
Contact us
Call
Call us at
Available 6:00 AM – 5:00 PM (PST) Business Days
Download
Download Manuals, Datasheets, Software and more:
Feedback
SDH/PDH and Jitter/Wander Test Set
CTS850

CTS850
Features and Benefits
- STM-0, STM-1, and STM-4 Transmit and Receive
- STM-16 Transmit and Receive (with ST2400A)
- VC4-4c Concatenated Payload Testing
- 2, 8, 34, and 140 MBps PDH Mux/Demux with N/M × 64 Kbps Testing
- 45 MBps (DS3) Mapping/Demapping
- Complete Jitter and Wander Tests at All Equipped Line Rates from 2 MBps to 622 MBps in One Option Plus 45 MBps. Exceeds New ITU-T O.172 Requirements
- Real-Time Wander Analyst Application Software for MTIE, TDEV, Frequency Offset, and Drift-Rate Measurements
- Performance Analysis per G.821, G.826, G.827, M.2100, and New M.2101.1
- Full-Band Jitter Measurements to 0.1 Hz with Variable Highpass Cutoff Frequencies
- Pointer Analysis and Test Sequences per G.783
- SDH/PDH Defect Generation and Analysis
- Manipulation of K1/K2 Bytes for MSP/APS Testing
- Field-interchangeable 1310 nm and 1550 nm Optical Interfaces
- AutoScan with Graphical Display of Signal Format and Payload
- Histogram Results, Correlated Alarms, Defects, Errors, and Events to 1-Second Resolution
- Pass/Fail Tests Saved and Recalled by Using a Floppy Disk
- Exclusive New Measurements for Digital Video Network Characterization
Applications
- Network Integrity Testing
- Mapping/Demapping
- MSP/APS Testing
Supports New ITU-T O.172 Conformance Test Set
The CTS850 is a versatile analyzer for Broadband Network Testing. It has a powerful, yet uncomplicated, menu structure which allows both the novice and expert user to accurately configure measurements on SDH and PDH networks very quickly. All measurement connections are conveniently located directly on the front panel close to the signal status LEDs and easy-to-read display.
A field-interchangeable optical module and a floppy disk drive for retrieval of stored setups and results complete the front-panel layout to create a "field-friendly" instrument.
SDH/PDH/Jitter and Wander Testing
The CTS850 creatively addresses growing concerns surrounding hybrid SDH/PDH networks in the area of timing and synchronization. Its industry-leading, DSP-based, Jitter and Wander measurement capability provides a high 300 UI jitter measurement range, handles all line rates from 2 MBps to 622 MBps through existing front-panel connectors and introduces exclusive new measurements for digital video services.
The CTS850 unlocks the power of the SDH frame structure by combining bit error testing with overhead analysis and payload mapping and demapping. It provides read/write access to overhead bytes, DCC add/drop, and complete G.783 pointer test sequences.
The CTS850 is optimized for installation and maintenance of both current and future SDH networks. Additional functionality, reflecting evolving standards such as new O.172, can be downloaded through the built-in disk drive.
One of the CTS850's many powerful functions is error analysis and display. In addition to simple error counts and rate determination, the CTS850 makes measurements according to G.821, G.826, G.827, and new M.2101.1 performance analysis and M.2100 error analysis so that network quality of service can be fully verified in or out of service.
Histograms boost the power of error analysis by enabling an easy correlation of time-critical events. Thus, time-consuming searches through long strips of error printouts are eliminated, freeing you to spend time fixing problems, not finding the cause.
PDH Testing
Many networks have evolved from PDH to include SDH rings and long-distance, high-capacity trunks. The PDH network segments are commonly retained for access, service delivery, and economic reasons. The CTS850 Opt. 38, PDH Tributary card provides features for testing and accessing PDH subrates from 140 MBps, 34 MBps, 8 MBps, 2 MBps, down to N/M × 64 Kbps. Additional PDH test features also include simultaneous multilayer G.826, M.2100 results, Round Trip Delay, Voice Channel Monitor, and Burst FAS Errors.
This option also empowers the CTS850 with mapping and demapping of 2, 34, and 140 MBps payloads in virtual containers and testing of TU-12, TU-3 and AU-4 overheads, making it ideal for testing hybrid networks.
Jitter and Wander Testing
To support current and emerging ITU-T and ETSI standards, CTS850 Opt. 14 for Jitter and Wander provides the most comprehensive, easy-to-use measurements for both SDH and PDH equipment and networks.
The CTS850 is the first test set to fully conform to the requirements of the new ITU-T O.172 (Jitter/wander test for SDH networks). So for the first time, measurements of pointer jitter can be made reliably and accurately. Widely variable results are a thing of the past.
With its wide-ranging and comprehensive generation, analysis, pointer movement, automated jitter output, transfer, and tolerance testing, the CTS850 is the complete solution for your current and future test requirements.
Also included in Opt. 14 is Real-Time Wander Analyst application software for MTIE and TDEV parameter analysis. Now you can fully test and qualify the timing and synchronization of your new SDH/PDH equipment and networks. Jitter history histograms can be correlated with simultaneously-acquired Wander TIE data so troublesome conditions can be quickly diagnosed.
Video Service Performance and 45 MBps Mapping and Demapping
Digital video services demand a more stringent level of SDH/PDH timing and synchronization performance than many other services. The CTS850 Opt. 14 provides exclusive new measurements at the network interface to assess video service performance. Also, CTS850 Opt. 55, provides the ability to test 45 MBps Mapping and Demapping, including Jitter and Wander testing, to bring the CTS850's advanced benefits to Video Service Measurement.
Flexible and Easy-to-Use
|
Feature |
Benefit |
|---|---|
|
Graphical display of AU/TU payload and alarms (AutoScan) |
Provides the fastest signal identification. Allows quick identification of incorrect provisioning and easy location of the customer's signal path. |
|
Pass/fail tests can be created, stored, and executed in the field |
Ensures a uniform test methodology in an increasingly diverse network. Allows faster installation and responsive maintenance. |
|
3.5-in. floppy disk drive |
Distribute firmware updates in the field. Archive pass/fail tests and test results. Document operating- and result-screen bitmaps. |
|
Measurement histograms with up to 1-second resolution |
Allows visual presentation of measurement results to customers. Correlate alarms, errors, pointer movements, etc. |
|
Cleanly structured menu system |
Enables all users (technicians, experts and occasional users) to be immediately productive. |
|
Large, bright CRT user interface |
Easy-to-see in low lighting conditions. Histogram resolution is clearly visible. |
SDH Testing
|
Feature |
Benefit |
|---|---|
|
STM-0, STM-1, and STM-4 Transmit and Receive |
STM-0 (51 MBps) is becoming more prevalent in radio links/ subsystems and SDH access systems. |
|
STM-16 Transmit and Receive (with ST2400A) |
Test STM-1/4 payloads in STM-16 ring. |
|
Performance analysis to G.821, G.826, and new M.2101.1, M.2100 error analysis on all SDH/PDH layers simultaneously |
Simplified testing for correct error performance compliance on both in-service and out-of-service systems. |
|
Pointer test sequences exceed requirements of G.783 |
Thoroughly stress the margins of equipment performance. |
|
SDH/PDH defect generation and analysis |
Verify correct network response at all layers. |
|
Set and detect K1/K2 bytes. Generate linear and ring messages to G.841 and G.783. |
Send standard network messages and monitor network response. Verify protection switching system. |
|
Interchangeable 1310 nm and 1550 nm optical interfaces |
Swap between Long Haul/Short Haul trunk testing. |
|
VC4-4c testing for concatenated payloads |
Efficiently qualify transport of concatenated 622 MBps data for IP and ATM applications. |
45 MBps (DS3) Testing
|
Feature |
Benefit |
|---|---|
|
45 MBps (DS3) Mapping/Demapping and Jitter/Wander Testing |
Focus on new 45 MBps services and video quality testing. Complete set of jitter and wander conformance tests with specification limits. |
PDH Testing
|
Feature |
Benefit |
|---|---|
|
Test 2, 8, 34, 140 MBps directly at each line rate |
Make traditional PDH measurements when necessary. |
|
Map unique test patterns into TU-12, TU-3, and AU-4 containers |
Verify correct provisioning and payload integrity. |
|
Test PDH signals dropped from SDH rates |
Monitor PDH services to verify tariffed performance. |
|
Add/Drop external 2, 34, and 140 MBps signals to/from SDH containers and induce timing impairments. |
Generate SDH test signals using customer-generated PDH traffic. Add pointer sequences, test pointer hit tolerance of terminals and desynchronizers. |
|
Mux/Demux N/M × 64 Kbps and subrate PDH signals into/out of higher-speed PDH signals |
Verify correct PDH multiplexer/demultiplexer service configuration for data and video conferencing. |
|
Round trip delay testing |
Measure round-trip delay for data and voice services. |
|
2 MBps Channel-Associated Signaling |
Verify channel-busy occupancy and utilization. |
Jitter/Wander Testing
|
Feature |
Benefit |
|---|---|
|
Exceeds new ITU-T O.172 |
Fully conforms with requirements of new ITU-T O.172 (jitter/wander test sets for SDH networks). DSP engine provides precise measurement filter characteristics - unlike previous O.171 test sets, pointer jitter is reliably and accurately measured. |
|
SDH/PDH Jitter and Wander testing from 2 to 622 MBps. |
Most complete solution in one option supports installed interfaces for both generation and analysis (including 45 MBps). |
|
Automatic built-in conformance tests for output jitter, jitter tolerance, jitter transfer, pointer jitter |
Perform all standard ITU-T SDH/PDH equipment and network jitter/wander tests with quick, simple pass/fail tests. Supports G.783, G.823, G.824, G.825, G.958, G.735, and G.751 specifications. |
|
New Video Timing Quality measurements: Frequency drift-rate (ppm/sec) |
Allows characterization of SDH networks for video applications. Correlate SDH pointer activity with video subcarrier and Hsync drift. |
|
DSP Jitter and Wander measurement technology. |
Standards requirements can easily be updated in firmware and distributed on a floppy disk. Measurements are more repeatable and reliable between two test sets. Allows existing customers' test sets to be firmware-upgraded to support new O.172. |
|
Combined mapping and pointer jitter testing function |
Allows testing of tributary jitter caused by G.783 SDH pointer test sequences together with PDH mapping frequency offset. |
|
Up to 100,000 UI wander and 300 UI jitter generation ranges exceed requirements of G.823, G.824, G.825, and new O.172 |
Enables full margin testing of low-frequency jitter/wander and full input tolerance testing. |
|
300 UI jitter measurement range allows measurement of Pointer Hits |
Test set stays in lock, identifies/logs Pointer Hits on PDH service when dropped from SDH network. |
|
SDH/PDH line/clock wander and frequency measurement on all installed interface rates |
Allows diagnosis of network synchronization problems in the field. |
|
Full set of standard measurement filters in conformance with new O.172 plus measurements to 0.1 Hz |
Ensures reliable and accurate measurements of pointer jitter, improves accuracy of line jitter measurements. Full-band jitter measurement (down to 0.1 Hz) allows characterization of phase transients that affect video, ATM, and PDH service quality. |
|
MTIE and TDEV wander parameter analysis |
Real-Time Wander Analyst software provides pass/fail testing to the most recent ITU-T, ETSI, ANSI, and Bellcore standards. Also provides frequency-offset and drift-rate analysis. |
Conformance to ITU-T new O.172 and O.171
ITU-T New O.172
New O.172 provides requirements for SDH Jitter and Wander test sets and also new requirements for PDH tests, where necessary.
