24) |
| SV25FL-SVPC | FL | |
| SV26NL-SVPC | NL | APCO P25 measurements |
| SV26FL-SVPC | FL | |
| SV27NL-SVPC | NL | Bluetooth 4.2 measurements |
| SV27FL-SVPC | FL | |
| SV31NL-SVPC | NL | Bluetooth 5 measurements (requires SV27) |
| SV31FL-SVPC | FL | |
| MAPNL-SVPC | NL | Mapping |
| MAPFL-SVPC | FL | |
| SV56NL-SVPC | NL | Playback of recorded files (installed in PC controller only) |
| SV56FL-SVPC | FL | |
| CONNL-SVPC | NL | Live connection and base SignalVu-PC VSA measurements using the 5 or 6 Series B MSO or LPD64 (requires opt. SV-RFVT) |
| CONFL-SVPC | FL | |
| SV2CNL-SVPC | NL | Bundle of WLAN 802.11a/b/g/j/p/n/ac (SV23, SV24, and SV25) and Live Connect (CON) to 5/6 Series MSO or LPD64 (requires opt. SV-RFVT) |
| SV2CFL-SVPC | FL | |
| SV28NL-SVPC | NL | LTE Downlink RF measurements |
| SV28FL-SVPC | FL | |
| 5GNRNL-SVPC | NL | 5G NR Uplink/Downlink RF Power, Bandwidth, Demodulation, and Error Vector Magnitude Measurements15 |
| SV54NL-SVPC | NL | Signal survey and classification |
| SV54FL-SVPC | FL | |
| SV60NL-SVPC | NL | Return loss, distance to fault, VSWR, cable loss (requires Option 04 on RSA500A/600A) |
| SV60FL-SVPC | FL | |
| SV30NL-SVPC | NL | WiGig 802.11ad/ay measurements (only for offline analysis) |
| SV30FL-SVPC | FL | |
| EMCVUNL-SVPC | NL | EMC pre-compliance and troubleshooting (includes EMI CISPR detectors) |
| EMCVUFL-SVPC | FL | |
| SVQPNL-SVPC | NL | EMI CISPR detectors |
| SVQPFL-SVPC | FL | |
| EDUFL-SVPC | FL | Education-only version with all SignalVu-PC modules except 5GNR |
Recommended accessories
Tektronix offers a wide variety of adapters, attenuators, cables, impedance converters, antennas and other accessories for the RSA600A Series.
- General-purpose RF cables
- 012-1738-00
- Cable,50 Ω, 40 inch,type-N(m) to type-N(M)
- 012-0482-00
- Cable, 50 Ω, BNC (m) 3 foot (91 cm)
- Adapters
- 103-0045-00
Adapter, coaxial, 50 Ω type-N(m) to type-BNC(f)
- 013-0410-00
- Adapter, coaxial, 50 Ω type-N (f) to type-N (f)
- 013-0411-00
- Adapter, coaxial, 50 Ω type-N (m) to type-N (f)
- 013-0412-00
- Adapter, coaxial, 50 Ω, type-N(m) to type-N(m)
- 013-0402-00
- Adapter, coaxial, 50 Ω type-N (m) to type-N 7/16(m)
- 013-0404-00
- Adapter, coaxial, 50 Ω type-N(m) to type-7/16 (f)
- 013-0403-00
- Adapter, coaxial, 50 Ω type-N(m) to type DIN 9.5(m)
- 013-0405-00
- Adapter, coaxial, 50 Ω type-N(m) to type-DIN 9.5(f)
- 013-0406-00
- Adapter, coaxial, 50 Ω type-N(m) to type-SMA(f)
- 013-0407-00
- Adapter, coaxial, 50 Ω type-N(m) to type-SMA(m)
- 013-0408-00
- Adapter, coaxial, 50 Ω type-N(m) to type-TNC(f)
- 013-0409-00
- Adapter, coaxial, 50 Ω type-N(m) to type-TNC(m)
- Attenuators and 50/75 Ω pads
- 013-0422-00
- Pad, 50/75 Ω, minimum loss, type-N(m) 50 Ω to type-BNC(f) 75 Ω
- 013-0413-00
- Pad, 50/75 Ω, minimum loss, type-N(m) 50 Ω to type-BNC(m) 75 Ω
- 013-0415-00
- Pad, 50/75 Ω, minimum loss, type-N(m) 50 Ω to type-F(m) 75 Ω
- 015-0787-00
- Pad, 50/75 Ω, minimum loss, type-N(m) 50 Ω to type-F(f) 75 Ω
- 015-0788-00
- Pad, 50/75 Ω, minimum loss, type-N(m) 50 Ω to type-N(f) 75 Ω
- 011-0222-00
- Attenuator, fixed, 10 dB, 2 W, DC-8 GHz, type-N(f) to type-N(f)
- 011-0223-00
- Attenuator, fixed, 10 dB, 2 W, DC-8 GHz, type-N(m) to type-N(f)
- 011-0224-00
- Attenuator, fixed, 10 dB, 2 W, DC-8 GHz, type-N(m) to type-N(m)
- 011-0228-00
- Attenuator, fixed, 3 dB, 2 W, DC-18 GHz, type-N(m) to type-N(f)
- 011-0225-00
