お問い合わせ
ダウンロード
マニュアル、データシート、ソフトウェアなどのダウンロード:
フィードバック
スペクトラム・アナライザ
RSA600Aシリーズ・ラボラトリ・スペクトラム・アナライザ・データシート

RSA600AシリーズのUSBスペクトラム・アナライザは、小型で可搬性に優れたパッケージにより、帯域幅の広いラボ用スペクトラム解析を実現します。
特長
- 9 kHz~3.0/7.5 GHzの周波数レンジをカバーし、広範な解析ニーズに対応
- 40MHzの取り込み帯域幅により変動する信号を取り込んでリアルタイム解析およびベクトル解析が可能
- 振幅確度:3GHzまで0.2dB(95%の確かさ)
- 高速フルスパン掃引(25.0GHz/sec)による効率的なセットアップと検出
- 標準GPS/GLONASS/Beidouレシーバ
- ゲイン/損失、アンテナおよびケーブル測定用のトラッキング・ジェネレータ(オプション)
- DataVu-PCソフトウェアにより、さまざまな帯域幅でのマルチ機器レコーディングが可能
- SignalVu-PCソフトウェアはDPX®スペクトラム/スペクトログラムを使用したリアルタイム信号処理を提供し、トランジェントの問題の検出に必要な時間を大幅に短縮
- EMC/EMIのプリコンプライアンス/トラブルシューティング - CISPR検波器、事前定義された規格、リミット・ライン、アクセサリ設定の簡易化、環境信号の取込み、障害解析、レポート生成
- 100%の捕捉確率でわずか15μsの信号時間を取り込み可能であるため、問題となる現象を見逃すことなく確認可能
- カスタム・プログラムの開発用にアプリケーション・プログラミング・インタフェースを公開
アプリケーション(A)
- RFデバイス、サブシステム、およびシステムの特性評価
- 製造テスト
- モバイルによる現場での動作
- EMI/EMCのプリコンプライアンス・テストとトラブルシューティング
RSA600シリーズは成功に必要な帯域幅と解析ツールを提供
RSA600シリーズは、設計の特性評価、検証および製造を行う必要があるエンジニアの諸問題の解決にリアルタイム・スペクトラム解析および広域解析帯域幅を活用します。このシステムの中核は、40 MHzの周波数帯域を優れた忠実度で取り込むUSBベースのRFスペクトラム・アナライザです。70 dBのダイナミック・レンジおよび7.5 GHzまでの周波数帯域に対応しており、周波数帯域40 MHzまでの広帯域信号を完全に特性評価できます。USBフォーム・ファクタによって処理能力が選択したPCに移るため、処理能力または保存容量の拡張をユーザの判断で実施可能です。
オプションのトラッキング・ジェネレータによって、フィルタ、増幅器、デュプレックサなどのRFコンポーネントのクイック・テストのためのゲイン/損失測定が可能になり、ケーブルおよびアンテナのVSWR、リターン・ロス、障害までの距離およびケーブル損失の測定を必要に応じて追加できます。
SignalVu-PCソフトウェアは研究用にでの充実した解析機能を提供
RSA600シリーズは、当社のスペクトラム・アナライザを支える強力なプログラムであるSignalVu-PCの機能を活用して動作します。SignalVu-PCは、従来の低価格なソリューションでは実現が困難だった、詳細な解析機能を提供します。ご使用のPCでDPXスペクトラム/スペクトログラムのリアルタイム処理を行えるようになるだけでなく、ハードウェアのコストも削減できます。機器とのプログラム・インタフェースが必要なお客様は、SignalVu-PCプログラム・インタフェースを利用することも、あるいは豊富なコマンドと測定機能が用意された付属のアプリケーション・プログラミング・インタフェース(API)を直接使用することもできます。SignalVu-PCプログラムは無償でありながら、基本ソフトウェアの域を超えた高度な機能を提供します。基本バージョンの測定機能を以下に示します。
RSA600AシリーズとSignalVu-PCを組み合わせることで、拡張測定機能を利用可能
40 MHzのリアルタイム周波数帯域を使用すると、独自のDPX®スペクトラム/スペクトログラムは、信号の持続時間が15 μsという捉えにくい信号でもすべての干渉信号または未知の信号を表示します。下の図は無線LANの伝送(緑とオレンジ)を示しており、画面を横切るように繰り返し出現している幅の狭い信号はBluetoothのアクセス・プローブ信号を表しています。スペクトログラム(画面の上半分)では、これらの信号の変化が時間軸に沿ってはっきりと判別でき、信号の衝突が起こっているかどうかを確認することができます。

無人でのマスク・モニタにより予期しない信号の検出が容易です。マスクはDPX®スペクトラム表示で作成でき、停止、画像の保存、取り込みの保存、警報音の送信などのアクションをあらゆる違反に対して実行できます。次の図では、マスク違反がマスクの赤の部分で発生し、結果として画面の画像が保存されました。マスク・テストは無人モニタリングおよび記録した信号の再生で使用でき、同じ信号に対してさまざまな違反をテストできます。

トラッキング・ジェネレータ( RSA600シリーズOpt. 04)はSignalVu-PCによって制御されます。800MHz~3GHzのバンドパス・フィルタ応答を以下に示します。Opt. SV60を使用することで、リターン・ロス、ケーブル・ロス、障害位置(DTF)も測定できます。

EMC/EMI
アナライザとSignalVu-PCがあれば、EMIのプリコンプライアンス/診断テストも簡単に実施できます。トランスデューサ、アンテナ、プリアンプ、およびケーブルのゲイン/損失を入力し、補正パラメータ・ファイルに保存しておけます。また、SignalVu-PCに標準装備されたスプリアス測定機能を使用して、テストのリミット・ラインを定義することもできます。次の図では、30MHz~960MHzの範囲で、FCC Part 15 Class Aのリミット(灰色で表示)に対してテストを行っています。青で表示されたトレースが実際に取り込まれた信号です。違反はグラフの下の測定結果テーブルに記録されています。Opt. SVQPを使用すると、CISPR準尖頭値/アベレージ検波器も追加できます。
EMCプリコンプライアンス・ソリューションは、Opt. EMCVUを追加できます。オプションでは数多くの事前定義されたリミット・ラインがサポートされています。また、ウィザード機能が追加されており、ボタンを押すだけでアンテナ、LISN、その他の推奨EMCアクセサリを簡単にセットアップできます。新しいEMC-EMI表示を使用すると、エラー時にのみ時間のかかる準尖頭値が適用されるようにできるため、効率的にテストを進めることができます。この表示機能では、ボタンを押すだけで環境測定を行うこともできます。Inspectツールを使用すると、目的の周波数をローカルに測定できるため、スキャニングを行う必要がありません。

SignalVu-PCのアプリケーション別ライセンス
SignalVu-PCには、さまざまなアプリケーションに対応したオプションがあり、機器にインストールできるほか、フローティング・ライセンスを使用すれば、機器間でライセンスを移動することも、PCで使用することもできます。次のような豊富なアプリケーションが用意されています。
- 汎用変調解析(16/32/64/256 QAM、QPSK、O-QPSK、GMSK、FSK、APSKなど、27種類の変調方式に対応)
- EMC/EMI解析(CISPRピーク/準尖頭値/アベレージ検波器を使用)
- Bluetooth®解析(Basic Rate、Low Energy、およびBluetooth 5)。EDR(Enhanced Data Rate)の一部測定にも対応
- P25解析(フェーズ1およびフェーズ2)
- WLAN解析(802.11a/b/g/j/p、802.11n、802.11ac)
- LTE™ FDD/TDD基地局(eNB)セルIDおよびRF測定
- 5Gニュー・ラジオ(NR)アップリンク/ダウンリンクRFパワー、パワー・ダイナミクス、信号品質、およびエミッション測定
- マッピング
- パルス解析
- AM/FM/PM/ダイレクト・オーディオ測定(SINAD、THDなど)
- 記録されたファイルの再生(すべてのドメインで完全な解析が可能)
- 信号識別/調査
詳細および注文情報については、SignalVu-PCのデータ・シートをご覧ください。一部のアプリケーションを以下に示します。
汎用変調解析
SignalVu-PCのアプリケーションSV21は、27の異なる変調タイプを1つの解析パッケージにバンドルし、コンスタレーション表示、アイ・ダイアグラム、シンボル・テーブル、トレリス・ダイアグラム、変調品質サマリなどを提供します。シンボル・レートおよびフィルタ・タイプは調整でき、信号の最適化のために内蔵イコライザが組み込まれています。次の図は、18.0 ksymbol/秒でpi/4DQPSK変調で変調されたTETRA標準の信号です。

Bluetooth
新たに2つのオプションが追加されたことで、Bluetooth SIG規格ベースのトランスミッタRF測定を時間、周波数、変調のドメインで効率的に実行できます。Opt. SV27では、RF.TS.4.2.0およびRF-PHY.TS.4.2.0のテスト仕様で定義されている、Basic RateとLow Energyのトランスミッタ測定がサポートされます。さらに、EDR(Enhanced Data Rate)パケットを復調し、シンボル情報を提供する機能も備えています。Opt. SV31では、Bluetooth 5規格(LE 1M、LE 2M、LE Coded)とコア仕様で定義された測定がサポートされます。どちらのオプションでも、転送される物理層のデータがデコードされ、シンボル・テーブルにパケットのフィールドが色分けされて表示されるため、効率的な解析が可能です。

カスタマイズ可能なリミットを使用してパス/フェイル判定が行えます。次の測定例では、偏移対時間、周波数オフセット/ドリフト、および測定サマリがパス/フェイル判定とともに表示されています。

APCO 25
SignalVu-PCのSV26ソフトウェアでは、APCO P25信号を解析できます。次の図は、TIA-102規格仕様に対してトランスミッタ・パワー、変調、周波数の測定を行いながら、フェーズ2HCPM信号の異常をスペクトログラムでモニタしている例を示しています。

