
Contactez-nous
Chat en direct avec un représentant Tek. Service disponible de 9 h à 17 h, CET jours ouvrables.
Appelez-nous au
Disponible de 9 h à 17 h CET jours ouvrables.
Télécharger
Télécharger des manuels, des fiches techniques, des logiciels, etc. :
Feedback
Numériseur profil bas Série 6
Fiche technique LPD64
Plus d’informations
- Le numériseur faible hauteur de la série 6
- Assistance produit
- Découvrez d'autres modèles Oscilloscope
Lire en ligne :

Les performances en quelques chiffres
Voies d'entrée
- 4 entrées SMA
- Chaque entrée SMA prend en charge les signaux analogiques, de spectre (avec le DDC) ou les deux simultanément
Performances élevées sur CHAQUE voie
- Fréquence d’échantillonnage : 25 Géch./s
- Bande passante : CC à 8 GHz (en option)
- Résolution verticale : 12 bits ADC
- Convertisseur DDC 2 GHz en temps réel (en option)
- Longueur d’enregistrement : 125 Millions de points (de série), 250 Millions de points (en option)
- Meilleur niveau de bruit de sa catégorie
- Meilleur nombre de bits effectifs de sa catégorie
- Meilleur isolement voie à voie de sa catégorie
Convertisseur-abaisseur numérique (DDC) en temps réel
- Commandes brevetées individuelles de domaine temps et de domaine de fréquences
- Bande passante de capture jusqu'à 2 GHz (en option)
- Transfert des données I&Q vers un PC pour analyse (en option)
- Tracé Fréquence/Temps, Phase/Temps et Amplitude/Temps (en option)
Bruit résiduel exceptionnellement faible, résolution verticale et précision supérieures
- Niveau du bruit d’entrée faible grâce aux ASIC du nouveau module d’entrée TEK061
- Bruit résiduel à 1 mV/div : 54,8 uV à 1 GHz
- Plage d’entrée : 10 mV à 10 V pleine échelle
- Précision du gain C.C. : +/- 1,0 % à tous les paramètres de gain > 1 mV/div
- Nombre de bits effectifs (ENOB) :
- 8,2 bits à 1 GHz
- 7,6 bits à 2,5 GHz
- 7,25 bits à 4 GHz
- 6,8 bits à 6 GHz
- 6,5 bits à 8 GHz
Connectivité et communication à distance
- Port Ethernet 10/100/1000
- Port USB 3.0 (USBTMC) jusqu’à 800 Mb/s
- LXI 1.5 certifié (VXI-11)
- Accès distant facile grâce au logiciel e*Scope, en saisissant simplement l’adresse IP de l’instrument dans un navigateur
- Interface utilisateur primée
- Pilotes : IVI-C, IVI-COM, LabVIEW
- Prise en charge VISA, MATLAB, Python, C/C++/C#, Sockets
Analyse de mesure
- 36 mesures standard
- Mesures de gigue (en option)
- Mesures DDR (en option)
- Mesures de puissance (en option)
Système d’exploitation
- SE Linux embarqué en circuit fermé (de série)
Sécurité et déclassification (option 6-SEC)
- Protection par mot de passe de tous les ports accessibles à l’utilisateur
- Verrouillage du numériseur, évitant le stockage des données utilisateur sur l’instrument
- Conforme aux exigences des environnements confidentiels et haute sécurité
Dimensions
- Format compatible 2U (89 mm de hauteur) (configuration standard)
- Largeur 432 mm
- Compatible avec les baies 610 - 813 mm
- Circulation d’air de gauche à droite, pour une installation en baie
Série 6
Le Numériseur à profil bas Série 6 (LPD64) offre les meilleures performances du marché dans sa catégorie, sur toutes les voies. Ce numériseur haute vitesse possède la fonctionnalité d’un numériseur et la puissance d’un oscilloscope, partageant avec le MSO Série 6 une plate-forme matérielle similaire.
La transition entre un Oscilloscope de laboratoire MSO Série 6 pour table de travail et un numériseur à profil bas n’a jamais été aussi simple, ce qui permet aux ingénieurs de R&D d’appliquer aux opérations de fabrication et d’automatisation leurs performances de code, de test et de plate-forme. Les deux gammes de produits ont en commun l’interface utilisateur, la fonctionnalité à distance, les caractéristiques de performance et la structure de programmation principale, afin que cette transition soit aussi simple que possible. Il n’est ainsi plus besoin de réécrire les routines de test et le code des cycles de test de développement.
Pour plus d’informations sur les fonctionnalités de l’Oscilloscope de laboratoire MSO Série 6, et notamment ses différentes options logicielles d’analyse et son expérience utilisateur primée, reportez-vous à la fiche technique du MSO Série 6, à l’adressewww.tek.com/6SeriesMSO.

Gamme à profil bas
Le Numériseur à profil bas Série 6 offre des performances accrues par rapport au modèle précédent, le MSO à profil bas Série 5, en intégrant deux fois plus de modules Tektronix TEK049 ASICS pour un même format 2U. Désormais 25 Géch./s et jusqu’à 8 GHz sur toutes les voies. Les utilisateurs des modèles à profil bas ont désormais la possibilité de bénéficier d’un nombre de voies très élevé ou de performances haut de gamme avec un encombrement réduit.