The prime purpose of new O.172 is to improve accuracy and consistency of Jitter and Wander measurements between different units.
A special focus is the accurate and reliable measurement of pointer jitter. Only test sets conforming with O.172 can provide the minimum acceptable performance level.
New O.172, together with O.171, recommendations establish test-set requirements for:
- Jitter and Wander generation
- Jitter measurement ranges and accuracy
- Jitter measurement filters and frequency response
- Wander measurement filters and Wander measurement accuracy
ITU-T O.171 Only
Legacy O.171 provides requirements for PDH Jitter test sets.
O.171 is not sufficient for SDH tributary test. This is because pointer jitter testing has new requirements;
The main limitations are:
- The measurement range is only 10 UI so overload can easily occur.
- The measurement filter accuracy is not specified so results can vary widely.
- As a consequence, the measurement error is too high.
O.171 test sets are unable to guarantee reliable and accurate pointer jitter measurements. Therefore it is important for users to ensure that test sets conform to new O.172.
The Tektronix CTS850 is the first Jitter and Wander test set to meet the new requirements of ITU-T O.172 (together with O.171).
CTS850 performance easily exceeds O.172 with modern DSP-based Jitter and Wander measurement technology (old analog techniques typically provide less performance).
CTS850 Jitter and Wander option conforms to O.172 and O.171, specific examples include:
- Wander generation of 100,000 UI exceeds the specified minimum requirement of 14,400 UI (STM-4).
- Jitter measurement range of 6 and 300 UI exceeds the specified minimum requirement of 200 UI (STM-4).
- Jitter measurement filter accuracy of better than 10% exceeds the specified minimum requirements of 10% (O.172).
- Jitter measurement filter performance to less than 0.1 Hz exceeds the tolerance requirements of O.172.
Characteristics
SDH Generator Output
Electrical Output -
Data Rates:
STM-0: 51.84 MBps
STM-1: 155.52 MBps
Data Formats:
STM-0E: B3ZS
STM-1E: CMI
Signal Level at Transmit Output:
STM-0E: ±1.0 Vpk ±10% into 75 Ohm
STM-0E: (-6 dB)
STM-0E output: attenuated with 6 dB cable loss (-12.7 dB square-root f characteristic cable)
STM-1E: ±0.5 Vpk ±10% into 75 Ohm
STM-1E(-6 dB): STM-0E output attenuated with 6 dB cable loss (-12.7 dB square-root f characteristic cable)
Pulse Shape at Transmit Output:
Meets ITU-T G.703 Pulse Masks.
Return Loss: >15 dB
Connectors:
Unbalanced BNC, 75 Ohm to ground.
Opt. 11: 1.6/5.6, 75 Ohm to ground.
Optical Output -
Data Rates:
STM-0: 51.84 MBps
STM-1: 155.52 MBps
STM-4: 622.08 MBps
Optical Module Options:
Opt. 01: Electrical only, STM-0/1E
Opt. 03: 1310 nm, IR, STM-0/1
Opt. 04: 1310 nm, IR, STM-0/1/4
Opt. 05: 1550 nm, LR, STM-0/1/4
Opt. 06: 1310/1550 nm, STM-0/1/4
Signal Level and Wavelength:
1310 nm: -10 dBm, typical (Opt. 03, 04, 06)
1550 nm: 0 dBm, typical, (Opt. 05, 06)
Pulse Shape:
Meets ITU-T G.957 Eye Pattern Masks.
Wavelength:
1308 nm, typical (Opt. 03, 04, 06)
1550 nm, typical (Opt. 05, 06)
Spectral Width:
1310 nm: <4 nm (Opt. 03, 04, 06)
1550 nm: <1 nm (Opt. 05, 06)
Laser Classification:
EN60825-1 (Class 1), 21CFR1000 (Class I)
Connectors:
User-selectable when ordering –
Opt. 31: FC-PC
Opt. 32: ST
Opt. 33: SC
Opt. 34: DIN
Other connector types - consult factory
SDH Signal Structure
Payload -
Payload Channel (AU):
Concatenated VC4-4c signal in STM-4
One active AU-3 in STM-0
One active AU-4 in STM-1
One active AU-4 in STM-4
(other 3 channels unequipped)
Unequipped Payload -
C2 byte is set to 00.
Bulk fill set to 00.
SDH Internal Pattern Generator
Patterns -
Bulk Fill in a selected AU channel.
(AU-3 or AU-4)
PRBS: 29-1, 215-1, 220-1, 223-1; All 1s, All 0s, 8-bit programmable word.
PRBS patterns can be inverted.
RSOH Orderwire - E1
RSOH User Byte - F1
MSOH Orderwire - E2
POH User Byte - F2
DCC Bytes - D1-D3
DCC Bytes - D4-D12
PRBS: 215-1; 220-1; 223-1
PRBS patterns can be inverted.
Error Types and Insert Rates -
Single or Continuous.
RS BIP B1
STM-0: 1.0e-3 to 1.0e-10
STM-1: 1.0e-4 to 1.0e-10
STM-4: 1.0e-5 to 1.0e-10
MS BIP B2
STM-0: 1.0e-3 to 1.0e-10
STM-1/4: 1.0e-4 to 1.0e-10
Path BIP B3
STM-0: 1.0e-3 to 1.0e-10
STM-1/4: 1.0e-4 to 1.0e-10
HP-REI G1
STM-0: 1.0e-3 to 1.0e-10
STM-1/4: 1.0e-4 to 1.0e-10
Payload (Pattern Bit Error)
1.0e-3 to 1.0e-10
Defects -
LOS, LOF, LSS (Pattern Loss).
RS-TIM, MS-AIS, MS-RDI, AU-LOP, AU-AIS, HP-RDI, HP-TIM, HP-PLM, HP-UNEQ, LP-RDI, LP-RFI, LP-TIM, LP-UNEQ, LP-PLM, TU-AIS.