LTE
SV28ソフトウェアを使用することにより、次のLTE基地局トランスミッタ測定を実行できます。
- セルID
- チャンネル・パワー
- 占有帯域幅
- 隣接チャンネル漏洩比(ACLR)
- スペクトラム・エミッション・マスク(SEM)
- TDDのトランスミッタ・オフ・パワー
- リファレンス信号(RS)パワー
測定方法は3GPP TSバージョン12.5の定義に従っており、ピコセル/フェムトセルを含むすべてのカテゴリの基地局に対応しています。パス/フェイル情報が報告され、すべてのチャンネル周波数帯域がサポートされます。
セルIDプリセットでは、プライマリ同期信号(PSS)とセカンダリ同期信号(SSS)がコンスタレーション・ダイアグラムに表示されます。周波数誤差も測定されます。
次の図は、スペクトログラム表示付きのスペクトラム・モニタリングをセルID/コンスタレーション、スペクトラム・エミッション・マスクおよびACLR測定と組み合せて表示しています。

5G NR変調解析および測定オプション
5G NRとは、SignalVu-PCベクトル信号解析(VSA)ソフトウェアでサポートされた、増え続ける一連の信号規格、アプリケーション、変調タイプの1つです。SignalVu-PC VSA 5G NR解析オプションは、3GPPの5G NR仕様に基づいた信号の周波数、時間、変調ドメインの総合的な解析機能を提供します。
スペクトラム、アクイジション時間、NR固有の変調品質(EVM、周波数誤差、I/Qエラーなど)のトレースとテーブルの結果トレースを設定することにより、エンジニアは全体的な信号特性を識別し、断続的なエラーピークや繰り返し発生する同期エラーのトラブルシューティングを行うことができます。
エラー・ベクトル・マグニチュード(EVM)は、信号品質の説明に使用される性能指数です。これは、指定されたシンボルの理想的なコンスタレーション点と実際の測定点の間のI/Q平面上の差を測定することで行われます。理想的なサブシンボルのdBまたは%で測定し、受信した平均QAMパワーを標準化することで、シンボルのコンスタレーションと理想的なシンボルを表示できます。EVM対シンボルまたはEVM対時間は、判定されたシンボル数またはスロット内の時間に存在するOFDMシンボルのEVMを提供します。
自動テストでは、SCPIリモート・インタフェースを使用して設計を迅速化できるため、設計検証および製造フェーズへの迅速な移行が可能になります。

5G NR トランスミッタ測定コアに対応する機能
5G NRオプション(5GNRNL-SVPC)は、3GPPのTS38仕様のリリース15とリリース16に従って、5G NRの変調解析測定に対応しています。これには次のものが含まれます。
- アップリンクおよびダウンリンク・フレーム構造の解析
- 5G NRの測定値と表示には、次のものが含まれます
- 変調確度(ModAcc)
- チャンネル・パワー (CHP)
- 隣接チャンネル電力 (ACP)
- スペクトラム・エミッション・マスク(SEM)
- 占有帯域幅(OBW)
- パワー対時間(PVT)1
- エラー・ベクトル振幅(EVM)
- ModAcc、SEM、CHP、ACP、OBW、PVT、EVM測定のすべてのスカラ値結果を含むサマリ・テーブル
- 領域におけるカップリング測定を使用した、詳細解析とトラブルシューティング。複数のマーカーを使用して結果を相関させ、根本原因を特定。
- 設定パラメータと測定結果を使用して、レポートをCSV形式で保存
- 各コンポーネント・キャリアの PDSCH または PUSCH の設定可能なパラメータ
- ダウンリンクについては、3GPP仕様に準拠したFDDとTDD対応のテスト・モデル
WLAN 802.11a/b/g/j/p/n/ac
Opt. SV23、24、および25を使用すると、高度なWLAN測定が簡単に行えます。次の802.11ac(20 MHz)信号表示の例では、スペクトログラムによってバースト信号の開始地点でのパイロット・シーケンスと、それに続く主要な信号バーストが示されています。パケットに対する変調は自動的に64 QAMとして検出され、コンスタレーションとして表示されています。データ・サマリによると、EVMは-37.02 dB(RMS)を示し、バースト・パワーが-17.32 dBmと測定されています。SignalVu-PCのアプリケーションは、802.11a/b/j/g/p、802.11n、および帯域幅40 MHzまでの802.11acに対応しています。

再生
SV56ソフトウェア(ストリーミング記録された信号の再生)では、スペクトラム違反の発生を何時間も監視する必要がなくなり、記録データを確認するわずか数分間の作業で済みます。
記録時間はストレージ・メディアの容量によってのみ制限されます。記録はSignalVu-PCに組み込まれている基本機能です。SignalVu-PCのSV56ソフトウェア(再生)を利用することで、DPXスペクトログラムなど、SignalVu-PCのあらゆる測定機能を使用した解析が可能になります。再生においても最小信号時間の仕様は変わりません。AM/FMオーディオ変調解析も実行できます。可変スパン、分解能帯域幅、解析長、周波数帯域についてもすべて通常の使用と変わりません。
次の図は、スペクトラム違反を検出するためにマスクが適用された状態で、同時に92.3MHzの中心周波数でFM信号をリスニングしながら、FM帯域が再生されている例を示しています。