Pour plus d’informations sur les fonctionnalités de l’Oscilloscope MSO à profil bas Série 5, reportez-vous à la fiche technique de l’appareil, à l’adressewww.tek.com/MSO58LP

Gamme comprenant deux numériseurs à profil bas Série 6 (gauche) et deux oscilloscopes MSO à profil bas Série 5 (droite)
Comparaison rapide | Numériseur profil bas Série 6 | Oscilloscope MSO à profil bas Série 5 |
|---|---|---|
| Fréquence d’échantillonnage | 25 Géch./s | 6,25 Géch./s |
| Bande passante analogique | Jusqu’à 8 GHz | 1 GHz |
| Bande passante globale RF (DDC) | 2 GHz | 500 MHz |
| ENOB à 1 GHz | 8,2 bits | 7,6 bits |
| Version conforme LXI | 1.5 | - |
| Dimensions d’installation en baie | 2U | 2U |
Diagnostics machine dans le domaine de la physique
Les sciences physiques ne cessent d’évoluer, ouvrant la voie à d’excitantes découvertes scientifiques aussi bien dans le domaine de la matière que de l’énergie. Ces expérimentations exigent l’utilisation de numériseurs et d’oscilloscopes améliorés en termes de précision, d’exactitude, de performances et de densité, pour la surveillance des points de test ciblés. Le Numériseur à profil bas Série 6 répond à toutes ces exigences, offrant aux utilisateurs les meilleures performances du secteur, un faible encombrement, la fiabilité qui a fait la réputation des produits Tektronix, un accès à distance facile et une interface utilisateur primée.

Physique générale
- Physique des (particules) hautes énergies
- Physique nucléaire
- Physique atomique, moléculaire et optique
- Matière condensée
Domaines de recherche impliquant des événements ponctuels ou une surveillance rapide et répétitive dans les laboratoires de recherche ; expériences de type vélocimétrie Doppler par photo (PDV), VISAR, injecteurs pneumatiques, spectroscopie, accélérateurs, etc. Nombre de ces processus concernent des essais de diagnostic, des examens Doppler de validation, des alignements de phase, des fréquences de battement, des alignements de faisceau ou des amplitudes. Exécuter ces essais à l’aide d’un équipement fiable et de performances élevées est essentiel pour garantir un succès à long terme.
Performances élevées sur toutes les voies
Vous en avez assez de vous demander à chaque fois quels sont la fréquence d'échantillonnage, la longueur d’enregistrement et les paramètres de bande passante lorsque vous activez des voies de numériseur ? Le Numériseur à profil bas Série 6 offre les meilleures performances du marché, sur chaque voie, et à chaque fois. Fini les compromis !
Caractéristiques de performance principales :
- 25 Géch./s sur TOUTES les voies
- CC à 8 GHz sur TOUTES les voies
- Jusqu’à 250 millions d’échantillons sur TOUTES les voies
- Jusqu’à 2 GHz de bande passante en capture RF DDC sur TOUTES les voies
- Prise en charge de TOUTES les voies dans un numériseur prévu pour un montage en baie 2U
- Convertisseurs analogiques-numériques 12 bits
- Plus faible bruit résiduel de sa catégorie
- Meilleur nombre de bits effectifs de sa catégorie
- Meilleur isolement des voies de sa catégorie (diaphonie)

Vue Spectre

Les commandes intuitives de l’analyseur de spectre, telles que la fréquence centrale, l’étalement de fréquence et la bande passante de résolution (RBW), indépendantes des commandes de domaine temps, permettent un paramétrage facile pour l’analyse du domaine de fréquences. Une vue Spectre est disponible pour chaque entrée analogique, permettant une analyse multidomaine et multivoie.
Il est souvent plus facile de déboguer un problème en affichant un ou plusieurs signaux dans le domaine de fréquences. Les oscilloscopes et les numériseurs intègrent depuis des décennies des FFT mathématiques, dans le but de répondre à ce besoin précis. Cependant, les FFT (transformées de Fourier) sont notoirement difficiles à utiliser, car prises en charge par le même système d’acquisition que celui chargé de délivrer la vue de domaine temps analogique. Lorsque vous optimisez les paramètres d’acquisition pour la vue analogique, la vue du domaine temps n’est alors plus celle que vous souhaiteriez. À l’inverse, si la vue du domaine temps est correcte, votre vue analogique ne l’est plus. Avec des FFT basées sur une fonction mathématique, il est donc quasi impossible d’obtenir une vue optimisée dans les deux domaines.
La vue Spectre résout ce problème. La technologie brevetée de Tektronix offre un décimateur pour le domaine temps et un convertisseur-abaisseur numérique pour le domaine de fréquences, derrière chaque entrée. Les deux chemins d’acquisition vous permettent d’observer simultanément la vue du domaine temps et la vue du domaine de fréquences pour le signal d’entrée, avec des paramètres d’acquisition indépendants pour chaque domaine. Les autres fabricants proposent diverses offres d’« analyse spectrale » qui se targuent d’être simples d’utilisation, mais qui en réalité présentent les limitations décrites précédemment. Seule la vue Spectre offre à la fois une simplicité d’utilisation exceptionnelle et la capacité de proposer simultanément une vue optimale de chacun des domaines.
Vous pouvez facilement transférer les données de signal et I&Q depuis le Numériseur à profil bas Série 6 vers un PC, en utilisant les diverses commandes de programmation et les interfaces d’API intégrées de série sur chaque modèle des gammes Tektronix Série 5 et Série 6.

Le circuit intégré TEK049 ASIC de Tektronix dispose d’un chemin de signal breveté permettant aux signaux de transiter depuis un module ADC vers un décimateur traditionnel (oscilloscope) ou un convertisseur-abaisseur numérique (DDC - RF), pour un contrôle indépendant du domaine temps et du domaine de fréquences.
Les fonctionnalités derrière la performance
Le circuit imprimé TEK049 ASIC de Tektronix comprend des convertisseurs analogique-numérique 12 bits (ADC) offrant une résolution 16 fois supérieure à celle des ACD 8 bits traditionnels. Le TEK049 est associé au nouvel amplificateur d’entrée Tektronix TEK061, qui offre le niveau de bruit le plus bas du secteur, permettant une fidélité de signal optimale dans la capture des petits signaux à haute résolution.

Niveau de bruit le plus bas du marché grâce à l’amplificateur d’entrée
Le niveau de bruit est une caractéristique essentielle pour l’affichage fin des détails de signal sur les petits signaux à haute vitesse. Plus le bruit intrinsèque d’un système de mesure est élevé, plus le niveau de détail affiché est faible. Ce paramètre devient critique sur un numériseur lorsque les réglages verticaux sont configurés sur une sensibilité élevée (par ex. ≤ 10 mV/div) dans le but d’afficher les petits signaux très courants dans les topologies de bus haute vitesse. Le Numériseur à profil bas Série 6 dispose d’un nouveau module d’entrée ASIC, le TEK061, qui offre des performances de bruit exceptionnelles avec les paramètres de sensibilité les plus élevés.