SDH Transmitter Clock
Internal Clock Accuracy - ±4.6 ppm, for instrument calibrated within 36 months
External Clock Reference -
Rates:
2.048 MBps ±50 ppm
2.048 MHz ±50 ppm
1.544 MBps ±50 ppm
Input:
Unbalanced, 75 Ohm, BNC connector
G.703 signal format
Recovered Clock:
Loop timing
Clock is recovered from received signal
Transmit Line Frequency-Offset Rate -
±100 ppm of nominal line rate
Resolution: 0.1 ppm
SDH Receiver Input
Electrical Input -
Data Rates:
STM-0: 51.84 MBps ±100 ppm
STM-1: 155.52 MBps ±100 ppm
Data Formats:
STM-0E: B3ZS
STM-1E: CMI
Signal Sensitivity/Equalization:
STM-0E: 0.5 Vpk min to 1.2 Vpk max
STM-0E -6 dB*1: 0.25 Vpk min to 0.6 Vpk max
STM-0E -12dB*2: 0.125 Vpk min to 0.35 Vpk max
STM-0E Monitor: 20 dB of flat loss below -6 dB
STM-1E: 0.35 Vpk min to 0.6 Vpk max
STM-1E -6 dB*3: 0.35 Vpk min to 0.6 Vpk max
STM-1E -12 dB*4: 0.07 Vpk min to 0.3 Vpk max
STM-1E Monitor: 26 dB of flat loss below STM-1E level
*1 -6 dB cable loss at 25 MHz (-12.7 dB square-root f characteristic cable)
*2 -12 dB cable loss at 25 MHz (-12.7 dB square-root f characteristic cable)
*3 -6 dB cable loss at 78 MHz (-12.7 dB square-root f characteristic cable)
*4 -12 dB cable loss at 78 MHz (-12.7 dB square-root f characteristic cable)
Signal Level Display:
Readout for: Electrical signal level in mV
Return Loss: >15 dB
Connectors:
Unbalanced BNC, 75 Ohm to ground
Opt. 12 - 1.6/5.6, 75 Ohm to ground
Optical Input -
Data Rates:
STM-0: 51.84 MBps (±100 ppm)
STM-1: 155.52 MBps (±100 ppm)
STM-4: 622.08 MBps (±100 ppm)
Maximum Input Power:
-7 dBm: Opt. 05 and 06 include a 10 dB attenuator for use at 1550 nm
Operating Wavelength:
1310 nm and 1550 nm: 1100 nm to 1570 nm operating range
Signal Sensitivity: -28 dBm for BER <10-10
Optical Power Meter Accuracy:
±2 dBm, typical: For input power in a range of -30 dBm to -6 dBm. Resolution 0.1 dBm.
Connectors:
User-selectable when ordering –
Opt. 31: FC-PC
Opt. 32: ST
Opt. 33: SC
Opt. 34: DIN
Other connector types - consult factory
Through Mode:
Monitors a selected channel while passing the signal through unchanged, both electrical and optical.
Section Overhead
Access -
Set overhead bytes to any value from binary 00000000 to 11111111: A1, A2, J0, E1, F1, D1 to D3, D4 to D12, K1, K2, S1, M1, E2.
View all Section Overhead bytes.
Clear text decode of S1 message byte provided per G.707.
Add/Drop -
Orderwire Access to E1 or E2 byte from RJ11 jack.
Insert data from the Overhead Add/Drop connector into the Section DCC, Line DCC, E1, E2, or F1 user byte.
Drops data from the Section DCC, Line DCC, E1, E2, or F1 user byte out to the Overhead Add/Drop connector.
PRBS evaluation is provided internally for bytes E1, E2, F1, F2, D1 to D3, D4, to D12.
K1 and K2 (APS) -
Set the APS Bytes, K1 and K2, to any code defined in ITU-G.783 Annex A and G.841.
Selectable by clear text for all Span and Ring messages.
Path Overhead
Access -
Set Path Overhead bytes to any value from binary 00000000 to 11111111: C2, G1 (bits 5 to 7 only), F2, H4 (bits 1 to 6 only), F3, K3, N1.
View all Path Overhead bytes.
Clear text decode of C2 signal label per ITU-G.707.
Path Label Mismatch (PLM) and Unequipped (UNEQ) detection.
Add/Drop -
Insert data from the Overhead Add/Drop connector into the F2 user byte.
PRBS can be used through F2 internally.
Trace Bytes J1, J0 -
J1 HP-Trace: VC4 Overhead - User-defined 15-byte with CRC, or 64-byte formats per ITU-T G.707.
J0 RS-Trace: User-defined 15-byte with CRC per ITU-T G.707.
Pointer Movement
Single - Single pointer justification.
Burst - Bursts of two to eight pointer justifications spaced four frames apart. All adjustments within a given burst are in the same direction. Subsequent bursts are in alternating directions.
Continuous - Pointer justifications occur continuously at a predetermined rate in an incrementing, decrementing, or alternating direction. Rate between movements: 2 ms to 10 s, with a resolution of 1 ms.
Set to Value - Set to a new location with or without the NDF being set. Range is 0 to 1023 (783 to 1023 are illegal locations).
Pointer Test Sequences
AU and TU Pointer sequences available:
G.783(a) Single Alternating
G.783(b) Regular + Double
G.783(c) Regular + Missing
G.783(d) Double Alternating
G.783(e) Single
G.783(f) Burst
G.783(g1) Periodic 87-3
G.783(g2) Periodic 87-3 With Add
G.783(g3) Periodic 87-3 With Cancel
G.783(h1) Periodic
G.783(h2) Periodic with Add
G.783(h3) Periodic with Cancel
Phase Transient Pointer Adjustment Burst.
Pointer Direction - Positive or Negative.
Initialization Period -
On or Off.
30-second burst of 1 pointer per second in the same direction as the selected test, per ITU-T G.783.
Cooldown Period -
On or Off.
This will last at least 60 seconds, for an integral number of complete sequences, per ITU-T G.783.
Combined Jitter -
Simultaneous PDH mapping frequency offset with ITU-T G.783 Pointer Sequences generation.
To enable the measurement of combined mapping and Pointer Jitter.
SDH Measurements
SDH Anomalies - Error Count, Error Rate, and Errored Seconds for: B1, B2, B3, TU Path BIP, Payload, MS-REI, HP-REI, LP-REI.
Network Defects (Seconds) - LOS, LSS (Pattern Loss), CTS Loss of AC Power.
SDH Defects (Seconds) - RS-TIM, MS-AIS, MS-RDI, AU-AIS, AU-LOP, HP-RDI, HP-TIM, HP-UNEQ, HP-PLM, LP-RDI, LP-RFI, LP-TIM, LP-UNEQ, LP-PLM, TU-AIS.
AU Pointer Measurements - NDF Sec., Illegal Sec., +Ve Just. Count, -Ve Just. Count, Illegal Count, NDF Count, Pointer Value.
G.826 Error Analysis -
RS B1, MS B2, Path B3, AU-LOP, AU-AIS, HP-REI, HP-TIM, HP-PLM, HP-UNEQ, LP-REI, LP-TIM, LP-UNEQ, TU-LOP, TU-AIS Seconds and ratio.
Errored Blocks, ES, %ES, SES, %SES, UAS, %UAS, CSES Periods, Background Block Errors, %Background Block Error, Path UAS, %Path UAS.
G.826 Performance Analysis -
Performance analysis performed as per user settable allocation percentage for SDH and PDH.
Regeneration Section, Multiplex Section, high- and low-order path layers are individually evaluated.
Analysis Results: Pass or Fail.
G.821 Analysis -
Pattern Bit Seconds and % of total time.
Error-Count, ES, DM, SES, UAS, EFS.
M.2101.1 Error Analysis -
B1, B2, B3, RS-TIM, MS-REI, MS-RDI, MS-AIS, AU-AIS, AU-LOP, HP-REI, HP-TIM, HP-UNEQ, HP-PLM, HP-RDI, LP-REI, LP-TIM, LP-UNEQ, LP-PLM, LP-RDI, LOS, OOF, TU-LOM, TU-AIS, TU-LOP, TU-BIP.
Errored Blocks, ES, %ES, SES, %SES, CSES, UAS, %UAS, Background Block Errors, %Background Block Error, Path UAS, %Path UAS.
M.2101.1 Performance Analysis -
Test Types:
BIS (Bring Into Service).
PAR (Performance After Repair).
MAINT (Maintenance).
Custom (User Controls Performance Limits).
Automated Test types allow Performance Analysis for Regeneration Section, Multiplex Section, high- and low-order path layers based upon user-settable allocation percentage.
Custom test type allows the user to select the performance objective limits.
Analysis Results:
Acceptable, Provisional/Degraded, or Unacceptable.
SDH Standards Compliance
SDH Framing - G. 707
SDH Multiplexing - G.707
SDH Optical Interfaces - G.957
SDH Electrical Interfaces - G.703
SDH Jitter Tolerance - G.825, G.958, O.172
SDH Pointer Sequences - G.783
SDH Error Analysis - G.826, G.821
SDH Performance Analysis - M.2101.1
SDH Test Patterns - O.181, O.150, O.151
SDH Availability Performance - G.827
CTS850 PDH/DS3 (45 MBps) Tributary Specifications
(Opt. 38 provides PDH Tributaries, Opt. 55 Provides 4DS3 - 45 MBps Mapping/Demapping function.)
2 MBps, 8 MBps, 34 MBps, 140 MBps, and 45 MBps Generator
The data format can be built upon the pattern generator framed or unframed output at the PDH line/mapping rate or upon multiple layers of user-configurable sub-multiplexing. A specific hierarchy of tributaries can be selected and filled with a background pattern.