DataVu-PCによるマルチ機器レコーディングと大規模記録データの解析
DataVu-PCソフトウェアを使用すると、設定の異なる2つのスペクトラム・アナライザを同時に制御できます。そのため、機器がサポートする周波数レンジであれば、どの周波数でも最高40MHzの周波数帯域で記録を行いながら、幅広いスパンでモニタリングできます。記録が完了すると、DataVu-PCでは、サーチ/マーク機能を使用して目的の信号を効率的に特定できるため、長時間の記録データを手作業で検査する手間が省けます。パルス測定機能は、最大2,000,000パルスに対応できます。
仕様
すべての仕様は、特に断りのないかぎり、保証値を示します。すべての仕様は、特に断りのないかぎり、すべての機種に適用されます。
周波数
- 周波数レンジ
- RSA603A
- 9 kHz~3 GHz
- RSA607A
- 9 kHz~7.5 GHz
- 周波数マーカ読取確度
±(RE×MF+0.001×スパン)Hz
RE:基準周波数誤差
MF:マーカ周波数[Hz]
- リファレンス周波数確度
- 初期校正確度(30分のウォームアップ後)
- ±1×10-6
- 初年エージング、代表値
- ±1×10-6(1年)
- 累積誤差(初期確度+温度+エージング)、代表値
- 3×10-6(1年)
- 温度ドリフト
- ±0.9×10-6(-10~60 ℃)
- 外部リファレンス入力
- BNCコネクタ、50 Ω公称値
- 外部リファレンス入力周波数
- 1~20 MHz(1 MHz単位)、1.2288 MHz、2.048 MHz、2.4576 MHz、4.8 MHz、4.9152 MHz、9.8304 MHz、13 MHz、および19.6608 MHz。
- 入力信号のスプリアス・レベルは、画面上のスプリアスを防ぐために100 kHzオフセットで-80 dBc未満にする必要があります。
- 外部リファレンス入力レンジ
- ±5ppm
- 外部リファレンス入力レベル
- -10~+10 dBm
GNSS
- 確度(GNSSにロックされた状態)2
- ±0.025 ppm3
- GNSSトレーニング後の確度(GNNSアンテナを取り外した状態)2、4
- ±0.025 ppm5
±0.08ppm6
RF入力
- RF入力インピーダンス
- 50 Ω
- RF VSWR(RFアッテネータ=20 dB)、代表値
1.2未満(10 MHz~3 GHz)
1.5未満(3~7.5GHz)
- RF VSWRプリアンプON、RSA603A型およびRSA607A型、代表値
1.5未満(10 MHz~6 GHz、RFアッテネータ=10 dB、プリアンプON)
1.7未満(6~7.5 GHz、RFアッテネータ=10 dB、プリアンプON)
- 最大RF入力レベル
- 最大DC電圧
- ±40 V(RF入力)
- 最大安全入力パワー
+33 dBm(RF入力:10 MHz~7.5 GHz、RFアッテネータ:20 dB以上)
+13dBm(RF入力、9kHz~10MHz、RFアッテネータ:20dB以上)
+20 dBm(RF入力、RFアッテネータ:20 dB未満)
- 最大安全入力パワー(プリアンプON)
+33 dBm(RF入力:10 MHz~7.5 GHz、RFアッテネータ:20 dB以上)
+13dBm(RF入力、9kHz~10MHz、RFアッテネータ:20dB以上)
- 測定可能な最大入力パワー
+30 dBm(RF入力:10 MHz~Fmax、RFアッテネータ:オート)
+20 dBm(RF入力:10 MHz未満、RFアッテネータ:オート)
- 入力RFアッテネータ
- 0 dB~51 dB(1 dBステップ)
- 掃引速度
- フル・スパン掃引速度、代表値(平均) 7
25.0 GHz/秒(RBW=1 MHz)
24.7 GHz/秒(RBW=100 kHz)
15.7 GHz/秒(RBW=10 kHz)
2.0 GHz/秒(RBW=1 kHz)
- API経由のステップ時間のチューニング
- 2.5ms
振幅およびRF
- 振幅およびRFフラットネス
- リファレンス・レベル設定範囲
- -170dBm~+40dBm、0.1dBステップ、(標準RF入力)
すべての中心周波数での振幅確度 中心周波数レンジ
18~28℃
9kHz~3.0GHz ±0.8 dB 3~7.5GHz ±1.5dB - すべての中心周波数(プリアンプON)での振幅確度(18~28℃、10dB RFアッテネータ)
中心周波数レンジ 18~28℃
100kHz~3.0GHz ±1.0 dB 3~7.5GHz ±1.75 dB - プリアンプ・ゲイン
27 dB(2 GHz)
21dB(6GHz)(RSA607A型)
- チャンネル応答(振幅および位相偏差)、代表値
- これらの仕様では、最大CW振幅の検証確度にRFアッテネータを10 dBに設定してフラット・トップ・ウィンドウを使用します。
特性 説明 動作中心周波数
スパン 振幅フラットネス(代表値)
振幅フラットネス、RMS、代表値
位相リニアリティ、RMS、代表値
9 kHz~40 MHz
40 MHz以下 8 ±1.0 dB 0.60 dB 40 MHz~4.0 GHz
20 MHz以下 ±0.10 dB 0.08 dB 0.3° 4 GHz~7.5 GHz
20 MHz以下 ±0.35 dB 0.20 dB 0.7° 40 MHz~4 GHz
40 MHz以下 ±0.15 dB 0.08 dB 0.6° 4 GHz~7.5 GHz
40 MHz以下 ±0.40 dB 0.20 dB 1.0° - チャンネル応答(振幅フラットネス)
- これらの仕様では、最大CW振幅の検証確度にRFアッテネータを10 dBに設定してフラット・トップ・ウィンドウを使用します。これらの仕様は、表の最後にリストされているテスト中心周波数に対して有効です。
特性 説明 振幅フラットネス スパン 20 MHz以下 ±0.5 dB 40 MHz以下 ±0.5 dB テスト中心周波数(MHz) 21、30、500、1,000、1,500、2,000、2,500、3,000、3,500、3,950、4,050、4,500、4,850、4,950、5,500、5,750、5,850、6,200、6,650、6,750、7,000、7,450
トリガ(T)
- トリガ/シンク入力、代表値
電圧レンジ:TTL、0.0~5.0 V
トリガ・レベル(シュミット・トリガ):
正極性スレッショルド電圧:最小1.6 V、最大2.1 V
負極性スレッショルド電圧:最小1.0 V、最大1.35 V
インピーダンス:10 kΩ(ショットキー・クランプ0 V)、+3.4 V
- 外部トリガ・タイミング不確かさ
20~40 MHz取り込み帯域幅:±250 ns
取り込み帯域幅を減らすと不確かさが上昇します。
- パワー・トリガ
- パワー・トリガ、代表値
レンジ:基準レベルから0~50 dB、ノイズ・フロアより30 dB以上のトリガ・レベル。
タイプ:立上りまたは立下りエッジ
トリガ・リアーム時間:100 μs以下
- パワー・トリガ・ポジションのタイミング誤差
20~40 MHz取り込み帯域幅:±250 ns
取り込み帯域幅を減らすと不確かさが上昇します。
- パワー・トリガ・レベル確度
ノイズ・フロアより30 dB以上のトリガ・レベルに調整された中心周波数でCW信号の±1.5 dB。
この仕様はSAモードの振幅確度の不確かさに加算されます。
ノイズと歪み
すべてのノイズおよび歪みの測定は、特に断りのない限り、プリアンプOFFで行われます。
- 3次IMインターセプト(TOI)
+12 dBm(2.130 GHz)
- 3次IMインターセプト(TOI)、
- プリアンプOFF、代表値
+10dBm(9kHz~25MHz)
+15dBm(25MHz~3GHz)
+15dBm(3GHz~4GHz、RSA607A型)
+10 dBm(4 GHz~7.5 GHz、RSA607A型)
- プリアンプON、代表値
-20dBm(9kHz~25MHz)
-15dBm(25 MHz~3 GHz)
-15dBm(3GHz~4GHz)
-20 dBm(4 GHz~7.5 GHz、RSA607A型)
- 3次相互変調歪
2.130 GHzにおいて-74 dBc
RF 入力端で各信号レベルは -25 dBm。2 MHzトーン分離。アッテネータ=0、リファレンス・レベル=-20 dBm。
- 3次相互変調歪
- プリアンプOFF、代表値
-70dBc未満(10kHz~25MHz)
-80dBc未満(25MHz~3GHz)
-80 dBc未満(3 GHz~4 GHz)
-70 dBc未満(4~6 GHz、RSA607A型)
-70dBc未満(6~7.5GHz、RSA607A型)
RF 入力端で各信号レベルは -25 dBm。2 MHzトーン分離。アッテネータ=0、リファレンス・レベル=-20 dBm。
- プリアンプON、代表値
-70dBc未満(9 kHz~25MHz)
-80dBc未満(25MHz~3GHz)
-80 dBc未満(3 GHz~4 GHz)
-70 dBc未満(4~6 GHz、RSA607A型)
-70dBc未満(6~7.5GHz、RSA607A型)
RF入力において各信号レベル-55 dBm。2 MHzトーン分離。アッテネータ=0、リファレンス・レベル=-50 dBm。
- 2次高調波歪(代表値)
- 2次高調波歪
-75 dBc未満(40 MHz~1.5 GHz)
-75 dBc未満(1.5~3.75GHz、RSA607A型)
- 2次高調波歪、プリアンプON
-60 dBc未満(40 MHz~ 3.75 GHz)、入力周波数
- 2次高調波歪インターセプト(SHI)
+35 dBm(40 MHz~1.5 GHz)、入力周波数
+35 dBm(1.5 GHz~3.75 GHz)、入力周波数
- 2次高調波歪インターセプト(SHI)、プリアンプON
+15 dBm(40 MHz~3.75 GHz)、入力周波数
- 表示平均ノイズ・レベル(DANL)
(1Hz RBWに標準化、ログ平均検出器を使用)
RSA603A型、RSA607A型:
周波数レンジ プリアンプON プリアンプON、代表値 プリアンプOFF、代表値 500 kHz~1 MHz -138 dBm/Hz -145 dBm/Hz -130 dBm/Hz 1 MHz~25 MHz -153 dBm/Hz -158 dBm/Hz -130 dBm/Hz 25 MHz~1 GHz -161 dBm/Hz -164 dBm/Hz -141 dBm/Hz 1 GHz~2 GHz -159 dBm/Hz -162 dBm/Hz -141 dBm/Hz 2 GHz~3 GHz -156 dBm/Hz -159 dBm/Hz -138 dBm/Hz 3~4 GHz、RSA607A型
-dBm/Hz
-dBm/Hz
-138 dBm/Hz 4~6GHz、RSA607A型
-159 dBm/Hz -162 dBm/Hz -147 dBm/Hz 6~7.5GHz、RSA607A型
-155 dBm/Hz -158 dBm/Hz -145 dBm/Hz
位相ノイズ
- 位相ノイズ
オフセット 1 GHz CF 1 GHz CF(代表値) 2 GHz CF(代表値) 6 GHz CF、(RSA607A)(代表値) 10 MHz(代表値) 10 kHz -94dBc/Hz -97dBc/Hz -96dBc/Hz -94dBc/Hz -120dBc/Hz 100 kHz -94dBc/Hz -98dBc/Hz -97dBc/Hz -96dBc/Hz -124dBc/Hz 1 MHz -116dBc/Hz -121dBc/Hz -120dBc/Hz -120dBc/Hz -124dBc/Hz
- 統合位相(RMS)、代表値
1 GHzで7.45×10-3ラジアン
2 GHzで8.24×10-3ラジアン
6 GHzで9.34×10-3ラジアン
10 kHz~10 MHzの統合
スプリアス応答
- 残留スプリアス応答(リファレンス=30dBm、RBW=1kHz)
-75 dBm未満(500 kHz~60 MHz)、代表値
-85 dBm未満(60~80 MHz)、代表値
-100dBm未満(80MHz~7.5GHz)、代表値
- 信号を伴うスプリアス応答(イメージ抑制)
-65 dBc未満(10 kHz~3 GHz、Ref=-30 dBm、Atten=10 dB、RF入力レベル=-30 dBm、RBW=10 Hz)
-65 dBc未満(3~7.5 GHz、Ref=-30 dBm、Atten=10 dB、RF入力レベル=-30 dBm、RBW=10 Hz)
- スプリアス応答(入力信号、CF)
- オフセット1 MHz以上
周波数 スパン:40 MHz以下、掃引スパン:40 MHz以上 1 MHz~100 MHz -75 dBc 100 MHz~3 GHz -72 dBc -75 dBc 3~7.5GHz(RSA607A型) -72 dBc -75 dBc
- スプリアス応答(入力信号、CF)
(100 kHz≦オフセット<1MHz、スパン = 2MHz):
周波数 代表値 1 MHz~100 MHz -76 dBc 100 MHz~3 GHz -76 dBc 3~7.5GHz(RSA607A型) -74 dBc9
- CF以外での信号を伴うスプリアス応答、代表値
周波数 スパン:40 MHz以下、掃引スパン:40 MHz以上 1~25 MHz(LFバンド) -73 dBc 25 MHz~3 GHz -73 dBc 3~7.5 GHz(RSA607A型) -73 dBc
- ハーフIFでの信号を伴うスプリアス応答 10
- RSA603A型, RSA607A型
-75 dBc未満(CF:30 MHz~3 GHz、Ref=-30 dBm、Atten=10 dB、RBW=10 Hz、Span=10 kHz)
信号周波数=2,310 MHz、RF入力レベル=-30 dBm
- RSA607A
-77dBc未満、(CF:3~7.5GHz、Ref=-30dBm、Atten=10dB、RBW=10Hz、Span=10kHz)
RF入力レベル=-30 dBm
- 入力コネクタへのローカル・オシレータ・フィードスルー、代表値
-70 dBm未満、プリアンプOFF。
-90 dBm未満、プリアンプON。
アッテネータ=10 dB。
アクイジション(A)
- 中間周波数(IF)帯域
- 40 MHz
- A/Dコンバータ
- 14ビット、112 MS/s。
- リアルタイムIF取り込みデータ
- 112 MS/s、16ビット整数サンプル。
ACLR
- ACLR(3GPPダウンリンク、1DPCH (2,130MHz))
- -57dB(隣接チャンネル)
- -68 dB、ノイズ補正(隣接チャンネル)
- -57 dB(最初の代替チャンネル)
- -69dB、ノイズ補正(最初の隣接チャンネル)
- ACLR LTE
- -58 dB(隣接チャンネル)
- -61dB、ノイズ補正(隣接チャンネル)
- -61 dB(最初の代替チャンネル)
- -63 dB、ノイズ補正(最初の隣接チャンネル)
GPSによる位置情報
- フォーマット
- GPS/GLONASS/BeiDou
- GPSアンテナ電源
- 3 V、最大100 mA
- 初回測位時間、最大
- ロック時間は2秒(ホット)から46秒(コールド・スタート)の範囲です。
- 入力信号パワー:-130 dBm。
- 水平位置確度
GPS:2.6 m
Glonass:2.6 m
BeiDou:10.2 m
GPS+Glonass:2.6 m
GPS+BeiDou:2.6 m
テスト条件:24時間スタティック、-130 dBm、フル・パワー
トラッキング・ジェネレータ(Opt. 04)
- トラッキング・ジェネレータ(Opt. 04)
- 周波数レンジ
反射 9 kHz~3.0 GHz(RSA603A型) 9 kHz~7.5 GHz(RSA607A型)
伝送 10 MHz~3 GHz(RSA603型) 10 MHz~7.5 GHz(RSA607A型)
- 掃引速度(代表平均値)
- 0.192秒/掃引、101ポイント、50kHz RBW、980から1,020MHzの掃引(1.9mS/ポイント)