En outre, le nouveau mode haute résolution applique un filtre matériel à réponse impulsionnelle finie (FIR) novateur, basé sur la fréquence d’échantillonnage sélectionnée. Ce filtre FIR maintient la bande passante la plus élevée possible pour cette fréquence d’échantillonnage, tout en empêchant le crénelage et en éliminant le bruit au niveau des convertisseurs ADC et des amplificateurs du numériseur au-delà de la bande passante utilisable pour la fréquence d’échantillonnage sélectionnée. Le mode Haute résolution offre toujours au moins 12 bits de résolution verticale et peut atteindre 16 bits aux fréquences d’échantillonnage ≤ 625 M éch./s et à une bande passante de 200 MHz.
Contrôle à distance facilité

Programmer le Numériseur à profil bas Série 6 dans une baie de test, aux fins de contrôle à distance, n’a jamais été aussi simple.
Les équipements de test automatiques et les systèmes multivoie requièrent des capacité de programmation solides et sont souvent soumis aux contraintes d’encombrement associées aux baies et/ou à des limitations de vitesse. Le Numériseur à profil bas Série 6 intègre quatre voies 25 Géch./s hautes performances dans deux unités prêtes pour un montage sur baie. Chaque entrée peut jouer le rôle de voie analogique de précision et/ou de voie de spectre, avec plusieurs interfaces distantes offrant un transfert des données via les ports 1000Base-T Ethernet ou USB 3.0 haut débit, vers un PC local aux fins d’analyse. Grâce à la large prise en charge de langages de programmation et au référentiel GitHub, il existe de nombreuses possibilités pour intégrer facilement votre nouveau numériseur dans une baie de test.
Principales fonctions d’accès à distance :
- Hauteur de 2 unités de baie (3,5 pouces) avec montage en baie
- Contrôle et accès à distance faciles via un navigateur Web
- LXI 1.5 certifié (VXI-11)
- Ports Ethernet et USB 3.0 (USBTMC) jusqu’à 800 Mb/s de débit de transfert
- Programmation manuelle avec plus de 1000 commandes VISA
- Langages de programmation pris en charge : IVI-C, IVI-COM, MATLAB, LabView, Python, VISA, Sockets, et plus encore
- Exemples de programmation Tektronix GitHub (https://github.com/tektronix/Programmatic-Control-Examples)

Contrôle à distance facile grâce à e*Scope, via un navigateur de type Chrome, Firefox ou Edge
e*Scope et un outil de visualisation à distance simple d’utilisation, qui permet de contrôler un oscilloscope ou un numériseur Série 5 ou Série 6 via une connexion réseau, par le biais d’un navigateur Web standard, de la même façon que vous le contrôleriez en personne. Il vous suffit de saisir l’adresse IP de l’instrument dans la barre d’adresse du navigateur (version récente) pour accéder à la page d’accueil LXI, dans laquelle vous sélectionnerez Instrument Control [Contrôle de l’instrument] pour accéder à e*scope. Aucun pilote n’est nécessaire, le système fonctionne de façon autonome avec le navigateur. Vous contrôlez alors votre instrument comme si vous utilisiez son écran ou un moniteur auxiliaire. L’interface est rapide et réactive, idéale pour visualiser les données sur un ou plusieurs instruments.

Vous pouvez facilement commander à distance plusieurs instruments à l’aide d’e*Scope en utilisant différents onglets de navigateur.
Synchronisation

Synchronisation de voies d’instrument multiples dans un délai de 200 ps, grâce à la compensation manuelle et à l’entrée de déclenchement auxiliaire Aux Trigger
Lorsque vous synchronisez plusieurs instruments, il est important de réduire les distorsions au minimum entre les voies d’instrument pour garantir une synchronisation précise des données. De manière générale, il existe deux types de distorsion : celles provenant de l’incertitude entre la voie de déclenchement auxiliaire et la voie analogique, et celles provenant de la gigue de déclenchement. En étalonnant les effets du retard de voie sur l’entrée auxiliaire, il est possible de réduire à la seule gigue le niveau d’imprécision de synchronisation entre les voies de l’instrument. Ce processus est appelé élimination des distorsions ou compensation de l’instrument.
La compensation peut être effectuée sur une voie de référence qui génère simultanément un front de déclenchement (supérieur à 1 Vpp, de préférence) sur l’entrée Aux Trigger de plusieurs instruments et sur la voie de référence. Lorsque tous les éléments sont ajustés, les voies des différents instruments peuvent se situer dans la même tolérance étroite de deux points d’échantillonnage et dans les spécifications requises de 200 ps. Que vous disposiez de 16 ou de 200 voies, vous pouvez alors synchroniser et analyser facilement l’ensemble des données.
Option de sécurité améliorée
L’option de sécurité facultative 6-SEC améliorée permet l’activation/désactivation par mot de passe de tous les ports E/S de l’instrument et les mises à jour du microprogramme. De plus, l’option 6-SEC offre le niveau de sécurité le plus élevé du marché en garantissant que l’instrument ne stocke jamais dans sa mémoire interne des paramètres utilisateur ou des données de signal, conformément aux exigences du National Industrial Security Program Operating Manual (NISPOM) DoD 5220.22-M, chapitre 8 et de la Defense Security Service Manual for the Certification and Accreditation of Classified Systems du NISPOM. Cela vous garantit la possibilité de déplacer l’instrument hors d’une zone sécurisée.