Electrical Output -
Data Rates:
2 MBps (2.048 MBps)
8 MBps (8.448 MBps)
34 MBps (34.368 MBps)
45 MBps (44.736 MBps)
140 MBps (139.264 MBps)
Formats:
2 MBps, 8 MBps, 34 MBps: HDB3, AMI
45 MBps: HDB3, B3ZS
140 MBps: CMI
Signal Level:
2 MBps: 3 Vpk ±0.3 V into 120 Ohm balanced
2 MBps: 2.37 Vpk ±0.237 V into 75 Ohm
8 MBps: 2.37 Vpk ±0.237 V into 75 Ohm
34 MBps: 1 Vpk ±0.1 V into 75 Ohm
45 MBps:
DS3 High: 0.9 ±0.2 V peak into 75 Ohm
DSX3: 0.36 V to 0.85 V peak into 75 Ohm
140 MBps: 1 Vpk-pk ±0.1 V into 75 Ohm
Pulse Shape:
Meets ITU-T G.703 Pulse Masks
Connectors:
2 MBps: 3-Pin Siemens 120 Ohm
2 MBps, 8 MBps, 34 MBps, 45 MBps, 140 MBps: BNC 75 Ohm
PDH Output -
2 MBps:
Internal Pattern Generator
Configured from N × 64 Kbps
Drop from SDH TU12
Drop from demuxed 8 MBps and above
From 2 MBps input (through mode)
8 MBps:
Internal Pattern Generator
Muxed up from 2 MBps
From 8 MBps input (through mode)
34 MBps:
Internal Pattern Generator
Muxed up from 8 MBps
Drop from SDH TU3
Drop from demuxed 140 MBps
From 34 MBps input (through mode)
45 MBps:
Internal Pattern Generator
Drop from SDH TU3
From 45 MBps input (through mode)
140 MBps:
Internal Pattern Generator
Muxed up from 34 MBps
Drop from SDH VC4
From 140 MBps input (through mode)
2 MBps, 8 MBps, 34 MBps, 45 MBps, and 140 MBps Internal Pattern Generator
Framing -
2 MBps:
Unframed
N × 64 Kbps (with starting TS and range)
FAS (31 channel)
FAS + CRC4 (31 channel)
FAS + MFAS (30 channel)
FAS + CRC4 + MFAS (30 channel)
(G.704, G.737, G.732)
8 MBps:
Unframed
FAS (G.742)
34 MBps:
Unframed
FAS (G.751)
45 MBps:
Unframed
M13 (bulk filled)
C-Bit Parity (bulk filled)
140 MBps:
Unframed
FAS (G.751)
(for PDH Testing Line/Mapped)
Active Channel Patterns in selected measurement channels
N × 64 Kbps:
PRBS 29-1 per O.153
PRBS 211-1 per O.152
PRBS 215-1 per O.151
PRBS 220-1 per O.153
PRBS 223-1 per O.151
All the above may be inverted
All 1s
All 0s
TS Idle
1020 Hz audio tone
2, 8, 34, 45, and 140 MBps:
PRBS 29-1 per O.153
PRBS 211-1 per O.152
PRBS 215-1 per O.151
PRBS 220-1 per O.153
PRBS 223-1 per O.151
All the above may be inverted
All 1s
All 0s
Alternating 1/0
1 in 8
8, 16, and 24 bit
User-Selectable Pattern
Fill Patterns in background nonmeasurement channels
N × 64 Kbps 2 MBps:
TS Idle (55 H)
PRBS 215-1
All 1s
All 0s
Alternating 1/0
8, 34, and 140 MBps:
PRBS 215-1 per O.151
PRBS 220-1 per O.153
PRBS 223-1 per O.151
All of above may be inverted
All 1s
All 0s
Alternating 1/0
Errors - Single, Continuous, Burst (all are mutually exclusive and effective on active channels only)
Error Type -
CRC (2 MBps only):
Min. rate 1.0e-8, max rate 1.0e-4
Parity Bit Error (45 MBps Only):
P-Bit (M13, C-Bit)
CP-Bit (C-Bit)
REI (FEBE) (C-Bit)
Frame Burst (available on any ONE enabled multiplexed level)
(2, 8, 34, 45, and 140 MBps):
N < M < 1000
M = frame count
N = consecutive FAS Error count
Pattern Bit -
|
Payload Pattern bit at active pattern's rate |
Line Code |
|---|---|
|
64 Kbps, min 1.0e-6, max 1.0e-2 |
not applicable |
|
2 MBps, min. 3.0e-8, max. 1.0e-2 |
min. 3.0e-8, max. 1.0e-2 |
|
8 MBps, min. 1.0e-9, max. 1.0e-2 |
min. 1.0e-9, max. 1.0e-2 |
|
34 MBps, min. 1.0e-9, max. 1.0e-2 |
min. 1.0e-9, max. 1.0e-2 |
|
45 MBps, min. 1.0e-9, max. 1.0e-2 |
min. 1.0e-9, max.1.0e-2 |
|
Parity (DS3-P) |
min. 1.0e-9, max. 2.0e-4 |
|
Parity (DS3-CP) |
min. 1.0e-9, max. 2.0e-4 |
|
FEBE (DS3) |
min. 1.0e-9, max. 2.0e-4 |
|
140 MBps, min. 1.0e-9, max. 1.0e-2 |
not applicable |
Alarm Insertion -
2 MBps:
AIS
RDI - NFAS bit 3 = 1
8 MBps:
AIS
RDI - FAS bit 11 = 1
34 MBps:
AIS
RDI - FAS bit 11 = 1
45 MBps:
AIS (set 1010...for information)
RDI (X-Bit = 0)
IDLE (set 1100...for information)
140 MBps:
AIS
RDI - FAS bit 13 = 1
TU12/TU3/VC4 Mapping
Mapping Signal Source for TU12, TU3, and VC4
|
Internal Generator |
Received Signal |
|---|---|
|
2 MBps |
2 MBps |
|
34 MBps |
2, 34 MBps |
|
45 MBps |
45 MBps |
|
140 MBps |
2, 34, 140 MBps |
Mapping mode -
Floating Asynchronous
TU12 Active Map Channel Selection -
Allows selection of any one of 63 TU channels or all TU-12s simultaneously
Remaining 62 TU channels are background
TU3 Active Map Channel Selection -
Allows selection of any one of 3 TU channels or all TU-3s simultaneously
Remaining 2 TU channels are background
140 MBps Active Map Channel Selection -
Into selected STM-1 VC4
TU Background Channels -
TU12 Background Channel Content:
When internal 2 MBps or 34 MBps generator is used:
PRBS: 215-1 or Idle pattern (11010101)
When external source is used:
PRBS: 215-1
TU Background Channel Framing:
Always unframed unless All TUs
TU3 Background Channel Content:
When internal 34 MBps generator is used:
VC3 is a bulk-filled pattern, Valid Pointer, and BIP
Bulk fill data is 01, 02, and 03 for TU3 #1, #2, and #3
TU Error Types (Single or Continuous) -
TU12 BIP-2
TU3 BIP-8
LP-REI
TU Defects -
TU AIS
LP-RDI
TU Loss of Pointer
LP-UNEQ
TU Loss of Multiframe
LP-PLM
LP-RFI
LP-TIM
Transmitter Clock
Transmit Line Frequency Offset -
Frequency offset rate:
2 MBps: ±100 ppm - nominal line rate
8 MBps: ±100 ppm - nominal line rate
34 MBps: ±100 ppm - nominal line rate
45 MBps: ±100 ppm - nominal line rate
140 MBps: ±100 ppm of nominal line rate
Resolution: 0.1 ppm
2 MBps, 8 MBps, 34 MBps, 45 MBps, and 140 MBps Receiver
Electrical Input -
Data Rates:
2 MBps (2.048 MBps), ±150 ppm
8 MBps (8.448 MBps), ±150 ppm
34 MBps (34.368 MBps), ±150 ppm
45 MBps (44.736 MBps), ±150 ppm
140 MBps (139.264 MBps), ±150 ppm
Formats -
2 MBps: HDB3, AMI
8 MBps: HDB3, AMI
34 MBps: HDB3, AMI
45 MBps: HDB3, B3ZS
140 MBps: CMI
Impedance -
2 MBps: 120 Ohm balanced
2 MBps Bridged: 1 kilohm balanced
2 MBps, 8 MBps, 34 MBps, 45 MBps, 140 MBps: 75 Ohm unbalanced
PDH Receive Signal Level -
ITU-T G.703 nominal pulse and signal level
Normal: Auto equalization of square-root f cable loss to ITU-T G.703 limits*1
2 MBps Bridged: Auto equalization of square-root f cable loss to ITU-T G.703 limits*2
Protected Monitor Point -20 dB: -15 to -23 dB flat loss
Protected Monitor Point -30 dB: -23 to -31 dB flat loss
*1 2 MBps and 8 MBps square-root f cable loss = 6 dB max
*1 34 MBps and 140 MBps square-root f cable loss = 12 dB max
*2 2 MBps Bridged only specified for 120 Ohm-balanced cable
Connectors -
2 MBps: 3-Pin Siemens 120 Ohm
2 MBps, 8 MBps, 34 MBps, 45 MBps, and 140 MBps: BNC 75 Ohm
2 MBps, 8 MBps, 34 MBps, 45 MBps, 140 MBps Internal Pattern Receiver
Pattern Receiver Source -
N/M × 64 Kbps and 2 MBps:
2 MBps External
SDH TU12 Drop
Demuxed 8 MBps and above
8 MBps:
8 MBps External
Demuxed 34 MBps
34 MBps:
34 MBps External
SDH TU3 Drop
Demuxed 140 MBps
45 MBps:
45 MBps External
SDH TU3 Drop
140 MBps:
140 MBps External
SDH VC4 Drop
Framing -
N/M × 64 Kbps and 2 MBps:
Unframed
FAS (31 channel)
FAS + CRC4 (31 channel)
FAS + MFAS (30 channel)
FAS + CRC4 + MFAS (30 channel)
(G.704, G.737, G.732)
8 MBps:
Unframed
FAS (G.742)
34 MBps:
Unframed
FAS (G.751)
45 MBps:
Unframed
M13 (bulk filled)
C-Bit parity (bulk filled)
140 MBps:
Unframed
FAS (G.751)
CAS (Signaling in TS 16) -
Bits displayed: a, b, c, d
VFchan.: 1 to 30
Value displayed: 1 or 0
TU12/TU3/VC4 Demapping
Demapping TU12, TU3, and VC4 Signal Drop to:
|
Internal Receiver |
External Signal Output |
|---|---|
|
2 MBps |
2 MBps |
|
34 MBps |
34 MBps |
|
45 MBps |
45 MBps |
|
140 MBps |
140 MBps |
Demapping mode -
Floating Asynchronous
TU12 Active Demap:
Channel Selection - Allows selection of any one of 63 TU channels
TU3 Active Demap (either 34 MBit/s or 45 MBit/s):
Channel Selection - Allows selection of any one of 3 TU channels
140 MBps Active Demap Channel from selected STM-1 VC4
TU Path Overhead
TU12 Path Overhead Access -
Set Path Overhead bytes to any value from binary 00000000 to 11111111:
N2 and K4
V5 control (----xxx-) (bits 5-7 only)
View all TU Path Overhead bytes
TU3 Path Overhead Access
Set Path Overhead bytes to any value from binary 00000000 to 11111111: (set G1 bits 5 to 7 only)
C2, F3, K3, N1 (H4 bits 1 to 6 only)
View all TU Path Overhead bytes
Path Label Mismatch (C2) and Unequipped Detection
TU3 Path Trace Byte J1 -
Send user-defined 15-bytes and CRC sequence or set to all "space" characters
View Path Trace J1
TU12 Path Trace Byte J2 -
Send user-defined 15-byte and CRC sequence or set to 00000000 (Null)
View Path Trace J2
TU Pointer Measurement
TU Pointer Interaction.