パナソニックのタフパッドFZ-G1、Intel® Core™ i5-5300U 2.3 GHzプロセッサ、8 GB RAM、256 GB SSD、Windows® 7 Proを使用し、電源管理オプションを「高パフォーマンス」に設定して測定。伝送ゲイン表示は画面上の測定のみです。
- 周波数分解能
- 100 Hz
- TG出力コネクタ
- N型
- VSWR
- 1.9:1未満、10 MHz~7.5 GHz、出力レベル:-20 dBm
- 最大出力パワー
- -3dBm、10MHz~7.5GHz
- 出力パワー・レベル設定範囲
- 40dB、10MHz~7.5GHz
- 出力パワー・レベル・ステップ・サイズ
- 1 dB、10MHz~7.5GHz
- 出力パワー・レベル・ステップ・サイズ確度
- ±0.5 dB
- 出力レベル確度
- ±1.5 dB、10 MHz~7.5 GHz、出力レベル:-20 dBm
- 高調波
- -22dBc未満、20MHz以上
- 非高調波スプリアス
- -30 dBc未満、スプリアス:TG出力周波数から2 GHz未満
- -25 dBc未満、スプリアス:TG出力周波数から2 GHz以上
- 損傷を生じない逆電力
- 40 Vdc、+20 dBm RF
SignalVu-PC標準測定および性能
SignalVu-PC/RSA607A型の主要性能
- 最大スパン
- 40 MHz(リアルタイム)
- 9 kHz~3 GHz(掃引)
- 9 kHz~7.5 GHz(掃引)
- 最長取込時間
- 2.0s
- 最小IQ分解能
- 17.9ns(取込帯域幅:40MHz)
- チャンネル・テーブル
- 以下の規格に基づいたチャンネル・リストの表が用意されています。
- 携帯の規格ファミリ:AMPS、NADC、NMT-450、PDC、GSM、CDMA、CDMA-2000、1xEV-DO WCDMA、TD-SCDMA、LTE、WiMax
- 近距離無線通信:802.11a/b/j/g/p/n/ac、Bluetooth
- コードレス電話:DECT、PHS
- ブロードキャスト:AM、FM、ATSC、DVBT/H、NTSC
- 携帯ラジオ、ポケベル、その他:GMRS/FRS、iDEN、FLEX、P25、PWT、SMR、WiMax
- DPXスペクトラム表示
- スペクトラム・プロセッシング・レート(RBW:オート、トレース長:801)
- 10,000スペクトラム/秒以下
- DPXビットマップ分解能
- 201×801ピクセル
- DPXスペクトログラムの最小時間分解能11
- 1 ms
- 10,000スペクトラム/秒以下(スパン非依存)
- マーカ情報
- 振幅、周波数、信号密度
- 100 %の確かさで検出できる(100 %POI)最小信号時間、代表値11
最小信号時間、100%POI テスト・コントローラ 27 Dell Desktop(Windows® 10 Enterprise、Intel® Core™ i7-4790 CPU、3.6 GHz、8 GB RAM、256 GB SSD) 34 Dell Desktop(Windows® 7 Enterprise、Intel® Core™ i7-2600 CPU、3.4 GHz、8 GB RAM、256 GB SSD) 36 Dell Desktop Latitude E6430(Windows® 10 Enterprise、Intel® Core™ i7-3520M CPU、2.9GHz、8GB RAM、750GB HD) 35 Dell Laptop Precision M4700(Windows® 8 Enterprise、Intel® Core™ i7-3520M CPU、2.9GHz、8GB RAM、750GB HD) 37 Panasonic ToughPad SAPL-TP-04(Windows® 7 Pro、Intel® Core™ i5-5300U CPU、2.3GHz、8GB RAM、256GB SSD) - DPX設定:スパン=40 MHz、RBW=300 kHz(オート)
- スパン範囲(リアルタイム)
- 1 kHz~40 MHz
- スパン範囲(掃引)
- 機器の全周波数範囲
- ステップごとのドウェル・タイム
- 5 ms~100s
- 波形処理
- カラー・グラデーション・ビットマップ、+ピーク、-ピーク、アベレージ
- トレース長
- 801型、2401型、4001型、10401型
- RBWの範囲
- 1 kHz~4.99 MHz
- DPXスペクトログラム表示
- トレース検出
- +ピーク、-ピーク、アベレージ(VRMS)
- トレース長、メモリ長
- 801(60,000トレース)
- 2401(20,000トレース)
- 4001(12,000トレース)
- ラインあたりの時間分解能
- 1 ms~6400s、選択可能
- スペクトラム/スプリアス表示
- トレース
- 3トレース+1演算波形+1トレース(スペクトログラムからのスペクトラム表示)、4トレース(スプリアス表示)
- トレース機能
- ノーマル、アベレージ(VRMS)、MAXホールド、MINホールド、ログの平均
- 検波器
- アベレージ(VRMS)、アベレージ(ログ)、CISPRピーク、+ピーク、サンプル(スペクトラムのみ)、-ピーク、CISPR準尖頭値/アベレージ(Opt. SVQPを使用)
- スペクトラムのトレース長
- 801、2401、4001、8001、10401、16001、32001、64001ポイント
- RBWの範囲
- 1.18Hz~8MHz(スペクトラム表示)
- アナログ変調解析(標準装備)
- AM復調確度(代表値)
- ±2%
- 入力:0 dBm(中心周波数)、キャリア周波数:1 GHz、入力/変調周波数:1 kHz/5 kHz、変調深度:10 %~60 %
- 入力パワー・レベル:0 dBm、基準レベル:10 dBm、アッテネータ=オート
- FM復調確度、代表値
- スパンの±1%
- 入力:0 dBm(中心周波数)、キャリア周波数:1 GHz、入力/変調周波数:400 Hz/1 kHz
- 入力パワー・レベル:0 dBm、基準レベル:10 dBm、アッテネータ=オート
- PM復調確度、代表値
- 測定帯域幅:±3%
- 入力:0 dBm(中心周波数)、キャリア周波数:1 GHz、入力/変調周波数:1 kHz/5 kHz
- 入力パワー・レベル:0 dBm、基準レベル:10 dBm、アッテネータ=オート
- 信号強度表示
- 信号強度インジケータ
- ディスプレイ右側に表示
- 測定帯域範囲
- 最大40MHz(スパンおよびRBW設定により異なる)
- トーン・タイプ
受信信号の強度に応じて周波数を可変
掃引速度
- フルスパン掃引速度
- フルスパン掃引速度、代表値
5,500 MHz/秒(RBW=1 MHz)
5300 MHz/秒(RBW=100 kHz)
3700 MHz/秒(RBW=10 kHz)
950 MHz/秒(RBW=1 kHz)
パナソニックのタフパッドFZ-G1、Intel® Core™ i5-5300U 2.3 GHzプロセッサ、8 GB RAM、256 GB SSD、Windows®7 Proを使用して測定。
スペクトラム表示は画面上の測定のみです
- API経由のステップ時間のチューニング
- 1 ms
SignalVu-PCアプリケーションの性能概要
- AM/FM/PMおよびダイレクト・オーディオ測定(SVAxx-SVPC)
- キャリア周波数範囲(変調、オーディオ測定)
- (1/2×オーディオ解析帯域幅)~最大入力周波数
- 最大オーディオ周波数スパン
- 10 MHz
- FM測定(変調インデックス:0.1以上)
- キャリア・パワー、キャリア周波数誤差、オーディオ周波数、偏差(+ピーク、-ピーク、ピーク・ピーク/2、RMS)、SINAD、変調歪み、S/N、THD、TNHD、ハム/ノイズ
- AM測定
- キャリア・パワー、オーディオ周波数、変調深度(+ピーク、-ピーク、ピーク・ピーク/2、RMS)、SINAD、変調歪み、S/N、THD、TNHD、ハム/ノイズ
- PM測定
- キャリア・パワー、キャリア周波数誤差、オーディオ周波数、偏差(+ピーク、-ピーク、ピーク・ピーク/2、RMS)、SINAD、変調歪み、S/N、THD、TNHD、ハム/ノイズ
- オーディオ・フィルタ
- ロー・パス(kHz):0.3、3、15、30、80、300、0.9×オーディオ帯域までのユーザ設定
- ハイ・パス(Hz):20、50、300、400、0.9×オーディオ帯域までのユーザ設定
- 標準: CCITT、C-Message
- ディエンファシス(μs):25、50、75、750、ユーザ設定
- ファイル:.TXTまたは.CVSファイルによる振幅/周波数ペア。最大1,000ペア
性能特性、代表値 条件:特に断らないかぎり、以下の条件における性能を示しています。
変調レート=5 kHz
AM深度:50%
PM偏移:0.628ラジアン
FM AM PM 条件 キャリア・パワー確度 機器の振幅確度を参照 キャリア周波数確度 ±0.5Hz+(伝送周波数×基準周波数誤差) 機器の周波数確度を参照 ±0.2 Hz+(伝送周波数×基準周波数誤差) FM偏移:1 kHz/10 kHz 変調確度の深度 NA ±0.2%+(0.01×測定値) NA レート:1 kHz~100kHz
奥行:10%~90%
偏移確度 ±((レート+偏移)の1%+50Hz) NA ±100 %×(0.01+(測定レート/1 MHz)) FMレート:1 kHz~1 MHz レート確度 ±0.2Hz ±0.2Hz ±0.2Hz FM偏移:1 kHz~100 kHz 残留THD 0.10% 0.13% 0.1% FM偏移:5 kHz
レート:1 kHz~10 kHz
奥行:50%
残留SINAD 43 dB 58 dB 40 dB FM偏移5 kHz
レート:1 kHz~10 kHz
奥行:50%
- APCO P25測定アプリケーション(SV26xx-SVPC)
- 測定項目
- RF出力パワー、動作周波数確度、変調エミッション・スペクトラム、不要なエミッション・スプリアス、隣接チャンネル・パワー比、周波数偏差、変調忠実度、周波数誤差、アイ・ダイアグラム、シンボル・テーブル、シンボル・レート確度、トランスミッタ・パワー/エンコーダ・アタック・タイム、トランスミッタ・スループット遅延、周波数偏差対時間、パワー対時間、過渡的周波数変動、HCPMトランスミッタ論理チャンネル・ピークACPR、HCPMトランスミッタ論理チャンネル・オフ・スロット・パワー、HCPMトランスミッタ論理チャンネル・パワー・エンベロープ、HCPMトランスミッタ論理チャンネル・タイム・アライメント、相互相関マーカ
- 変調忠実度、代表値
- CF=460MHz、815MHz
- C4FM:1.0%以下
- HCPM:0.5%以下
- HDQPSK:0.25%以下
- 入力信号レベルは、最良の変調忠実度になるように最適化。
- Bluetooth測定アプリケーション(SV27xx-SVPCおよびSV31xx-SVPC)
- サポート規格
- Bluetooth® 4.2 Basic Rate、Bluetooth® 4.2 Low Energy、Bluetooth® 4.2 Enhanced Data RateBluetooth® 5(SV31が有効な場合)
- 測定項目
- ピーク・パワー、平均パワー、隣接チャンネル・パワーまたはインバンド・エミッション・マスク、-20 dB帯域幅、周波数誤差、変調特性(ΔF1avg(11110000)、ΔF2avg(10101010)、ΔF2>115 kHz、ΔF2/ΔF1比)、周波数偏差対時間(パケット/オクテット・レベルの測定情報)、キャリア周波数f0、周波数オフセット(プリアンブルおよびペイロード)、最大周波数オフセット、周波数ドリフトf1-f0、最大ドリフト比fn-f0およびfn-fn-5、中心周波数オフセット・テーブルおよび周波数ドリフト・テーブル、カラーコードによるシンボル・テーブル、パケット・ヘッダ・デコード情報、アイ・ダイアグラム、コンスタレーション・ダイアグラム
- 出力電力(BRおよびLE)、代表値
- サポートされる測定項目:平均パワー、ピーク・パワー
- レベルの不確かさ:機器の振幅およびフラットネスの仕様を参照
- 測定範囲:信号レベル:>-70dBm
- 変調特性、代表値(平均)
- サポートされる測定項目:ΔF1avg、ΔF2avg、ΔF2avg/ΔF1avg、ΔF2max%>=115 kHz(Basic Rate)、ΔF2max%>=115 kHz(Low Energy)
- 偏差範囲:±280 kHz
- 偏差の不確かさ(0dBm):
- 2 kHz未満12+機器の周波数の不確かさ(Basic Rate)
- 3 kHz未満12+機器の周波数の不確かさ(Low Energy)
- 測定範囲:チャンネル周波数±100kHz
- 初期キャリア周波数許容範囲(ICFT)(BRおよびLE)、代表値
- 測定の不確かさ(0dBm):1 kHz未満12+機器の周波数の不確かさ
- 測定範囲:チャンネル周波数±100kHz
- キャリア周波数ドリフト(BRおよびLE)、代表値
- サポートされる測定項目:最大周波数オフセット、ドリフトf1-f0、最大ドリフトfn-f0、最大ドリフトfn-fn-5(BRおよびLE、50 μs)
- 測定確度:1 kHz未満+機器の周波数の不確かさ
- 測定範囲:チャンネル周波数±100kHz
- インバンド・エミッション(ACPR)(BRおよびLE)
- レベルの不確かさ:機器の振幅およびフラットネスの仕様を参照
- 汎用デジタル変調解析(SVMxx-SVPC)
- 変調形式
- BPSK、QPSK、8PSK、16QAM、32QAM、64QAM、128QAM、256QAM、π/2DBPSK、DQPSK、π/4DQPSK、D8PSK、D16PSK、SBPSK、OQPSK、SOQPSK、16-APSK、32-APSK、MSK、GFSK、CPM、2FSK、4FSK、8FSK、16FSK、C4FM
- 解析範囲
- 最大163,500サンプル
- フィルタ・ロールオフ係数
- α:0.001~1、0.001ステップ
- ベクトル図の表示フォーマット
- シンボル/軌跡表示、周波数誤差測定、原点オフセット測定
- LTEダウンリンクRF測定(SV28xx-SVPC)
- サポート規格
3GPP TS 36.141バージョン12.5
- 対応フレーム・フォーマット
FDDおよびTDD
- サポートされる測定/表示機能
- 隣接チャンネル漏洩比(ACLR)、スペクトラム・エミッション・マスク(SEM)、チャンネル・パワー、占有帯域幅、TDD信号のトランスミッタ・オフ・パワーのパワー対時間表示、プライマリ同期信号/セカンダリ同期信号のLTEコンスタレーション・ダイアグラムおよびセルID、グループID、セクタID、RS(リファレンス信号)パワー、周波数誤差
5G NRアップリンク/ダウンリンク測定(5GNRNL-SVPC)
- サポート規格
- BSの場合はTS 38.141-1、UEの場合は38.521-1
- 変調確度
- BSの場合はセクション6.5.2、UEの場合はセクション6.4.2
- ACP
- BSの場合はセクション6.6.3、UEの場合はセクション6.5.2.4
- サポートされるフレーム・フォーマット
- アップリンク(FDDおよびTDD)
- ダウンリンク(FDDおよびTDD)
- サポートされる測定および表示機能
- チャンネル・パワー(CHP)、隣接チャンネル・パワー(ACP)、パワー対時間(PVT)1、変調確度(エラー・ベクトル振幅(EVM)、周波数誤差、IQエラーを含む)、EVM対シンボル、占有帯域幅(OBW)、スペクトラム・エミッション・マスク(SEM)、コンスタレーション・ダイアグラム、およびスカラ結果を含むサマリ・テーブル。
- EVM(代表値)
20 MHz 1CC、256QAM UL、30 kHzサブキャリア・スペース 1 GHz 2 GHz 3.5 GHz 5 GHz 6 GHz 7 GHz 0.78% 0.93% 1.04% 0.87% 1.01% 1.05% RSA518シリーズ・スペクトラム・アナライザの場合:1 GHz~7 GHzの範囲で39.2 dB rms EVM以下(20 MHz CC1、256QAM、-6 dBm~-33 dBmのチャンネル電力、フルスケールの-1 dB以内)。