Générateur de fonctions arbitraires (AFG)
Cet instrument comprend un générateur de fonctions arbitraires intégré en option, parfait pour simuler les signaux de capteurs dans une étude ou ajouter du bruit aux signaux afin d’effectuer des tests aux limites. Ce générateur crée des signaux prédéfinis jusqu'à 50 MHz ayant les formes suivantes : Sinus, Carré, Impulsion, Rampe/triangle, CC, Bruit, Sin(x)/x (Sinc), Gaussien, Lorentz, Montée exponentielle, Montée/descente exponentielle, Demi-sinus verse et Cardiaque. Le générateur AFG peut charger des enregistrements de signal jusqu’à 128 000 points à partir d’un emplacement interne ou d’un périphérique USB de stockage de masse.
La fonction AFG est compatible avec le logiciel sur PC de création et de modification des signaux Tektronix ArbExpress, qui accélère et facilite la création de signaux complexes.
Voltmètre numérique (DVM) et compteur de fréquences de déclenchement
Cet instrument comprend un voltmètre numérique (DVM) intégré à 8 chiffres et un compteur de fréquences de déclenchement à 8 chiffres. Toutes les entrées analogiques peuvent être la source du voltmètre avec les sondes déjà montées, pour une utilisation de l’oscilloscope en mode général. Le compteur de fréquences de déclenchement offre une mesure très précise de la fréquence de l’événement sur lequel le déclenchement est effectué.
Le voltmètre et le compteur de fréquences de déclenchement sont tous deux disponibles gratuitement et activés lorsque vous enregistrez votre instrument.
Caractéristiques
Toutes les spécifications sont garanties, sauf mention contraire. Toutes les caractéristiques s’appliquent à tous les modèles sauf indication contraire.
Présentation du modèle
| Caractéristique | LPD64 |
|---|---|
| Entrées analogiques | 4 |
| Bande passante (temps de montée calculé) | 1 GHz (400 ps), 2,5 GHz (160 ps), 4 GHz (100 ps), 6 GHz (66,67 ps), 8 GHz (50 ps) |
| Précision du gain CC | 50 Ω : ± 2,0 % 1, (± 2,0 % à 2 mV/div, ± 4,0 % à 1 mV/div, standard) 50 Ω : ± 1,0 % 2 de la pleine échelle, (± 1,0 % de la pleine échelle à 2 mV/div, ± 2,0 % à 1 mV/div, standard) |
| Résolution ADC | 12 bits |
| Résolution verticale (toutes les voies) | 8 bits à 25 Géch./s ; 8 GHz 12 bits à12,5 Géch./s ; 4 GHz 13 bits à 6,25 Géch./s (haute résolution) ; 2 GHz 14 bits à 3,125 Géch./s (haute résolution) ; 1 GHz 15 bits à 1,25 Géch./s (haute résolution) ; 500 MHz 16 bits à ≤ 625 Méch./s (haute résolution) ; 200 MHz |
| Fréquence d’échantillonnage | 25 Géch./s sur toutes les voies |
| Longueur d'enregistrement | 125 millions de points sur toutes les voies (standard) 250 millions de points sur toutes les voies (en option) |
| Taux de capture de signaux | > 500 000 signaux/s (détection de crête, mode d’acquisition Enveloppe), > 30 000 signaux/s (tous les autres modes d’acquisition) |
| Générateur de fonctions arbitraires (en option) | 13 types de signal prédéfinis avec une sortie jusqu’à 50 MHz |
| Voltmètre numérique (DVM) | DVM à 4 chiffres (gratuit avec l’enregistrement du produit) |
| Compteur de fréquence de déclenchement | Compteur de fréquences à 8 chiffres (gratuit avec l’enregistrement du produit) |
1Spécification garantie, immédiatement après SPC, ajouter 2 % pour chaque modification de 5 °C de la température ambiante.
2Spécification garantie, immédiatement après SPC, ajouter1 % pour chaque modification de 5 °C de la température ambiante. Parfois utilisé en pleine échelle pour effectuer une comparaison avec d’autres fabricants.
Système vertical
- Couplage d'entrée
- CC
- Impédance d’entrée 50 Ω, couplée CC
50 Ω ± 3 %
- Plage de sensibilité d'entrée
- 50 Ω
- 1 mV/div à 1 V/div, dans une séquence 1-2-5
- Remarque : 1 mV/div correspond à 2 fois le zoom numérique de 2 mV/div.
- Tension d’entrée maximum
50 Ω : 2,5 Veffà des tensions < 100 mV/div, avec crêtes ≤ ± 20 V (rapport cyclique ≤ 6,25 %)
50 Ω : 5 Veffà des tensions ≥ 100 mV/div, avec crêtes ≤ ± 20 V (rapport cyclique ≤ 6,25 %)
- Nombre de bits effectifs (ENOB), standard
- 2 mV/div, mode Haute résolution, 50 Ω, entrée 10 MHz avec plein écran à 90 %
Bande passante ENOB 4 GHz 5,9 3 GHz 6,1 2,5 GHz 6,2 2 GHz 6,35 1 GHz 6,8 500 MHz 7,2 350 MHz 7,4 250 MHz 7,5 200 MHz 7,75 20 MHz 8,8 - 50 mV/div, mode Haute résolution, 50 Ω, entrée 10 MHz avec plein écran à 90 %
Bande passante ENOB 4 GHz 7,25 3 GHz 7,5 2,5 GHz 7,6 2 GHz 7,8 1 GHz 8,2 500 MHz 8,5 350 MHz 8,8 250 MHz 8,9 200 MHz 9 20 MHz 9,8 - 2 mV/div, mode Echantillon, 50 Ω, entrée 10 MHz avec plein écran à 90 %
Bande passante ENOB 8 GHz 5,1 7 GHz 5,3 6 GHz 5,5 5 GHz 5,65 4 GHz 5,9 3 GHz 6,05 2,5 GHz 6,2 2 GHz 6,35 1 GHz 6,8 500 MHz 7,2 350 MHz 7,3 250 MHz 7,5 200 MHz 7,3 20 MHz 7,6 - 50 mV/div, mode Echantillon, 50 Ω, entrée 10 MHz avec plein écran à 90 %
Bande passante ENOB 8 GHz 6,5 7 GHz 6,6 6 GHz 6,8 5 GHz 7 4 GHz 7,2 3 GHz 7,4 2,5 GHz 7,6 2 GHz 7,7 1 GHz 8,2 500 MHz 8,4 350 MHz 8,7 250 MHz 8,8 200 MHz 7,8 20 MHz 7,9
- Équilibre CC
0,1 div avec impédance d’entrée de numériseur de DC-50 Ω (50 Ω en terminaison)
0,2 div à 1 mV/div avec impédance d’entrée de numériseur de DC-50 Ω (50 Ω en terminaison)
- Plage de positions
- ± 5 divisions
- Plages de décalage, maximum
Le signal d’entrée ne doit pas dépasser la tension d’entrée maximum pour le chemin d’entrée 50 Ω.