TU12, TU3, or AU4, but not at same time.
Single - Single pointer justification (increment or decrement).
Burst - Bursts of two to eight pointer justifications spaced four multiframes apart. All adjustments within a given burst are in the same direction. Subsequent bursts are in alternating directions.
Continuous - Pointer justifications occur continuously at a predetermined rate in an incrementing, decrementing, or alternating direction. Rate between movements: 48 ms to 10 s, with a resolution of 1 ms.
Set to Value -
Set to a new location with or without the NDF being set.
TU12 Range is from 0 to 1023 (140 to 1023 are illegal locations).
TU3 Range is from 0 to 1023 (783 to 1023 are illegal locations).
TU Pointer sequences available:
G.783(a) Single Alternating
G.783(b) Regular + Double
G.783(c) Regular + Missing
G.783(d) Double Alternating
G.783(e) Single
G.783(f) Burst
G.783(g1) Periodic 87-3
G.783(g2) Periodic 87-3 With Add
G.783(g3) Periodic 87-3 With Cancel
G.783(h1) Periodic
G.783(h2) Periodic with Add
G.783(h3) Periodic with Cancel
Phase Transient Pointer Adjustment Burst:
TU-3 Periodic 85-5
TU-3 Periodic 85-5 With Add
TU-3 Periodic 85-5 With Cancel
TU-12 Periodic 35-1
TU-12 Periodic 35-1 With Add
TU-12 Periodic 35-1 With Cancel
Pointer Direction - Positive or Negative.
Initialization Period -
On or Off.
30-second burst of 1 pointer per second in the same direction as the selected test, per ITU-T G.783.
Cooldown Period
On or Off.
This will last at least 60 seconds, for an integral number of complete sequences, per ITU-T G.783.
PDH and TU Measurements
PDH Error Count, Error Rate, and Error Seconds for -
FAS
CRC-4 (2 MBps only)
Pattern Bit
Code violation
DS3 Frame Bit Error, DS3 Parity (P-Bit), DS3 Parity (CP-Bit), DS3 REI(FEBE)
TU Error Count, Error Rate, and Error Seconds for -
TU12 BIP-2
TU3 BIP-8
LP-REI
PDH Defect Seconds for -
AIS
RDI
Loss of Sync Sequence (LSS)
Loss of Frame (FAS)
Loss of Signal
Loss of Power
DS3 AIS, DS3 RDI, DS3 IDLE
TU Defect Seconds for -
TU AIS
LP-RDI
LP-TIM
LP-RFI
LP-UNEQ
LP-PLM
TU-LOP
TU-LOM
TU Pointer Measurements
|
Seconds: |
Count: |
|---|---|
|
LOP |
Illegal pointers |
|
Illegal pointers |
Positive justifications |
|
NDF |
Negative justifications |
G.826 Analysis for TUs -
TU12 BIP-2, TU3 BIP-8, REI
Seconds and ratio
Errored Blocks, ES, %ES, SES, %SES, UAS, %UAS, CSES Periods, Background Block Errors, %Background Block Errors, Path UAS, %Path UAS, Verdict Analysis
TU3 BIP-8 and HP-REI -
Seconds and ratio
Errored Blocks, ES, %ES, SES, %SES, UAS, %UAS, CSES Periods, Background Block Errors, %Background Block Error, Path UAS, %Path UAS, Verdict Analysis
G.821 Analysis for PDH -
PDH Frame and CRC-4 Errors, Seconds and Ratio
Errored Blocks, ES, %ES, SES, %SES, UAS, %UAS, CSES period, BBE, %BBE, Path UAS, %Path UAS, Verdict Analysis
Payload (Pattern Bit Errors) -
Seconds and % of total time
Error-Count, ES, SES, UAS, EFS, DM
M.2100 Analysis for PDH -
In-Service Seconds and % of total time: ES, SES, UAS, EFS, Path UAS
Out-of-Service Seconds and % of total time: ES, SES, UAS, EFS, Path UAS
G.826 Analysis of PDH -
(Near End and Far End)
In service for selected rate*1:
ES, %ES, SES, %SES, UAS, %UAS, CSES, Errored Blocks, Background Block Errors, %Background Block Error, Path UAS, %Path UAS
For remote-selected rate*1:
ES, %ES, SES, %SES, UAS, %UAS, PUAS, %PUAS
*1 (within channel(s) under test at all enabled MUX levels)
Verdict Analysis
PDH Standards Compliance
PDH Mapping/Demapping - G.707
PDH Line Interfaces - G.703
PDH Jitter Tolerance - G.823, G.824, O.172
PDH Error Analysis - G.821, G.826, M.2100
PDH Availability Performance - G.827
PRBS Test Patterns - O.151, O.152, O.153
Monitor Mode Levels - G.772
PDH Framing - G.704, G.737, G.732, G.742, G.751
CTS850 Opt. 14 Jitter and Wander Specifications
Jitter/Wander Generation
Meets or exceeds the requirements of ITU-T G.823, G.825, O.171. Exceeds requirements of ITU-T O.172.
Jittered Line Output - Sinusoidal modulation of transmit clock frequency, applicable to any SDH or PDH data rate, except 8 MBps (E2).
Jitter Frequency Range - 12 µHz up to 5.00 MHz.
Modulation Range - Modulation is selectable up to the following limits, which depend on the rate:
Jitter Amplitude Range - Up to 300 UI.
Wander Amplitude Range - Up to 100,000 UI.

|
Rate |
A0 |
A2 |
A3 |
A4 |
f8 |
f1 |
f2 |
f3 |
f4 |
f5 |
|---|---|---|---|---|---|---|---|---|---|---|
|
E1 |
100,000 UI |
10.0 UI |
3.00 UI |
1.00 UI |
12 µHz |
30 mHz |
300 Hz |
9.00 kHz |
33.3 kHz |
100 kHz |
|
E3 |
100,000 UI |
10.0 UI |
3.00 UI |
1.00 UI |
12 µHz |
30 mHz |
300 Hz |
10.0 kHz |
267 kHz |
800 kHz |
|
E4 |
100,000 UI |
10.0 UI |
3.00 UI |
1.00 UI |
12 µHz |
30 mHz |
300 Hz |
20.0 kHz |
1.17 MHz |
3.50 MHz |
|
DS3 (45 MBps) |
100,000 UI |
10.0 UI |
3.00 UI |
1.00 UI |
12 µHz |
30 mHz |
300 Hz |
16.7 kHz |
133 kHz |
400 kHz |
|
STM-0*1 |
100,000 UI |
10.0 UI |
3.00 UI |
1.00 UI |
12 µHz |
30 mHz |
300 Hz |
10.0 kHz |
133 kHz |
400 kHz |
|
STM-0*1 |
100,000 UI |
10.0 UI |
3.00 UI |
1.00 UI |
12 µHz |
30 mHz |
300 Hz |
35.0 kHz |
433 kHz |
1.30 MHz |
|
STM-4*1 |
100,000 UI |
10.0 UI |
3.00 UI |
1.00 UI |
12 µHz |
30 mHz |
300 Hz |
125 kHz |
1.67 MHz |
5.00 MHz |
*1 When equipped with bulk fill payload.
Amplitude Accuracy -
±5% ±0.06 UI, at 622 MBps Line Output.
±5% ±0.04 UI, at 622 MBps Clock Output and 45 MBps Line Output.
±5% ±0.03 UI, for all other rates, Line or Clock Output.