- ACLR(代表値)
- -48 dBc未満(20 MHz CC1、256QAM)、-6 dBm~-27 dBmのチャンネル電力、-1 dB以内のフルスケールで7 GHz未満
- マッピング(MAPxx-SVPC)
- サポートされるマップの種類
- Pitney Bowes MapInfo(*.mif)、ビットマップ(*.bmp)、オープン・ストリート・マップ(.osm)
- 測定結果の保存
- 測定データ・ファイル(測定結果のエクスポート)
- 測定結果に使用されるマップ・ファイル
- Google EarthのKMZファイル
- 再呼び出し可能な測定結果ファイル(トレースおよびセットアップ・ファイル)
- MapInfo互換のMIF/MIDファイル
パルス測定(SVPxx-SVPC)
- 測定項目(公称値)
- パルソグラム(Pulse-Ogram™)ウォーターフォール表示:複数のセグメント化された取込みを振幅対時間と各パルスのスペクトラムと一緒に表示可能。パルス周波数、デルタ周波数、平均オン・パワー、ピーク・パワー、平均送信パワー、パルス幅、立上り時間、立下り時間、繰返し間隔(秒)、繰返し間隔(Hz)、デューティ・ファクタ(%)、デューティ・ファクタ(比率)、リップル(dB)、リップル(%)、ドループ(dB)、ドループ(%)、オーバシュート(dB)、オーバーシュート(%)、パルスと基準パルスの周波数差、パルスと基準パルスの位相差、パルスとパルスの周波数差、パルスとパルスの位相差、RMS周波数誤差、最大周波数誤差、RMS位相誤差、最大位相誤差、周波数偏差、位相偏差、インパルス応答(dB)、インパルス応答(時間)、タイムスタンプ。
- 検出可能な最小パルス幅(代表値)
- 150 ns
- 平均ONパワー(18~28℃)、代表値
- ±0.4 dB+絶対振幅確度
- パルス幅:300 ns以上、デューティ・サイクル:0.5~0.001、S/N比:30dB以上
- デューティ・ファクタ、代表値
- 読み値の±0.2%
- パルス幅:450ns以上、デューティ・サイクル:0.5~0.001、S/N比:30dB以上
- 平均送信パワー、代表値
- ±0.5 dB+絶対振幅確度
- パルス幅:300 ns以上、デューティ・サイクル:0.5~0.001、S/N比:30dB以上
- ピーク・パルス電力、代表値
- ±1.2 dB+絶対振幅確度
- パルス幅:300 ns以上、デューティ・サイクル:0.5~0.001、S/N比:30dB以上
- パルス幅、代表値
- 読み値の±0.25%
- パルス幅:450ns以上、デューティ・サイクル:0.5~0.001、S/N比:30dB以上
- ストリーミング記録された信号の再生(SV56)
- 再生ファイル・タイプ
- RSA306型、RSA500シリーズ、またはRSA600シリーズによって記録されたR3Fファイル
- 記録されたファイルの帯域幅
- 40 MHz
- ファイルの再生コントロール
- 一般:再生、停止、再生中止
- 場所再生開始/終了ポイントの設定(0~100 %)
- スキップ:スキップ・サイズの定義(73 μs~ファイル・サイズの99 %)
- ライブ・レート:記録時と同じ時間での再生
- ループ・コントロール:1回のみ再生、または連続的にループ再生
- メモリ要件
- 信号を記録するには、300 MB/sの書き込み速度で保存する必要があります。ライブレートで録画ファイルを再生するには、300 MB/sの読み取り速度で保存する必要があります。
- WLAN測定、802.11a/b/g/j/p(SV23xx-SVPC)
- 測定項目
- WLANパワー対時間、WLANシンボル・テーブル、WLANコンスタレーション、スペクトラム・エミッション・マスク、EVM、EVM対シンボル(または時間)/対サブキャリア(または周波数)、振幅エラー対シンボル(または時間)/対サブキャリア(または周波数)、位相エラー対シンボル(または時間)/対サブキャリア(または周波数)、チャンネル周波数対シンボル(または時間)/対サブキャリア(または周波数)、スペクトラム・フラットネス対シンボル(または時間)/対サブキャリア(または周波数)
- 残留EVM – 802.11a/g/j /p(OFDM)、64-QAM、代表値
- 2.4 GHz、帯域幅(20 MHz):-39 dB
- 5.8 GHz、帯域幅(20 MHz):-38 dB
- 入力信号レベルは最良のEVMになるように最適化、20バーストの平均、各16シンボル以上
- 残留EVM - 802.11b、CCK-11、代表値
- 2.4 GHz、11 Mbps:1.3 %
- 入力信号レベルは最良のEVMになるように最適化、1,000チップの平均、BT:0.61
- WLAN測定、802.11n(SV24xx-SVPC)
- 測定項目
- WLANパワー対時間、WLANシンボル・テーブル、WLANコンスタレーション、スペクトラム・エミッション・マスク、EVM、EVM対シンボル(または時間)/対サブキャリア(または周波数)、振幅エラー対シンボル(または時間)/対サブキャリア(または周波数)、位相エラー対シンボル(または時間)/対サブキャリア(または周波数)、チャンネル周波数対シンボル(または時間)/対サブキャリア(または周波数)、スペクトラム・フラットネス対シンボル(または時間)/対サブキャリア(または周波数)
- EVM性能 - 802.11n、64-QAM、代表値
- 2.4 GHz、帯域幅(40 MHz):-39 dB
- 5.8 GHz、帯域幅(40 MHz):-38 dB
- 入力信号レベルは最良のEVMになるように最適化、20バーストの平均、各16シンボル以上
- WLAN測定、802.11ac(SV25xx-SVPC)
- 測定項目
- WLANパワー対時間、WLANシンボル・テーブル、WLANコンスタレーション、スペクトラム・エミッション・マスク、EVM、EVM対シンボル(または時間)/対サブキャリア(または周波数)、振幅エラー対シンボル(または時間)/対サブキャリア(または周波数)、位相エラー対シンボル(または時間)/対サブキャリア(または周波数)、チャンネル周波数対シンボル(または時間)/対サブキャリア(または周波数)、スペクトラム・フラットネス対シンボル(または時間)/対サブキャリア(または周波数)
- EVM性能 - 802.11ac、256-QAM、代表値
- 5.8 GHz、帯域幅(40 MHz):-38 dB
- 入力信号レベルは最良のEVMになるように最適化、20バーストの平均、各16シンボル以上
- EMCのプリコンプライアンスとトラブルシューティング(EMCVUxx-SVPC)
- 規格
- EN55011、EN55012、EN55013、EN55014、EN55015、EN55025、EN55032、EN60601、DEF STAN、FCC Part 15、FCC Part18、MIL-STD 461G
- 特長
- EMC-EMI表示、ウィザード(アクセサリ/リミット・ラインのセットアップ)、Inspectツール、高調波マーカ、レベル・ターゲット、トレースの比較、環境測定、レポート生成、スポットの再測定
- 検波器
+ピーク、アベレージ、アベレージ(Log)、アベレージ(VRMS)、CISPR準尖頭値、CISPR尖頭値、CISPRアベレージ、CISPRアベレージ(Log)、MIL+ピーク、DEF STANアベレージ、DEF STANピーク
- リミット・ライン
- 最大3つのリミット・ライン(対応するマージンも表示)
- 分解能帯域幅
- 規格に準拠した設定またはユーザ定義可能
- ドウェル・タイム
- 規格に準拠した設定またはユーザ定義可能
- レポート・フォーマット
- PDF、HTML、MHT、RTF、XLSX、イメージ・ファイル・フォーマット
- アクセサリの種類
- アンテナ、近接界プローブ、ケーブル、増幅器、減衰器、フィルタ、その他
- 補正フォーマット
- ゲイン/ロス定数、ゲイン/ロス・テーブル、アンテナ係数
- トレース
- 最大5つのトレース、演算波形(トレース1-トレース2)、環境トレースの保存と呼出し
- リターン・ロス、障害位置(DTF)、ケーブル損失測定
- 測定項目
- リターン・ロス、ケーブル損失、障害位置(DTF)
- 周波数レンジ
- 10 MHz~3 GHz(RSA603A型)
- 10 MHz~7.5 GHz(RSA607A型)
- 掃引速度13
- 5 ms/ポイント、リターン・ロス測定
- 5 ms/ポイント、障害間距離測定
- 5 ms/ポイント、ケーブル損失測定
- 周波数分解能
- 500 Hz
- リターン・ロス測定誤差
- リターン・ロスが0~15 dB:±0.5 dB
- リターン・ロスが15~25 dB:±1.5dB
- リターン・ロスが25~35 dB:±4.0 dB
- リターン・ロスが14dBの場合の測定誤差
- ±1.5 dB(10 MHz~6.8 GHz)
- ±3.0 dB(6.8 GHz~7.5 GHz)
- リターン・ロス測定範囲
- 50 dB
- 耐干渉性
- 以下の条件で仕様範囲内となるリターン・ロス測定誤差:
- 測定ポイントの800 kHz以内に干渉の影響がある場合:+5 dBm
- 測定ポイントから800 kHz以上離れた干渉の影響がある場合:+5 dBm
- (テスト・レベルはハイ・パワー。干渉による影響は確度の評価に含まれない)
- 障害位置測定範囲
- 1,500mまたは15dB(1方向のケーブル損失を測定可能、ユーザ定義)
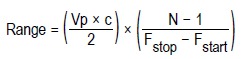
- 最大範囲はケーブルの速度係数と周波数のステップ・サイズの関数で表され、以下の式で求められます。