Valeur volts/div Maximum offset range, 50 Ω Input 1 mV/div - 99 mV/div ± 1 V 100 mV/div - 1 V/div ± 10 V
- Précision de décalage
± (0,005 X | décalage - position | + équilibre CC) ; décalage, position et équilibre CC en unités de Volts
- Sélections de bandes passantes
- Modèle 8 GHz, 50 Ohm
- 20 MHz, 200 MHz, 250 MHz, 350 MHz, 500 MHz, 1 GHz, 2 GHz, 2,5 GHz, 3 GHz, 4 GHz, 5 GHz, 6 GHz, 7 GHz et 8 GHz
- Modèle 6 GHz, 50 Ohm
- 20 MHz, 200 MHz, 250 MHz, 350 MHz, 500 MHz, 1 GHz, 2 GHz, 2,5 GHz, 3 GHz, 4 GHz, 5 GHz et 6 GHz
- Modèle 4 GHz, 50 Ohm
- 20 MHz, 200 MHz, 250 MHz, 350 MHz, 500 MHz, 1 GHz, 2 GHz, 2,5 GHz, 3 GHz et 4 GHz
- Modèle 2,5 GHz, 50 Ohm
- 20 MHz, 200 MHz, 250 MHz, 350 MHz, 500 MHz, 1 GHz, 2 GHz et 2,5 GHz
- Modèle 1 GHz, 50 Ohm
- 20 MHz, 200 MHz, 250 MHz, 350 MHz, 500 MHz et 1 GHz
- Filtrage de la bande passante optimisé pour
- Planéité ou réponse transitoire
- Bruit aléatoire, efficace, type
- 50 Ω, standard
25 Géch/s, mode Echantillon, efficace V/div 1 mV/div 2 mV/div 5 mV/div 10 mV/div 20 mV/div 50 mV/div 100 mV/div 1 V/div 8 GHz 158 μV 158 μV 208 μV 342 μV 630 μV 1,49 mV 3,46 mV 29,7 mV 7 GHz 141 μV 143 μV 192 μV 311 μV 562 μV 1,31 mV 3,11 mV 26,2 mV 6 GHz 127 μV 127 μV 165 μV 274 μV 489 μV 1,18 mV 2,71 mV 23,6 mV 5 GHz 112 μV 113 μV 149 μV 239 μV 446 μV 1,05 mV 2,42 mV 21,1 mV 12,5 Géch/s, mode Haute résolution, efficace V/div 1 mV/div 2 mV/div 5 mV/div 10 mV/div 20 mV/div 50 mV/div 100 mV/div 1 V/div 4 GHz 97,4 μV 98,7 μV 124 μV 192 μV 344 μV 817 μV 1,92 mV 16,3 mV 3 GHz 82,9 μV 84 μV 105 μV 160 μV 282 μV 680 μV 1,62 mV 13,6 mV 2,5 GHz 76,5 μV 77,5 μV 93,8 μV 144 μV 257 μV 606 μV 1,44 mV 12,1 mV 2 GHz 68,1 μV 69,1 μV 83,6 μV 131 μV 226 μV 528 μV 1,28 mV 10,6 mV 1 GHz 54,8 μV 51,2 μV 63,4 μV 90,9 μV 160 μV 378 μV 941 μV 7,65 mV 500 MHz 39,7 μV 39,8 μV 48,1 μV 65,1 μV 115 μV 280 μV 666 μV 5,6 mV 350 MHz 33,8 μV 33,5 μV 40 μV 54,8 μV 94,3 μV 217 μV 560 μV 4,35 mV 250 MHz 30,8 μV 31,2 μV 36,1 μV 49,9 μV 80,3 μV 187 μV 482 μV 3,75 mV 200 MHz 25,3 μV 25,4 μV 29,7 μV 44 μV 70,7 μV 165 μV 445 μV 3,3 mV 20 MHz 8,68 μV 8,9 μV 10,4 μV 15,1 μV 27,5 μV 70,4 μV 158 μV 1,41 mV
- Diaphonie (isolement des voies), standard
≥ -80 dB jusqu’à 2 GHz
≥ -65 dB jusqu’à 4 GHz
≥ -55 dB jusqu’à 8 GHz
pour deux voies définies sur 200 mV/div, quelles qu’elles soient.
Système horizontal
- Plage de la base de temps
- 40 ps/div à 1 000 s/div
- Plage de fréquences d’échantillonnage
6,25 éch./s à 25 Géch./s (temps réel)
50 Géch./s à 2.5 Téch./s (interpolé)
- Plage de longueurs d’enregistrement
Tous les modes d’acquisition offrent une longueur d’enregistrement standard de 250 millions de points maximum, avec un minimum de 1 000, réglable par incréments de 1 échantillon.