Amplitude Resolution - 0.01 UI.
Frequency Accuracy - ±1%, below 1.00 kHz; ±5 ppm, above 1.00 kHz.
Frequency Resolution - Three decimal places.
Jittered Clock Output - Operates in addition to the jittered line output.
Output Level, typical -
0.8 Vpk-pk output (for all rates) is AC-coupled and terminated with unbalanced 75 Ohm.
2 MHz G.703 output is compliant with G.703 2048 kHz synchronization interface specifications.
Nominal Clock Rates - 2 MHz, 34 MHz, 140 MHz, 52 MHz, 155 MHz, 622 MHz, or 45 MHz. Can be set independently of transmit-line rate.
Connector - Rear-panel, unbalanced 75 Ohm BNC.
Jitter and Wander Analysis for SDH/PDH
Jitter Measurement
Peak-to-peak or RMS jitter measurement of the Clock or Line input. Meets or exceeds the requirements of ITU-T G.783, G.823, G.824, G.825, G.958, O.171. Exceeds requirements of new ITU-T O.172.
Jitter Measurements - Peak-to-peak Jitter (UI), Positive Peak Jitter (UI), Negative Peak Jitter (UI), Jitter Hit Seconds, Jitter Unlocked Seconds, RMS (UI).
Jitter Measurement Accuracy (Line Wideband) -
5% A ±0.035 UI (except 622 MBps).
5% A ±0.07 UI (622 MBps only).
Frequency Response - For f, HPI > 0 dB/decade, down to 0.1 Hz.
Timing Quality (Video Related Measurements) -
Pointer Event Seconds, Current Frequency Drift Rate (ppm/s), Maximum Frequency Drift Rate (ppm/s).
Current Frequency, Maximum Frequency, Minimum Frequency.
Normal and Extended Jitter Measurement Resolution and Range -
Normal Resolution: 0.005 UI. Resolution is 0.1 UI for Fullband (0.1 Hz Highpass). Resolution for RMS is 0.001 UIRMS.
Extended Resolution: 0.01 UI, except fullband 0.1 Hz, 0.1 UI.
Input Phase Tolerance - Input phase tolerance exceeds 300 UIpk-pk, to accommodate worst-case tributary pointer jitter, exceeding requirements of new O.172.
ITU-T Conformance Tests -
Built-in conformance tests automatically execute jitter/wander tests according to the relevant standards for equipment and network interfaces.
Output Jitter: ITU-T G.823, G.824, G.825.
Input Jitter Tolerance: ITU-T G.823 (Standard and National), G.824, G.825, G.958 (Type A/ B).
Jitter Transfer Function: ITU-T G.735, G.751, G.752, G.958 (Type A/B).
Pointer Jitter : ITU-T G.783.
Range - See graph.

Where values are specified by rate in the table below:
|
Frequency Scale in Hz Rate |
A4 |
f1 |
f2 |
f3 |
f4 |
f5 |
f6 |
f7 |
|---|---|---|---|---|---|---|---|---|
|
2 MBps |
0.5 UI |
0.1 Hz |
10.0 Hz |
300 Hz |
1.9 kHz |
3.2 kHz |
38.4 kHz |
100 kHz |
|
34 MBps |
0.5 UI |
0.1 Hz |
10.0 Hz |
300 Hz |
8.0 kHz |
13.3 kHz |
160 kHz |
800 kHz |
|
45 MBps |
0.5 UI |
0.1 Hz |
10.0 Hz |
300 Hz |
16 kHz |
26.7 kHz |
320 kHz |
400 kHz |
|
140 MBps |
0.5 UI |
0.1 Hz |
10.0 Hz |
300 Hz |
16 kHz |
26.7 kHz |
320 kHz |
3.5 MHz |
|
52 MBps |
0.5 UI |
0.1 Hz |
10.0 Hz |
300 Hz |
16 kHz |
26.7 kHz |
320 kHz |
400 kHz |
|
155 MBps |
0.4 UI |
0.1 Hz |
10.0 Hz |
300 Hz |
16 kHz |
26.7 kHz |
320 kHz |
1.3 MHz |
|
622 MBps |
0.3 UI |
0.1 Hz |
10.0 Hz |
300 Hz |
40 kHz |
68 kHz |
1.33 MHz |
5.0 MHz |
Fixed Error (Intrinsic) Noise with Clock, Typical
|
For peak-to-peak measurement, in UIpk-pk |
|||||
|---|---|---|---|---|---|
|
Rate |
Highband |
Wideband |
Fullband (10 Hz) |
Fullband (1 Hz) |
Fullband (0.1 Hz) |
|
2 MBps |
0.01 |
0.015 |
≤0.1 |
≤0.2 |
≤0.3 |
|
34 MBps |
0.02 |
0.03 |
≤0.1 |
≤0.2 |
≤0.3 |
|
45 MBps |
0.02 |
0.03 |
≤0.1 |
≤0.2 |
≤0.3 |
|
140 MBps |
0.04 |
0.05 |
≤0.1 |
≤0.2 |
≤0.3 |
|
52 MBps |
0.02 |
0.03 |
≤0.1 |
≤0.2 |
≤0.3 |
|
155 MBps |
0.02 |
0.03 |
≤0.1 |
≤0.2 |
≤0.3 |
|
622 MBps |
0.03 |
0.05 |
≤0.7 |
≤0.7 |
≤1.0 |
For extended range, fixed error shall be less than or equal to 0.1 UI plus the value listed above.
For RMS measurements, fixed error shall be less than or equal to 0.01 UIRMS at all rates.
Fixed Error (Intrinsic) Noise with PRBS Data Signal, Typical
|
For peak-to-peak measurement, in UIpk-pk |
|||||
|---|---|---|---|---|---|
|
Rate |
Highband |
Wideband |
Fullband (10 Hz) |
Fullband (1 Hz) |
Fullband (0.1 Hz) |
|
2 MBps |
0.025 |
0.035 |
≤0.1 |
≤0.2 |
≤0.3 |
|
34 MBps |
0.025 |
0.035 |
≤0.1 |
≤0.2 |
≤0.3 |
|
45 MBps |
0.025 |
0.035 |
≤0.1 |
≤0.2 |
≤0.3 |
|
140 MBps |
0.025 |
0.035 |
≤0.1 |
≤0.2 |
≤0.3 |
|
52 MBps |
0.025 |
0.035 |
≤0.1 |
≤0.2 |
≤0.3 |
|
155 MBps |
0.025 |
0.035 |
≤0.1 |
≤0.2 |
≤0.3 |
|
622 MBps |
0.05 |
0.07 |
≤0.75 |
≤0.7 |
≤1.0 |
For extended range, fixed error shall be less than or equal to 0.1 UI plus the value listed above.
For RMS measurements, fixed error shall be less than or equal to 0.01 UIRMS at all rates.
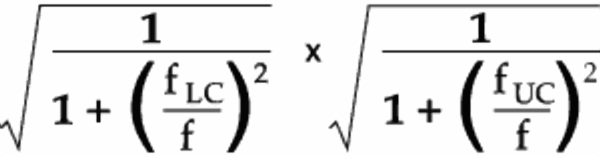
Jitter Measurement Accuracy - Jitter measurement accuracy is a function of the modulation frequency and the highpass filter chosen. Measured jitter frequency response is expressed by the equation below, where fLC is the lower cutoff frequency and fUC is the high-frequency cutoff (defined in table following). Passband is from fLC to fUC. Uncertainty = ±5% A ±fixed error, where A is the actual jitter at the input.

Input Phase Tolerance - Input phase tolerance exceeds 300 UIpk-pk, to accommodate worst-case tributary pointer jitter, exceeding requirements of new O.172.
Jitter Measurement Function Frequency Response -
Measurement function meets the requirements of new ITU-T O.172 (supports ITU-T G.783, G.823, G. 824, G.825, G.958, etc.).
Lower cutoff (highpass) is first order (-20 dB/decade). For E1, E3, and E4, this response is 20 dB/decade down to less than 0.1 Hz in wideband mode. Upper cutoff (lowpass) is third order (-60 dB/decade).
Cutoff frequencies are ±10% except E1 (2 MBps) is +100%/-10%.
Frequency Cutoff Values
|
Rate |
Fullband fLC |
Wideband fLC |
HighBand fLC |
RMS fLC |
fUC |
|---|---|---|---|---|---|
|
E1 |
0.1, 1, or 10 Hz |
20.0 Hz |
700 Hz or 18.0 kHz |
12.0 kHz |
100 kHz |
|
E3 |
0.1, 1, or 10 Hz |
100 Hz |
10.0 kHz |
12.0 kHz |
800 kHz |
|
E4 |
0.1, 1, or 10 Hz |
200 Hz |
10.0 kHz |
12.0 kHz |
3.50 MHz |
|
DS3 |
0.1, 1, or 10 Hz |
10.0 Hz |
30.0 kHz |
12.0 kHz |
400 kHz |
|
STM-0 |
0.1, 1, or 10 Hz |
100 Hz |
20.0 kHz |
12.0 kHz |
400 kHz |
|
STM-1 |
0.1, 1, or 10 Hz |
500 Hz |
65.0 kHz |
12.0 kHz |
1.30 MHz |
|
STM-4 |
0.1, 1, or 10 Hz |
1000 Hz |
250 kHz |
12.0 kHz |
5.00 MHz |
Jitter Clock Input - Input to measure jitter on a clock signal.