- ここで、
- Vp=光の速度に対するケーブルの速度係数
- c=光の速度(m/s)
- Fstart=掃引開始周波数(Hz)
- Fstop=掃引終了周波数(Hz)
- N=掃引ポイントの数
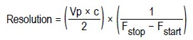
- 障害位置測定分解能
RSA603A型、(RG-58(Vp=0.66)):0.03 m(ユーザ定義可能)
RSA607A型、(RG-58(Vp=0.66)):0.01 m(ユーザ定義可能)
最小分解能はケーブルの速度係数と周波数のステップ・サイズの関数で表され、以下の式で求められます。

- または、

28ボルト・ノイズ・ソース・ドライブ
- 28ボルト・ノイズ・ソース・ドライブ出力
- 出力レベル
- 28 VDC(140 mA)
- ON/OFF時の出力電圧
ON:100 μs
OFF:500 μs
入出力ポート
- 入力、出力、およびインタフェース
- RF入力
- N型(fe)
- 外部リファレンス入力周波数
- BNC(fe)
- トリガ/シンク入力
- BNC(fe)
- トラッキング・ジェネレータ出力
- N型(fe)
- GPSアンテナ
- SMA(Fe)
- USBデバイス・ポート
- USB 3.0-Type A
- USBステータスLED
LED、2色表示(赤/緑)
LEDの状態:
赤点灯:USB電源投入済み、またはリセット中
緑点灯:初期化済み、使用準備完了
緑点滅:ホストにデータを転送中
インストール要件
- 最大消費電力(フル・ロード時)
RSA600A型:45 W(最大)。
- サージ電流
最大ピーク:2 A、、5ライン・サイクル以下で25 ℃、製品をオフにしてから30秒以上経過後。
- 冷却に必要なスペース
上下
0 mm(0 インチ)(脚を含む)
6.3 mm(0.25 インチ)(脚を含まない)
側面
0 mm(0 インチ)
後部:38.1 mm(1.5 インチ)
物理特性
- 物理特性
- 高さ
- 75.0mm
- 幅
- 222.3mm
- 奥行
- 358.6mm
- 質量
- 2.79 kg
環境および安全性
- 温度
- 動作時
- -10 ℃~+55 ℃ (+14 °F ~ +131 °F)
- 非動作時
- -51 ℃~+71 ℃(-60゚F~+160゚F)
- 湿度
MIL-PRF-28800F Class 2
動作時:
+10~30 ℃の温度範囲で5~95%±5%RH(相対湿度)
+30~40 ℃で5~75%±5% RH
+40~+55 ℃で5~45%±5% RH
10 ℃未満では湿度は制御されない。結露なきこと
- 高度
- 動作時
最高3000 m
- 非動作時
最高12000 m
ダイナミクス
- 振動
- 動作時
当社クラス3ランダム振動テスト(0.31 GRMS):5~500 Hz、3軸(10分/軸)
- 非動作時
MIL-PRF-28800F Class 3
2.06 GRMS、5~500 Hz、各軸に10分間、3軸(計30分)
- 衝撃
- 動作時
- 軍事規格MIL-PRF-28800F 1-4のテスト方法
- 非動作時
- 軍事規格MIL-PRF-28800Fの要件以上
- 機械的強度
- ベンチで使用時の強度(動作時)
MIL-PRF-28800F Class 3
- 運搬時の落下強度(非動作時)
- MIL-PRF-28800F Class 2
ご注文の際は以下の型名をご使用ください。
機器モデル
RSA603A型:リアルタイムUSBスペクトラム・アナライザ、9kHz~3.0 GHz、取り込み帯域幅:40MHz
RSA607A型:リアルタイムUSBスペクトラム・アナライザ、9kHz~7.5 GHz、取り込み帯域幅:40MHz
RSA600シリーズを使用するためには、Windows 7、Windows 8/8.1、またはWindows 10、64ビット・オペレーティング・システムを実行しているPCとUSB 3.0による接続が必要。SignalVu-PCのインストールには、8 GBのRAMと20 GBのディスク空き容量が必要。、RSA600シリーズのリアルタイム機能の性能を最大に生かすためには、Intelの第4世代Core i5プロセッサが必要(推奨はCore i7)。性能の低いプロセッサを使用した場合は、リアルタイム性能が低下。ストリーミング・データを保存する場合は、300MB/秒のレートに対応したドライブを装備したPCが必要。
内容:USB 3.0ケーブル(2m)、A-A接続、ネジ・ロック、クイック・スタート・マニュアル(印刷)、コネクタ・カバー、電源ケーブル、(電源プラグのオプションを参照)、SignalVu-PC、APIおよびドキュメント・ファイルが格納されたUSBメモリ・デバイス。GPSアンテナは機器本体には付属しません。利用可能なGPSアンテナについては、アクセサリのセクションをご覧ください。
機器オプション
| オプション | 説明 |
|---|---|
| オプション0414 | トラッキング・ジェネレータ(9kHz~機器の最高周波数) |
オプション
RSA600Aシリーズ電源プラグのオプション
- Opt.A0
- 北米仕様電源プラグ(115V、60Hz)
- Opt.A1
- ユニバーサル欧州仕様電源プラグ(220V、50Hz)
- Opt.A2
- イギリス仕様電源プラグ(240V、50Hz)
- Opt.A3
- オーストラリア仕様電源プラグ(240V、50Hz)
- Opt.A4
- 北米仕様電源プラグ(240 V、50 Hz)
- Opt.A5
- スイス仕様電源プラグ(220V、50Hz)
- Opt.A6
- 日本仕様電源プラグ(100V、50/60Hz)
- Opt.A10
- 中国仕様電源プラグ(50Hz)
- Opt.A11
- インド仕様電源プラグ(50Hz)
- Opt.A12
- ブラジル仕様電源プラグ(60Hz)
- Opt.A99
- 電源コードなし
RSA600Aシリーズの言語オプション
- Opt.L0
- 英語
- Opt.L1
- フランス語
- Opt.L2
- スペイン語
- Opt.L3
- 日本語
- Opt.L4
- ポルトガル語
- Opt.L5
- 簡体字中国語
- Opt.L6
- 韓国語
- Opt.L7
- ロシア語
- Opt.L99
- マニュアルなし
RSA600Aシリーズのサービス・オプション
- Opt.C3
- 3年間の校正サービス
- Opt.C5
- 5 年間の校正サービス
- Opt.D1
- 校正データ・レポート
- Opt.D3
- 3年試験成績書(Opt.C3)
- Opt.D5
- 5年試験成績書(Opt.C5)
- Opt.R5
- 5年間の修理サービス(保証期間を含む)
保証期間
- RSA600シリーズの保証:3年間。
タブレット
- タブレット・コントローラ利用可能
- RSA600シリーズをポータブル・フィールド・アプリケーションにご使用になる場合は、パナソニックFZ-G1タフブック・タブレット・コントローラを推奨します。Windows 10バージョンのタブレットは、パナソニックのhttps://na.panasonic.com/us/computers-tablets-handhelds/tablets/tablets/toughpad-fz-g1およびその他のサードパーティ各社のWebサイトにてご購入いただけます。
ライセンス
SignalVu-PCでは、各種のライセンスされたアプリケーションを、オプションとしてご購入いただけます。これらのライセンスは、お客様がご使用のPC、またはRSA300シリーズ、RSA500シリーズ、RSA600シリーズ、およびRSA7100Aシリーズ・スペクトラム・アナライザのいずれかに関連付けられ、それぞれのハードウェアに保存されます。ライセンスは、ハードウェアのオプションとしてご購入いただけるほか、ノード・ロック/フローティング・ライセンスとして、別途に購入していただくことも可能です。
ライセンスの購入は、当社営業担当までお問合せください。機器オプションとしてライセンスをご購入された場合以外は、ご購入いただいたアプリケーションのリストと、当社のプロダクト・ライセンスのWebページのURLが記載された電子メールが送信されます。Webページでアカウントを作成していただくと、当社のアセット管理システム(AMS)を使用して、お客様のライセンスを管理していただけますhttp://www.tek.com/products/product-license。
AMSは、お客様がお持ちのライセンスの管理にご利用していただけます。ライセンスのチェック・アウト/チェック・インのほか、使用履歴も確認できます。
次のいずれかの種類のライセンスをご購入いただくことにより、オプショナル・アプリケーションが有効になります。次のいずれかの種類のライセンスをご購入いただくことにより、オプショナル・アプリケーションが有効になります。
| ライセンスの種類 | 説明 |
|---|---|
ノード・ロック・ライセンス(NL):機器オプションとして購入 | このライセンスは、購入時に特定のホストID(PCまたは機器)に対して割り当てられます。AMSを使用して、PCまたは別のスペクトラム・アナライザに、2回まで再割り当てを行うことができます。 このライセンスは、製造時に工場出荷時オプションとして機器本体にインストールされます。機器を接続すると、SignalVu-PCを実行するPCによってランセンスが認識されます。ただし、ライセンスされた機器との接続が解除されると、PC上のアプリケーションのライセンスはディアクティベートされます。 これは、最も一般的なライセンスの形態であり、アプリケーションの管理が簡単です。 |
| ノード・ロック・ライセンス(NL):別途に購入 | このライセンスは、購入時に特定のホストID(PCまたは機器)に対して割り当てられます。AMSを使用して、PCまたは機器に、2回まで再割り当てを行うことができます。 このライセンスは電子メールで配布され、ライセンスのインストール時に、PCまたは1台の機器に関連付けられます。 ライセンスをPCにインストールした状態で使用したいときや、既存のUSB計測器にランセンスをインストールしたい場合には、このライセンスを購入する必要があります。 |
| フローティング・ライセンス(FL):別途に購入 | このライセンスは、異なるホストID(PCまたは機器)間で移動できます。AMSを使用して、別のPCまたは機器に再割り当てを行うことができます(回数は無制限)。 このライセンスは電子メールで配布され、ライセンスのインストール時に、PCまたは1台の機器に関連付けられます。 これは最も柔軟性の高いライセンス形態であり、ライセンスを頻繁に移動する必要があるアプリケーションにお勧めします。 |
SignalVu-PC用アプリケーション対応ソフトウェア・モジュール
以下のSignalVu-PCライセンス・オプションをご利用いただけます。
| アプリケーション・ライセンス | 説明 |
|---|---|
| SVANL-SVPC | AM/FM/PM/ダイレクト・オーディオ解析-ノード・ロック・ライセンス |
| SVAFL-SVPC | AM/FM/PM/ダイレクト・オーディオ解析-フローティング・ライセンス |
| SVTNL-SVPC | セトリング時間(周波数、位相)測定-ノード・ロック・ライセンス |
| SVTFL-SVPC | セトリング時間(周波数、位相)測定-フローティング・ライセンス |
| SVMNL-SVPC | 取込帯域幅が40MHz以下のアナライザまたはMDOで動作する汎用変調解析-ノード・ロック・ライセンス |