Standard : 125 millions de points
Option 6-RL-2 : 250 millions de points
- Plage s/div
Longueur d’enregistrement 1 000 10 000 100 000 1 M 10 M 62,5 M 125 M 250 M Standard : 125 M 40 ps - 16 s 400 ps - 160 s 4 ns - 1 000 s 2,5 μs - 1 000 s 5 μs - 1 000 s S/O Option 6-RL-2 : 250 M 40 ps - 16 s 400 ps - 160 s 4 ps - 1 000 s 2,5 μs - 1 000 s 5 μs - 1 000 s 10 μs - 1 000 s
- Imprécision d’ouverture
Durée Gigue standard < 1 μs 80 fs < 1 ms 130 fs
- Précision de la base de temps
±1,0 x10-7au-delà de tout intervalle de temps ≥1 ms
Description Spécification Tolérance d’usine ± 12 ppb. À l’étalonnage, 25 °C en température ambiante, pour tout intervalle ≥1 ms Stabilité thermique ±20 ppb sur l’ensemble de la plage de fonctionnement de 0 °C à 50 °C, après un temps d’immersion suffisant à température. Testé aux températures de fonctionnement Vieillissement des cristaux ± 300 ppb. La tolérance de fréquence change à 25 °C sur une période d’un an
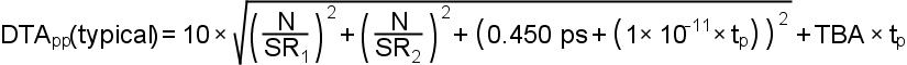
- Précision de la mesure de l'écart de temps


(hypothèse selon laquelle la forme du front dépend de la réponse du filtre gaussien)
La formule pour calculer la précision de la mesure de temps Delta (DTA) pour la configuration et le signal d'entrée d'un instrument donné est disponible ci-dessous en supposant un signal insignifiant au dessus de la fréquence de Nyquist :
SR1= vitesse de montée (1erfront) à proximité du 1erpoint pour la mesure
SR2= vitesse de montée (2ndfront) à proximité du 2ndpoint pour la mesure
N = limite de bruit garantie référencée à l’entrée (Vefficace)
TBA = précision de la base de temps ou erreur de la fréquence de référence
t p= durée de mesure de l'écart de temps (sec)
1Le bruit dynamique correspond au bruit apparaissant lorsqu’un signal est appliqué (par ex. une distorsion ou des erreurs d’entrelacement).
- Durée maximum à la fréquence d’échantillonnage la plus élevée
5 ms (standard) ou 10 ms (option 6-RL-2, 250 millions de points)
- Plage de retard de la base de temps
- -10 divisions à 5 000 s
- Plage de compensation
-125 ns à +125 ns avec une résolution de 40 ps (pour les modes d’acquisition Détection de crête et Enveloppe)
-125 ns à +125 ns avec une résolution de 1 ps (pour tous les autres modes d’acquisition)
- Retard entre les voies analogiques, pleine bande passante, standard
≤ 10 ps pour deux voies, quelles qu’elles soient, avec impédance d’entrée définie sur 50 Ω, couplage CC avec valeur Volts/div équivalente ou supérieure à 10 mV/div
Système de déclenchement
- Modes de déclenchement
- Auto, Normal et Simple
- Couplage du déclenchement
CC, réjection HF (atténue les signaux >50 kHz), réjection BF (atténue les signaux <50 kHz) et réjection de bruit (réduit la sensibilité)
- Bande passante de déclenchement (front, impulsion et logique), standard
Modèle Type de déclenchement Bande passante de déclenchement 8 GHz Front 8 GHz 8 GHz Impulsion, Logique 4 GHz 6 GHz Front 6 GHz 6 GHz Impulsion, Logique 4 GHz 4 GHz, 2,5 GHz, 1 GHz : Front, Impulsion, Logique Bande passante produit
- Sensibilité de déclenchement sur front, couplé DC, standard
Chemin Plage Spécification Chemin 50 Ω 1 mV/div à 9,98 mV/div 3,0 div de CC à la bande passante de l’instrument ≥ 10 mV/div < 1,0 div de CC à la bande passante de l’instrument Ligne Tension de ligne 90 V à 264 V à une fréquence de ligne de 50 - 60 Hz 103,5 V à 126,5 V Entrée déclenchement auxiliaire 250 mVPP, CC à 400 MHz
- Sensibilité de déclenchement sur front, non couplé DC, standard
Couplage du déclenchement Sensibilité typique REJET BRUIT 2,5 fois les limites couplées CC REJET HF 1 fois les limites de couplage CC, de CC à 50 kHz. Atténue les signaux au-dessus de 50 kHz. REJET BF 1,5 fois les limites de couplage CC, pour les fréquences supérieures à 50 kHz. Atténue les signaux en dessous de 50 kHz.
- Gigue de déclenchement, standard
≤ 1,5 pseffpour le mode échantillonnage et un déclenchement sur front
≤ 7 pseff≤ 2 pseffpour un déclenchement sur front et le mode FastAcq
≤ 40 pseffpour les modes de déclenchement autres que front
≤ 40 pseffpour l’entrée de déclenchement auxiliaire, le mode d’acquisition Echantillon et le déclenchement sur front
≤ 40 psrmspour l’entrée de déclenchement auxiliaire, le mode d’acquisition FastAcq et le déclenchement sur front
- Gigue de déclenchement, entrée AUX, standard
≤ 200 pseffpour le mode échantillonnage et un déclenchement sur front
≤ 220 pseffpour un déclenchement sur front et le mode FastAcq
- Distorsion de déclenchement d’entrée auxiliaire entre instruments, standard
Gigue de ± 100 ps sur chaque instrument avec distorsion < 450 ps ; < 550 ps au total entre les instruments. La compensation peut être effectuée manuellement afin que la distorsion voie à voie soit < 200 ps entre les instruments, avec l’entrée AUX In.
La distorsion s’améliore avec des tensions d’entrée d’impulsion ≥ 1 Vpp
- Plages de niveaux de déclenchement
Source Plage Toute voie ± 5 divisions du centre de l’écran Entrée déclenchement auxiliaire ± 5 V Ligne Constante à environ 50 % de la tension de la ligne Cette spécification s’applique aux seuils logique et impulsion.