Nominal Clock Rates: Any supported SDH or PDH rate, except 8 Mbps (E2). Rate is independent of the receive line rate.
Frequency Tolerance: Nominal rate ±100 ppm.
Input Amplitude: 0.4 Vpk-pk minimum, 1.5 Vpk-pk maximum amplitude.
Connector: Rear-panel, unbalanced 75 Ohm BNC.
Jitter Output - Demodulated jitter from the receiver. The output is filtered by any measurement filters selected.
Connector: Rear-panel 50 Ohm BNC.
Sensitivity, typical:
Normal measurement range: 100 mV/UI.
Extended measurement range: 2.65 mV/UI.
Output Level, typical: ±1 V, centered at 0 V ±100 mV.
Accuracy: ±10%, in addition to measurement inaccuracy.
Lock Time -
<10 seconds wideband or highband or fullband (10 Hz) highpass filter.
<30 seconds fullband, 1.0 Hz highpass filter.
<60 seconds fullband, 0.1 Hz highpass filter.
Wander Measurements
Supports ITU-T G.813, G.812, ETS300 462-n and O.171. Exceeds requirements of O.172.
Peak-to-Peak Wander, TIE (Time-Interval Error)/MTIE, TDEV, Current Frequency, Maximum Frequency, Minimum Frequency.
TIE Accuracy - 0.5%
MTIE Algorithm - 0.5%
TDEV Accuracy - 0.5%
TIE Range - ≥2.1 * 1017 ns
Jitter Frequency Range - 12 µHz up to 5.00 MHz
Peak-to-Peak and TIE Measurement
|
Fixed Error |
Z0 is TIE, (tau) is observation period |
|
Range: |
2.1*1017 ns |
|
Accuracy: |
±0.5% ±Z0(tau) where: |
|
Z0(tau)(nsec) |
Observation Interval, tau(sec) |
|
2.5 + 0.0275 tau |
0.05 ≤ tau ≤ 1,000 |
|
29.0 + 0.0010 tau |
tau > 1,000 |
Sample Rate: 50 Hz
Anti-alias filter: 10 Hz ±10% first order roll-off, according to O.172
Resolution: 0.3 ns or better
MTIE Measurement
|
Z1 error due to MTIE algorithm: |
|
|
Z0 + Z1 = Z3 |
|
|
Range: |
Limited only by disk space on the PC |
|
Accuracy: |
±1.0% ±Z3(tau) where: |
|
Z1(tau)(nsec) |
Observation Interval, tau(sec) |
|
3.0 + 0.0330 tau |
0.05 ≤ tau ≤ 1,000 |
|
35.0 + 0.0012 tau |
tau > 1,000 |
Sample Rate: 50 Hz
Anti-alias filter: 10 Hz ±10% first order roll-off, according to O.172
Resolution: 0.3 ns or better
TDEV Measurement
|
Z2 is TDEV algorithm error |
|
|
Z0 + Z2 = Z4 |
|
|
Range: |
0.02 s to 167,700 s |
|
Accuracy: |
±1.0% ±Z4(tau) where: |
|
Z2(tau)(nsec) |
Observation Interval, tau(sec) |
|
3.0 + 0.0330 tau |
0.05 ≤ tau ≤ 1,000 |
|
35.0 + 0.0012 tau |
tau > 1,000 |
Sample Rate: 50 Hz
Anti-alias filter: 10 Hz ±10% first order roll-off, according to O.172
Resolution: 0.3 ns or better
ITU-T Conformance tests -
Built-in conformance tests automatically execute jitter/wander tests according to the relevant standards for equipment and network interfaces.
Input Wander Tolerance: ITU-T G.823 (Standard and National), G.824, G.825, G.958 (Type A/B).
Timing Quality (Video Related Measurements) -
Current Frequency, Maximum Frequency, Minimum Frequency, Frequency Drift Rate
|
Frequency Measurement |
|
|---|---|
|
Resolution: |
1 Hz absolute (0.01 ppm relative) |
|
Accuracy: |
±0.1 ppm (with respect to source clock) |
|
Frequency Drift Rate |
|
|
Range: |
10,000 ppm/sec |
|
Accuracy: |
<1% ±0.01 ppm/sec |
|
Bandwidth: |
0 Hz to 0.5 Hz |
|
Resolution: |
0.001 ppm/sec |
ITU-T JITTER/WANDER STANDARD CONFORMANCE TESTS
Built-in conformance tests automatically execute jitter/wander tests according to the relevant standards for equipment and network interfaces.
Conformance tests use the selected data or clock input/output signals and then automatically choose the correct test signal format, adjust parameters as needed, and display the test results in graphical and/or text format.
Default test parameters are provided and are selectable/adjustable by the user.
Test Results
Results may be stored to floppy disc or printed to printer and/or floppy disc (BMP format).
Graphical results have interactive cursors for value readout, plus tabular reporting of results.
Standard specification limits are displayed for pass/fail determination.
Output Jitter
|
Rate (MBit/s MHz) |
ITU-T Conformance |
|---|---|
|
52 |
SONET |
|
155 |
G.825 |
|
622 |
G.825 |
|
2 |
G.823 |
|
34 |
G.823 |
|
45 |
G.824 |
|
140 |
G.823 |
Range: 0 to 300 UIpk-pk; refer to Jitter Measurement specification.
Test: Measures wideband and highband jitter over default measurement interval of 60 sec (selectable 1 sec to 99 days).
Results: Output jitter (UIpk-pk) with specification limits.
Input Jitter/Wander Tolerance
|
Rate (Mbps MHz) |
ITU-T Conformance |
|---|---|
|
52 |
SONET |
|
155 |
G.825 |
|
|
G.958 Type A |
|
622 |
G.958 Type B |
|
2 |
G.823 Standard |
|
|
G.823 National |
|
34 |
G.823 |
|
45 |
G.824 |
|
140 |
G.823 |
Range: 0 to 2x tolerance mask specification; refer to Jitter/Wander Generation specification.
Test: Measures tolerance to jitter/wander at a number of frequencies (selectable 6 to 48) over a range of frequency (selectable from 12 MHz to 5 MHz); onset of errors or 1 dB power penalty technique.
Results: Input jitter/wander tolerance graph with specification limit mask or tabular report.
Jitter Transfer Function
|
Rate (Mbps MHz) |
ITU-T Conformance |
|---|---|
|
52 |
SONET |
|
155 |
G.958 Type A |
|
|
G.958 Type B |
|
622 |
G.958 Type A |
|
|
G.958 Type B |
|
2 |
G.735 |
|
34 |
G.751 |
|
45 |
G.752 |
|
140 |
N/A |
Range: +3 to -50 dB, resolution 0.01 dB
Accuracy (typical): ±0.05 dB
Noise floor (typical): <-60 dB rel. 1 UI
Test: Measures jitter transfer function at a number of frequencies (selectable 6 to 48) over a range of frequency (selectable from 12 MHz to 5 MHz); systematic errors are reduced by an automatic calibration cycle and intrinsic noise is reduced using correlation analysis (which provides superior performance than conventional narrowband filter techniques)
Results: Jitter transfer function graph with specification limit mask or tabular report
Pointer Jitter
ITU-T conformance: G.783
Range: 0 to 300 UIpk-pk; refer to Jitter Measurement specification
Pointer test sequence: refer to Pointer Sequence Generation specification
Test: Measures wideband and highband PDH jitter while pointer sequence executes; includes initialization, cool-down phases, and an integral number of test sequences, as defined in ITU-T G.783; automatically synchronizes measurement interval with pointer anomalies
Results: Wideband and highband pointer jitter (UIpk-pk) with specification limits
Real-Time Wander Analyst Software for CTS850
Real-Time Wander Analyst software works in conjunction with the Tektronix CTS850 or SJ300E test sets. The software provides full wander TIE, MTIE, and TDEV analysis according to the most recent ITU-T, ETSI, ANSI, and Bellcore standards. The Windows-compatible PC software uploads TIE wander measurement data from the test set at a sampling rate of 50 Hz (in accordance with ITU-T and ETSI requirements), stores the data at a rate of 50, 1 or 0.1 Hz (selectable) and simultaneously calculates MTIE and TDEV using efficient algorithms.
In addition to the ITU-T and European ETSI specifications, real-time Wander Analyst also includes a full suite of North American SONET and ANSI specification limits. The software provides a hi/lo envelope TIE plot to show transients, full zoom control using cursors, and calculates frequency offset and drift rate in accordance with ANSI-approved methodology. Results can be easily transferred to other Windows applications for report documentation.