| SVMFL-SVPC | 取込帯域幅が40MHz以下のアナライザまたはMDOで動作する汎用変調解析-フローティング・ライセンス |
| SVPNL-SVPC | 取込帯域幅が40MHz以下のアナライザまたはMDOで動作するパルス解析-ノード・ロック・ライセンス |
| SVPFL-SVPC | 取込帯域幅が40MHz以下のアナライザまたはMDOで動作するパルス解析-フローティング・ライセンス |
| SVONL-SVPC | フレキシブルOFDM解析-ノード・ロック・ライセンス |
| SVOFL-SVPC | フレキシブルOFDM解析-フローティング・ライセンス |
| SV23NL-SVPC | WLAN 802.11a/b/g/j/p測定-ノード・ロック・ライセンス |
| SV23FL-SVPC | WLAN 802.11a/b/g/j/p測定-フローティング・ライセンス |
| SV24NL-SVPC | WLAN 802.11n測定(Opt. SV23が必要)-ノード・ロック・ライセンス |
| SV24FL-SVPC | WLAN 802.11n測定(Opt. SV23が必要)-フローティング・ライセンス |
| SV25NL-SVPC | 取込帯域幅が40 MHz以下のアナライザ(Opt. SV23およびSV24が必要)またはMDOで動作するWLAN 802.11ac測定-ノード・ロック・ライセンス |
| SV25FL-SVPC | 取込帯域幅が40 MHz以下のアナライザ(Opt. SV23およびSV24が必要)またはMDOで動作するWLAN 802.11ac測定-フローティング・ライセンス |
| SV26NL-SVPC | APCO P25測定-ノード・ロック・ライセンス |
| SV26FL-SVPC | APCO P25測定-フローティング・ライセンス |
| SV27NL-SVPC | 取込帯域幅が40MHz以下のアナライザまたはMDOで動作するBluetooth測定-ノード・ロック・ライセンス |
| SV27FL-SVPC | 取込帯域幅が40MHz以下のアナライザまたはMDOで動作するBluetooth測定-フローティング・ライセンス |
| SV31NL-SVPC | Bluetooth 5測定(Opt. SV27が必要)-ノード・ロック・ライセンス |
| SV31FL-SVPC | Bluetooth 5測定(Opt. SV27が必要)-フローティング・ライセンス |
| MAPNL-SVPC | マッピング-ノード・ロック・ライセンス |
| MAPFL-SVPC | マッピング-フローティング・ライセンス |
| SV56NL-SVPC | ストリーミング記録されたファイルの再生-ノード・ロック・ライセンス(PCコントローラにのみインストール) |
| SV56FL-SVPC | ストリーミング記録されたファイルの再生-フローティング・ライセンス(PCコントローラにのみインストール) |
| CONNL-SVPC | 5または6シリーズB MSOオシロスコープを使用したライブ接続およびSignalVu-PC基本バージョンVSA測定(オプションSV-RFVTが必要)- ノード・ロック・ライセンス |
| CONFL-SVPC | 5または6シリーズMSOオシロスコープを使用したライブ接続およびSignalVu-PC基本バージョンVSA測定(オプションSV-RFVT)。- フローティング・ライセンス |
| SV2CNL-SVPC | WLAN 802.11a/b/g/j/p/n/acおよび5/6シリーズMSOへの接続(オプションSV-RFVT)または取込帯域幅が40 MHz以下のアナライザで動作 - ノード・ロック・ライセンス |
| SV2CFL-SVPC | WLAN 802.11a/b/g/j/p/n/acおよび5/6シリーズMSOへの接続(オプションSV-RFVT)または取込帯域幅が40 MHz以下のアナライザで動作 - フローティング・ライセンス |
| SV28NL-SVPC | 取込帯域幅が40MHz以下のアナライザまたはMDOで動作するLTEダウンリンクRF測定-ノード・ロック・ライセンス |
| SV28FL-SVPC | 取込帯域幅が40MHz以下のアナライザまたはMDOで動作するLTEダウンリンクRF測定-フローティング・ライセンス |
| 5GNRNL-SVPC | 5G NRアップリンク/ダウンリンクRFパワー、帯域幅、復調、およびError Vector Magnitude測定15 |
| SV54NL-SVPC | 信号調査/識別-ノード・ロック・ライセンス |
| SV54FL-SVPC | 信号調査/識別-フローティング・ライセンス |
| SV60NL-SVPC | リターン・ロス、障害までの距離、VSWR、ケーブル損失-ノード・ロック・ライセンス(RSA500A/600A型にOpt. 04が必要) |
| SV60FL-SVPC | リターン・ロス、障害までの距離、VSWR、ケーブル損失-フローティング・ライセンス(RSA500A/600A型にOpt. 04が必要) |
| SV30NL-SVPC | WiGig 802.11ad測定-ノード・ロック・ライセンス(オフライン解析のみ) |
| SV30FL-SVPC | WiGig 802.11ad測定-フローティング・ライセンス(オフライン解析のみ) |
| EMCVUNL-SVPC | EMCのプリコンプライアンス/トラブルシューティング(EMI CISPR検波器を含む)-ノード・ロック・ライセンス |
| EMCVUFL-SVPC | EMCのプリコンプライアンス/トラブルシューティング(EMI CISPR検波器を含む)-フローティング・ライセンス |
| SVQPNL-SVPC | EMI CISPR検波器-ノード・ロック・ライセンス |
| SVQPFL-SVPC | EMI CISPR検波器-フローティング・ライセンス |
| EDUFL-SVPC | 5G NRを除くすべてのSignalVu-PCモジュールを備えた教育専用バージョン - フローティングライセンス |
推奨アクセサリ
当社は、 RSA600Aシリーズ用にアダプタ、アッテネータ、ケーブル、インピーダンス・コンバータ、アンテナなど広範なアクセサリを用意しています。
- 汎用RFケーブル
- 012-1738-00
- ケーブル、50Ω、101.6cm、Nコネクタ(m)‐Nコネクタ(m)
- 012-0482-00
- ケーブル、50Ω、BNCコネクタ(m)、91cm
- アダプタ
- 103-0045-00
アダプタ、同軸、50Ω、Nコネクタ(m)-BNCコネクタ(f)
- 013-0410-00
- アダプタ、同軸、50Ω、Nコネクタ(f)‐Nコネクタ(f)
- 013-0411-00
- アダプタ、同軸、50 Ω、Nコネクタ(m)‐Nコネクタ(f)
- 013-0412-00
- アダプタ、同軸、50 Ω、Nコネクタ(m)‐Nコネクタ(m)
- 013-0402-00
- アダプタ、同軸、50 Ω、Nコネクタ(m)‐7/16型コネクタ(m)
- 013-0404-00
- アダプタ、同軸、50Ω、Nコネクタ(m)‐7/16型コネクタ(f)
- 013-0403-00
- アダプタ、同軸、50 Ω、Nコネクタ(m)‐DIN 9.5型コネクタ(m)
- 013-0405-00
- アダプタ、同軸、50 Ω、Nコネクタ(m)‐DIN 9.5型コネクタ(f)
- 013-0406-00
- アダプタ、同軸、50Ω、Nコネクタ(m)‐SMAコネクタ(f)
- 013-0407-00
- アダプタ、同軸、50Ω、Nコネクタ(m)‐SMAコネクタ(m)
- 013-0408-00
- アダプタ、同軸、50Ω、Nコネクタ(m)‐TNCコネクタ(f)
- 013-0409-00
- アダプタ、同軸、50Ω、Nコネクタ(m)‐TNCコネクタ(m)
- アッテネータおよび50/75 Ωパッド
- 013-0422-00
- 最小損出パッド、50/75 Ω、Nコネクタ(m)50 Ω‐BNCコネクタ(f)75 Ω
- 013-0413-00
- 最小損失パッド、50/75 Ω、Nコネクタ(m)50 Ω‐BNCコネクタ(m)75 Ω
- 013-0415-00
- 最小損失パッド、50/75 Ω、Nコネクタ(m)50 Ω‐Fコネクタ(m)75 Ω
- 015-0787-00
- 最小損失パッド、50/75 Ω、Nコネクタ(m)50 Ω‐Fコネクタ(f)75 Ω
- 015-0788-00
- 最小損失パッド、50/75 Ω、Nコネクタ(m)50 Ω‐Nコネクタ(f)75 Ω
- 011-0222-00
- アッテネータ、固定、10 dB、2 W、DC-8 GHz、Nコネクタ(f)‐Nコネクタ(f)
- 011-0223-00
- アッテネータ、固定、10 dB、2 W、DC-8 GHz、Nコネクタ(m)‐Nコネクタ(f)
- 011-0224-00
- アッテネータ、固定、10 dB、2 W、DC-8 GHz、Nコネクタ(m)‐Nコネクタ(m)
- 011-0228-00
- アッテネーション、固定、3dB、2W、DC~18GHz、Nコネクタ(m)‐Nコネクタ(f)
- 011-0225-00
- アッテネーション、固定、40dB、100W、DC~3GHz、Nコネクタ(m)‐Nコネクタ(f)
- 011-0226-00
- アッテネーション、固定、40dB、50W、DC~8.5GHz、Nコネクタ(m)‐Nコネクタ(f)
- アンテナ
- 119-8733-00
- アンテナ、アクティブ。GPS & GLONASS、マグネット・マウント、5mケーブル、3V、8mA SMAコネクタ、RG-174ケーブル
- 119-8734-00
アンテナ、アクティブ、GPS & Beidou、マグネット・マウント、5mケーブル、3V、8mA SMAコネクタ、RG-174ケーブル
- フィルタ、プローブ、デモ・ボード
- 119-7246-00
- 汎用外付フィルタ、824~2,500MHz、Nコネクタ(fe)
- 119-7426
- 汎用外付フィルタ、2,400~6,200MHz、Nコネクタ(fe)
- 119-4146-00
- EMCO社製近接界プローブ
- E/Hフィールド・プローブ、低コストの代替品
- Beehiveから入手できます http://beehive-electronics.com/
- 011-0227-00型
- バイアス-T、Nコネクタ(m)RF、Nコネクタ(f)RF+DC、BNCコネクタ(f)バイアス、1W、0.5A、2.5MHz~6GHz
- EMI-NF-PROBE
- 近接界プローブ・セット(Tekbox TBPS01)
- 174-6810-00
- USB 3.0ケーブル(2m)、A-A接続、ネジ・ロック
トラッキング・ジェネレータのアクセサリ
/RSA600シリーズ用のトラッキング・ジェネレータをオプションのケーブル、アンテナ測定ソフトウェアで使用する場合、さまざまな位相安定ケーブルが用意されています。
校正キットは、VSWR、ケーブル損失、障害位置(DTF)の測定に対応したSV60アプリケーションを使用するときに、トラッキング・ジェネレータの精度をさらに改善するのに使用できます。
これらの位相安定ケーブルは、7.5GHzで±2℃という優れた位相安定度を備えた高性能ケーブルであり、リターン・ロスは-20dB未満です。速度定数は0.78です。7.5GHzにおける損失は、それぞれ-1.05dB(0.6m)、-1.61dB(1.0m)、-2.30dB(1.5m)未満です(すべて公称値)。