- Compteur de fréquence de déclenchement
8 chiffres (gratuit avec l’enregistrement du produit)
- Types de déclenchement
- Front :
- Pente positive, négative ou indifférente sur n’importe quelle voie. Le couplage inclut CC, AC, réjection du bruit, réjection HF et réjection BF.
- Largeur d’impulsion :
Déclenchement possible sur la largeur d’impulsions positives ou négatives. L’événement peut être qualifié en temps ou en logique.
- Délai d’attente :
- Déclenchement sur un événement qui reste haut, bas ou l’un ou l’autre pendant une durée spécifiée. L’événement peut être qualifié en logique.
- Runt :
- Déclenchement sur une impulsion franchissant un seuil, mais ne parvenant pas à franchir un second seuil avant de franchir à nouveau le premier. L’événement peut être qualifié en temps ou en logique.
- Fenêtre :
- Déclenchement sur un événement qui entre, sort, reste à l’intérieur ou à l’extérieur d’une fenêtre définie par deux seuils réglables par l’utilisateur. L’événement peut être qualifié en temps ou en logique.
- Logique :
- Déclenchement lorsque le mot logique devient vrai, faux ou se produit simultanément avec un front d’horloge. Mot logique (AND, OR, NAND, NOR) spécifié pour toutes les voies d’entrée, définies comme haute, basse ou indifférente. Le mot logique devenant vrai peut être qualifié en temps.
- Setup et Hold :
- Déclenchement sur les violations de setup et hold entre une horloge et des données présentes sur une des voies d’entrée analogiques et numériques.
- Temps de montée / de descente :
- Déclenchement sur les fréquences de front d’impulsion supérieures ou inférieures à la vitesse spécifiée. La pente peut être positive, négative ou nulle. L’événement peut être qualifié en logique.
- Séquence :
Déclenchement sur l’événement B X temps ou sur N après le déclenchement A avec remise à zéro à l’événement C. En général, les événements de déclenchement A et B peuvent être définis sur n’importe quel type de déclenchement, à quelques exceptions près : la qualification logique n’est pas prise en charge, si l’événement A ou B est défini sur Établissement et maintien, l’autre doit être défini sur Front ; la liaison Ethernet et USB haut débit (480 Mb/s) n’est pas prise en charge.
- Déclenchement visuel
- Qualifie les déclenchements standard en analysant toutes les acquisitions de signal et en les comparant aux zones affichées à l’écran (formes géométriques). Vous pouvez définir un nombre illimité de zones, en leur attribuant à chacune un qualificatif : Dedans, Dehors ou Sans importance. Vous pouvez définir une expression booléenne intégrant la combinaison de votre choix de zones de déclenchement visuel, afin de qualifier plus en détail les événements enregistrés dans la mémoire d’acquisition. Les formes disponibles incluent : rectangle, triangle, trapèze, hexagone et forme définie par l’utilisateur
- Bus parallèle :
- Déclenchement sur une valeur de données de bus parallèle. Le bus parallèle peut afficher une taille comprise entre 1 et 4 bits (à partir des voies analogiques). Les bases binaires et hexadécimales sont prises en charge.
- Bus I2C (option 6-SREMBD) :
- Déclenchement sur départ, départ répété, arrêt, accusé de réception manquant, adresse (7 ou 10 bits), données ou adresse et données sur bus I2C jusqu'à 10 Mbit/s.
- Bus SPI (option 6-SREMBD) :
- Déclenchement sur SS (Slave Select), durée d'inactivité ou données (1 à 16 mots) sur bus SPI jusqu'à 20 Mb/s
- Bus RS-232/422/485/UART (option 6-SRCOMP) :
- Déclenchement sur bit de début, fin de paquet, données et erreur de parité jusqu'à 15 Mb/s
- Bus CAN (option 6-SRAUTO) :
- Déclenchement sur début de trame, type de trame (données, distant, erreur ou surcharge), identificateur, données, identificateur et données, fin de trame, accusé de réception absent et erreur de bourrage des bits sur bus CAN jusqu’à 1 Mbits/s
- Bus CAN FD (option 6-SRAUTO) :
- Déclenchement sur début de trame, type de trame (données, distant, erreur ou surcharge), identificateur (standard ou étendu), données (1-8 octets), identificateur et données, fin du trame, erreur sur bus CAN FD jusqu’à 16 Mbits/s (accusé de réception. manquant, erreur de bourrage, erreur de formulaire FD, toute erreur)
- Bus LIN (option 6-SRAUTO) :
- Déclenchement sur synchro, identificateur, données, identificateur et données, trame de réveil, trame de veille et erreur sur bus LIN jusqu'à 1 Mb/s
- Bus FlexRay (Option 6-SRAUTO) :
- Déclenchement sur début de trame, bits indicateurs (normal, charge, null, sync, démarrage), ID de trame, nombre de cycles, champs d’en-tête (bits indicateurs, identificateur, longueur de la charge, CRC d’en-tête et nombre de cycles), identificateur, données, identificateur et données, fin de trame et erreur sur bus FlexRay jusqu’à 10 Mb/s
- Bus SENT (option 6-SRAUTOSEN) :
- Déclenchement sur début de paquet, données et statut de voie Fast, données et ID de message de voie et erreur CRC
- Bus SPMI (option 6-SRPM) :
- Déclenchement sur condition de début de séquence, réinitialisation, veille, arrêt, activation, authentification, lecture maître, écriture maître, lecture de registre, écriture de registre, lecture de registre étendue, écriture de registre étendue, lecture de registre étendue longue, écriture de registre étendue longue, lecture maître de bloc descripteur d’appareil, lecture esclave de bloc descripteur d’appareil, écriture 0 de registre, propriété du bus de transfert et erreur de parité
- Bus USB 2.0 LS/FS/HS (option 6-SRUSB2) :
- Déclenchement sur synchro, réinitialisation, arrêt momentané, reprise, fin de paquet, paquet de jeton (adresse), paquet de données, paquet d’établissement de liaison, paquet spécial, erreur sur bus USB jusqu’à 480 Mb/s.