- TIE, MTIE, and TDEV wander analysis
- Calculation and display of frequency offset and drift rate from TIE data
- SDH and SONET compatible
- Windows 95/98/NT compatible
- Comprehensive support for new, revised, and draft ITU-T, ETSI, ANSI, and Bellcore wander specifications
- Automatic mask testing for easy conformance test documentation
- Interactive use for design verification and performance assessment
- Flexible TIE data acquisition and storage control
- Efficient algorithms for speedy calculation of MTIE and TDEV
SDH/SONET Compliance Test
MTIE and/or TDEV SDH/SONET test specification masks according to:
Primary Reference Clock -
PRC, ITU-T G.811, and ETS 300 462-6
PRS, GR-2830 CORE
Wander generation, Wander output, Phase transient
Slave Clocks -
SSU, ITU-T G.812 Type I, ETS 300 462-4
Clock, ITU-T G.812 Type II, Type III
Clock, ITU-T G.812 Type IV
Clock, ITU-T G.812 Type V, Type VI
Clock, GR-1244-CORE
Wander generation; Wander tolerance; Noise transfer; Transient response
SDH/SONET Equipment Clock -
SEC ITU-T G.813 Opt. 1, ETS 300 462-5
SEC ITU-T G.813 Opt. 2
SMC, GR-253-CORE
Wander generation; Wander tolerance; Noise transfer; Transient response
SDH/PDH and Sync Network Interface -
SDH and PDH Sync Network, ETS 300 462-3
PRC; SSU; SEC equipment and PDH distribution output
SDH and PDH Transport Network, ETSI DEN/TM 3067
2, 34, and 140 MBps output wander
SONET and Sync Network Interface -
SONET Sync Network, ANSI T1.101
SONET Network, ANSI T1.105.03
SONET Network, ANSI T1.105.09
DS3 Metallic Interface, T1.404
HDSL Network -
HDSL Network, ETS 152
Output wander
Real-Time Wander Analyst Software
Test Set Requirements - CTS850 Opt. 14 must be installed, System Software Version 2.18 or higher
Recommended PC Requirements -
Processor: Pentium - Class 90 MHz or faster
Operating system: Windows 95/98/NT
Memory: 16 MB minimum
Hard disk: 2.5 MB + Data Storage
TIE Data Acquisition and Storage -
Using RS-232 or GPIB interfaces
50 Hz rate: 1.4 MB/hour
1 Hz rate: 28.8 Kb/hour
0.1 Hz rate: 2.88 Kb/hour
Measurement duration: 10 to 109 seconds
Software Processing Functions -
MTIE and TDEV calculation: done during TIE data acquisition or postacquisition
TIE display: sample or hi/lo envelope
Frequency offset and drift rate: in accordance with ANSI T1.101 over a fixed or sliding window with user-definable bandwidth
Remove frequency offset (for measurement of RTIE and MRTIE parameters)
Graph scaling: automatic or manual, with zoom, cursors
Documentation: print, clipboard copy
LEDs
SDH Status Indicators -
LOS, LOF, OOF, LOP, MS-AIS, MS-RDI, AU-AIS, HP-RDI, Signal Present, Pattern Lock, LSS, Error, Pointer Adj
SDH Histograms -
Error Count (General), B1, B2, B3, MS-REI, HP-REI, Pattern Bit, Pointer Jitter
Defects: On/Off
LOS, OOF, LOF, AU-LOP, MS-AIS, HP-RDI, AU-AIS
Pattern Loss, Loss of Power
Pointers: AU Pointer Value, Pointer Justification
Measurement Utilities -
Measurement Control
Manual Start/Stop
Timed: 1 s to 99 days with 1 s resolution
Continuous
Histogram Display Resolution
High: 1 sec (displays 2 hours with 1 sec resolution)
Normal: 1 min, 5 min, 15 min, 1 hour (displays 5 days with 1 min resolution)
Low: 15 min, 60 min, 4 hrs, 12 hrs (displays 75 days with 15 min resolution)
Result Logging -
All measurements are recorded with start, stop time, and date
The current and previous results are stored in memory both totalized and graphical
Both graphical and totalized results can be stored on a disk
PDH and TU Status Indicators -
TU-AIS
PDH AIS
LP-RDI
PDH RAI
Histograms for PDH and TU -
Error Count (General)
E1 Defects
TU-BIP, LP-REI
Pattern Bit, Pointer Jitter
PDH and TU Defects -
On/Off
LOS, LOF, PDH-AIS, PDH-RAI, TU-LOP, TU-AIS, LP-RDI, TU-LOM, Pattern Loss, Loss of Power
TU Pointers - TU Pointer Value, Pointer Justification
Utilities
TroubleScan - Scans all measurement results for key violations
AutoScan -
AutoScan to incoming signal (rate, mapping, framing, and pattern)
Identifies incoming signal and presents graphical display of AU and TU structure
Identifies TU signal status and PDH mux structure by showing TU number, equipped versus unequipped, alarms, and pattern
Stored Setups -
5 front-panel setups in memory
200 front-panel setups per disk
Pass/Fail Tests -
Predefined Pass/Fail Tests can be created, stored, and executed
Pass/Fail tests are stored on disk
200 Pass/Fail test setups per disk
Add/Drop Interface for -
Data Communication Channels and User Channels.
A DB-37 female connector provides the interface to an external protocol analyzer. Clock and data signals are differential TTL, conform to V.11 specifications and are also compatible with single-ended TTL signals.
Add/Drop: D1-D3, D4-D12, F1, F2, E1, E2
Connector: 37-Pin DIN (DTE and DCE)
RJ11-style handset jack for access to E1/E2 bytes
Triggering -
Pulse at start of each SDH frame, (Tx and Rx)
Connector: 37-Pin DIN
Error Output - B1, B2, B3 bit error selectable
Disk Drive -
3.5 inch, 1.44 MB, DOS compatible
Measurement Results
Stored Setups and Pass/Fail Tests
Printer -
Printer support: Epson, HP Thinkjet, ASCII text
Serial Printer Port: V.24
Print to disk: BMP format, Interleaf format, Encapsulated PostScript, ASCII text
Computer Interface -
IEEE-488.2 interface
RS-232-C interface (DB9)
Help Mode - Online task-oriented help
Display -
7-inch diagonal CRT, green phosphor
Resolution: 640 × 480 pixels
VGA output: 15-Pin connector
Environmental Specifications
Temperature -
Operating: 0 °C to +40 °C
Nonoperating: -40 °C to +70 °C
Altitude -
Operating: 4,572 m (15,000 ft.)
Nonoperating: 12,192 m (40,000 ft.)
Humidity -
Operating:
To 95%, relative humidity at or below +40 °C for 2 hours or less
To 90%, relative humidity at or below 30 °C, continuous
Transportation Handling - Qualifies under National Safe Transit Association 1s Preshipment Test; 1A-B-1
Physical Characteristics
|
Dimensions |
mm |
in. |
|---|---|---|
|
Height: |
165 |
6.5 |
|
|
191 with accessory pouch |
7.5 with accessory pouch |
|
Width: |
362 |
14.25 |
|
Depth: |
490 with front cover |
19.25 with front cover |
|
|
564 with handle extended |
22.2 with handle extended |
|
Weight |
kg |
lbs. |
|
Net: |
Approximately 8.7 |
Approximately 19.3 |
|
Shipping: |
Approximately 14.1 |
Approximately 31 |
Power Requirements
|
Line Voltage |
Line Frequency |
|---|---|
|
100 V to 132 V |
50/60 Hz |
|
180 V to 250 V |
40 Hz to 60 Hz |
|
100 V to 132 V |
400 Hz |
|
Maximum current is 6 ARMS |
|
Certifications and Compliances
EC Declaration of Conformity - EMC.
Meets intent of Directive 89/336/EEC for Electromagnetic Compatibility. Compliance was demonstrated to the following specifications as listed in the Official Journal of the European Communities:
EN 55011:
Class A Radiated and Conducted Emissions.
Australia and New Zealand Declaration of Conformance for EMC:
Meets Intent of Australian EMC Framework. Compliance demonstrated to standard AS/NZS 2064.1/2.
EN 50082-1 Immunity:
IEC 801-2, Electrostatic Discharge Immunity.
IEC 801-3, RF Electromagnetic Field Immunity.
IEC 801-4, Electrical Fast Transient/Burst Immunity.
IEC 801-5, Power Line Surge Immunity.
FCC Compliance:
Emissions comply with FCC Code of Federal Regulations 47, Part 15, Subpart B, Class A Limits.
European Union Compliance:
Low-Voltage Directive 73/23/EEC, Amended by 93/68/EEC. EN 61010-1, Safety requirements for Electrical equipment for measurement, control, and laboratory use.
Additional Compliance -
ANSI/ISA S82.02.01: Safety standard for Electrical and Electronic Test, Measuring, Controlling, and Related Equipment.
IEC1010-1: Safety Requirements for Electrical Equipment for Measurement, Control, and Laboratory Use.
Approvals -
U.S. Nationally Recognized Testing Laboratory Listing.
UL3111-1: Standard for Electrical and Electronic Measuring and Test Equipment.
Canadian Certification -
CAN/CSA-22.2 No. 1010.1: Safety requirements for Electrical and Electronic Measuring and testing Equipment.
Safety -
UL3111-1, CSA1010.1, EN61010-1, IEC61010-1.
Operating temperature: +5 to +40 °C.
Max. Operating altitude: 2000 m.
Relative Humidity (maximum operating) 80% for temperatures up to 31 °C, decreasing linearly to 50% at 40 °C.
Equipment Type: Test and measuring.
Safety Class: Class I, as defined in IEC 1010-1, Annex H) - grounded product.
Overvoltage Category: CAT II, (as defined in IEC1010-1, Annex J).
Pollution Degree: Pollution Degree 2, (as defined in IEC 1010-1). Note: rated for indoor use only.
Laser - EN60825 (class 1), 21 CFR 1000 (class I).