- 校正キット
- Spinnerから入手できる推奨校正キット https://products.spinner-group.com/rf/test-measurement/vna-test-measurement
- 位相安定ケーブル
- 012-1745-00
- タイプN(m) - タイプN (f)、5 ft または 1.5 m
- 012-1746-00
- タイプN(m) - タイプN(m)、5 ft または 1.5 m
- 012-1747-00
- タイプN(m) - 7/16(f)、60 cm (23.6 in.)
- 012-1748-00
- タイプN(m) - 7/16(f)、3.28 ft または 1 m
- 012-1749-00
- タイプN(m) - 7/16(f)、5 ft または 1.5 m
- 012-1750-00
- タイプN(m) - 7/16(m)、3.28 ft または 1 m
- 012-1751-00
- タイプN(m) - 7/16(m)、5 ft または 1.5 m
- 012-1752-00
- タイプN(m) - 7/16(m)、60 cm (23.6 in.)
- 012-1753-00
- タイプN(m) - DIN 9.5(f)、60 cm (23.6 in.)
- 012-1754-00
- タイプN(m) - DIN 9.5(f)、3.28 ft または 1 m
- 012-1755-00
- タイプN(m) - DIN 9.5(f)、5 ft または 1.5 m
- 012-1756-00
- タイプN(m) - DIN 9.5(m)、3.28 ft または 1 m
- 012-1757-00
- タイプN(m) - DIN 9.5(m)、5 ft または 1.5 m
- 012-1758-00
- タイプN(m) - DIN 9.5(m)、60 cm (23.6 in.)
- 012-1759-00
- タイプN(m) - TNC(f)、3.28 ft または 1 m
- 012-1760-00
- タイプN(m) - TNC(f)、5 ft または 1.5 m
- 012-1761-00
- タイプN(m) - TNC(f)、60 cm (23.6 in.)
- 012-1762-00
- タイプN(m) - TNC(m)、60 cm (23.6 in.)
- 012-1763-00
- タイプN(m) - TNC(m)、3.28 ft または 1 m
- 012-1764-00
- タイプN(m) - TNC(m)、5 ft または 1.5 m
- 012-1765-00
- タイプN(m) - タイプN(f)、60 cm (23.6 in.)
- 012-1766-00
- タイプN(m) - タイプN(f)、3.28 ft または 1 m
- 012-1767-00
- タイプN(m) - タイプN(m)、3.28 ft または 1 m
- 012-1768-00
- タイプN(m) - タイプN(m)、60 cm (23.6 in.)
- 012-1769-00
- タイプN(m) - タイプSMA(f)、60 cm (23.6 in.)
- 012-1770-00
- タイプN(m) - タイプSMA(f)、3.28 ft または 1 m
- 012-1771-00
- タイプN(m) - タイプSMA(f)、5 ft または 1.5 m
- 012-1772-00
- タイプN(m) - タイプSMA(m) 60 cm (23.6 in.)
- 012-1773-00
- タイプN(m) - タイプSMA(m)、3.28 ft または 1 m
- 012-1774-00
- タイプN(m) - タイプSMA(m)、5 ft または 1.5 m