- Attenuator, fixed, 40 dB, 100 W, DC-3 GHz, type-N(m) to type-N(f)
- 011-0226-00
- Attenuator, fixed, 40 dB, 50 W, DC-8.5 GHz, type-N(m) to type-N(f)
- Antennas
- 119-8733-00
- Antenna, Active. GPS & GLONASS, magnetic mount, 5M cable, 3V, 8ma SMA connector, RG-174 Cable
- 119-8734-00
Antenna, Active, GPS and Beidou, magnetic mount, 5M cable, 3V, 8ma SMA connector, RG-174 Cable
- Filters, probes, demonstration board
- 119-7246-00
- Pre-filter, general purpose, 824 MHz to 2500 MHz, type-N (f) connector
- 119-7426
- Pre-filter, general purpose, 2400 MHz to 6200 MHz, type-N (f) connector
- 119-4146-00
- EMCO E/H-field probes
- E/H field probes, lower cost alternative
- Available from Beehive http://beehive-electronics.com/
- 011-0227-00
- Bias-T, type N(m) RF, type N(f) RF+DC, BNC(f) Bias, 1 W, 0.5 A, 2.5 MHz-6 GHz
- EMI-NF-PROBE
- Near Field Probe set (Tebox TBPS01)
- 174-6810-00
- Additional USB 3.0 cable (2 M), A-A connection, screw lock
Tracking generator accessories
A variety of phase-stabilized cables are available for the RSA600 tracking generator when used with the optional cable and antenna measurements software.
Calibration kits can be used to improve the factory calibration of the tracking generator when equipped with application SV60-Return loss, VSWR, cable loss, and distance to fault.
These phase-stabilized cables are high performance cables that are phase-stable to +- 2 degrees at 7.5 GHz, with return loss less than -20 dB. Velocity constant is 0.78. Loss at 7.5 GHz specified to be less than -1.05 dB (0.6 m), -1.61 dB (1.0 m), -2.30 dB (1.5m) (all values nominal).

- Calibration kits
- Recommended calibration kits available from Spinner at https://products.spinner-group.com/rf/test-measurement/vna-test-measurement
- Phase-stabilized cables
- 012-1745-00
- Type-N (m) to type-N (f), 5 ft or 1.5 m
- 012-1746-00
- Type-N(m) to type-N(m), 5 ft or 1.5 m
- 012-1747-00
- Type-N(m) to 7/16(f), 60 cm (23.6 in.)
- 012-1748-00
- Type-N(m) to 7/16(f), 3.28 ft or 1 m
- 012-1749-00
- Type-N(m) to 7/16(f), 5 ft or 1.5 m
- 012-1750-00
- Type-N(m) to 7/16(m), 3.28 ft or 1 m
- 012-1751-00
- Type-N(m) to 7/16(m), 5 ft or 1.5 m
- 012-1752-00
- Type-N(m) to 7/16(m), 60 cm (23.6 in.)
- 012-1753-00
- Type-N(m) to DIN 9.5(f), 60 cm (23.6 in.)
- 012-1754-00
- Type-N(m) to DIN 9.5(f), 3.28 ft or 1 m
- 012-1755-00
- Type-N(m) to DIN 9.5(f), 5 ft or 1.5 m
- 012-1756-00
- Type-N(m) to DIN 9.5(m), 3.28 ft or 1 m
- 012-1757-00
- Type-N(m) to DIN 9.5(m), 5 ft or 1.5 m
- 012-1758-00
- Type-N(m) to DIN 9.5(m), 60 cm (23.6 in.)
- 012-1759-00
- Type-N(m) to TNC(f), 3.28 ft or 1 m
- 012-1760-00
- Type-N(m) to TNC(f), 5 ft or 1.5 m
- 012-1761-00
- Type-N(m) to TNC(f), 60 cm (23.6 in.)
- 012-1762-00
- Type-N(m) to TNC(m), 60 cm (23.6 in.)
- 012-1763-00
- Type-N(m) to TNC(m), 3.28 ft or 1 m
- 012-1764-00
- Type-N(m) to TNC(m), 5 ft or 1.5 m
- 012-1765-00
- Type-N(m) to type-N(f), 60 cm (23.6 in.)
- 012-1766-00
- Type-N(m) to type-N(f), 3.28 ft or 1 m
- 012-1767-00
- Type-N(m) to type-N(m), 3.28 ft or 1 m
- 012-1768-00
- Type-N(m) to type-N(m), 60 cm (23.6 in.)
- 012-1769-00
- Type-N(m) to type-SMA(f), 60 cm (23.6 in.)
- 012-1770-00
- Type-N(m) to type-SMA(f), 3.28 ft or 1 m
- 012-1771-00
- Type-N(m) to type-SMA(f), 5 ft or 1.5 m
- 012-1772-00
- Type-N(m) to type-SMA(m) 60 cm (23.6 in.)
- 012-1773-00
- Type-N(m) to type-SMA(m), 3.28 ft or 1 m
- 012-1774-00
- Type-N(m) to type-SMA(m), 5 ft or 1.5 m