- Bus Ethernet (option 6-SRENET) :
- Déclenchement sur début de trame, adresses MAC, Q-Tag MAC, longueur/type MAC, données MAC, en-tête IP, en-tête TCP, données TCP/IPV4, fin de paquet et erreur FCS (CRC) sur les bus 10BASE-T et 100BASE-TX.
- Bus audio (I2S, LJ, RJ, TDM) (option 6-SRAUDIO) :
- Déclenchement sur sélection de mot, synchronisation de trames ou données. Le débit maximal des données pour I2S/LJ/RJ est égal à 12,5 Mbits/s. Le débit maximum des données pour TDM est égal à 25 Mbit/s.
- Bus MIL-STD-1553 (option 6-SRAERO) :
- Déclenchement sur synchro, Commande (bit de transmission/réception, adresse secondaire/mode, compte de mots/compte de mode, adresse RT), État (parité, erreur de messages, instrumentation, demande d’entretien, commande de diffusion reçue, occupé, marqueur d’adresse secondaire, acceptation de contrôle de bus dynamique, marqueur terminal), Données, Temps (RT/IMG) et Erreur (erreur de parité, erreur de synchro, erreur Manchester, données non contigües) sur bus MIL-STD-1553
- Bus ARINC 429 (option 6-SRAERO) :
- Déclenchement sur Début de mot, Libellé, Données, Libellé et données, Fin de mot et Erreur (toute erreur, erreur de parité, erreur de mot, erreur d’intervalle) sur bus ARINC 429 jusqu’à 1 Mbit/s
- Plage d’inhibition du déclenchement
- 0 ns à 10 secondes
Système d'acquisition
- Échantillonnage
- Acquisition de valeurs échantillonnées.
- Détection de crête
- Capture les parasites aussi faibles que à toutes les vitesses de balayage
- Moyennage
- De 2 à 10 240 signaux
- Enveloppe
- Enveloppe mini/maxi reflétant les données de détection de crête pour plusieurs acquisitions
- Haute résolution
Applique un filtre à réponse impulsionnelle finie (FIR) pour chaque fréquence d’échantillonnage qui maintient la bande passante la plus élevée possible pour cette fréquence d’échantillonnage, tout en empêchant le crénelage et en éliminant le bruit au niveau des convertisseurs ADC et des amplificateurs de l’oscilloscope au-delà de la bande passante utilisable pour la fréquence d’échantillonnage sélectionnée.
Le mode Haute résolution offre toujours au moins 12 bits de résolution verticale et peut atteindre 16 bits aux fréquences d’échantillonnage ≤ 625 Méch./s.
- FastAcq®
La fonction FastAcq optimise l'instrument pour l'analyse de signaux dynamiques et la capture d'événements rares.
Vitesse maximale d'acquisition des signaux :
> 500 000 signaux/s (détection de crête ou mode d’acquisition Enveloppe)
> 30 000 signaux/s (tous les autres modes d’acquisition)
- Mode Défilement
Fait défiler les échantillons séquentiels sur l’écran dans un mouvement horizontal de droite à gauche à des vitesses de base de temps de 40 ms/div et plus lentes en mode de déclenchement automatique.
- FastFrame™
Mémoire d’acquisition divisée en segments.
Vitesse de déclenchement maximum > 5 000 000 de signaux par seconde
Taille de trame minimum = 50 points
Nombre de trames maximum : pour une taille de trame ≥ 1 000 points, nombre maximum de trames = longueur d’enregistrement/taille de trame.
Pour des trames de 50 points, nombre de trames maximum = 691 000
Mesures de signal
- Types de curseur
- Forme d’onde, Barres V, Barres H, Barres V&H
- Précision de mesure de tension CC, mode d’acquisition moyennage
Type de mesure Précision CC (en volts) Moyenne sur ≥ 16 signaux ±((Précision du gain CC) * |mesure - (décalage - position) | + précision du décalage + 0,05 * Valeur V/div définie) Écart en volts entre deux moyennes basses sur au moins 16 signaux capturés dans les mêmes conditions ambiantes et de configuration d’oscilloscope ± (Précision du gain CC * | mesure | + 0,1 div)
- Mesures automatiques
36, que vous pouvez afficher en nombre illimité, soit sous forme de vignettes de mesure individuelles, soit collectivement dans un tableau de résultats de mesure
- Mesures d’amplitude
Amplitude, Maximum, Minimum, Crête-à-crête, Suroscillation positive, Suroscillation négative, Moyenne, Valeur efficace, Valeur CA efficace, Haut, Base et Surface
- Mesures temporelles
Période, Fréquence, Intervalle unité, Débit de données, Largeur d’impulsion positive, Largeur d’impulsion négative, Distorsion, Retard, Temps de montée, Temps de descente, Phase, Vitesse de montée, Vitesse de descente, Largeur de salve, Rapport cyclique positif, Rapport cyclique négatif, Niveau temporel extérieur, Temps d’établissement, Temps de maintien, Durée N périodes, Valeur temporelle élevée et Valeur temporelle faible
- Mesures de gigue (standard)
- TIE et Bruit de phase
- Statistiques de mesure
- Moyenne, Écart type, Maximum, Minimum et Population. Les statistiques sont disponibles sur l’acquisition en cours et sur l’ensemble des acquisitions.
- Niveaux de référence
- Des niveaux de référence personnalisés pour les mesures automatiques peuvent être spécifiés en pourcentage ou en unités. Les niveaux de référence peuvent être définis globalement pour l’ensemble des mesures, par voie ou signal source, ou pour chaque mesure individuelle.
- Fenêtrage
- Ecran, Curseurs, Logique, Recherche ou Temps. Indique la région où les mesures d’acquisition seront effectuées. L’option Fenêtrage peut être définie sur Mondial (affecte l’ensemble des mesures ainsi configurées) ou Local (toutes les mesures peuvent posséder un paramètre Fenêtre de temps individuel ; une seule fenêtre Local est disponible pour les actions Ecran, Curseurs, Logique et Recherche).
- Tracés de mesure
- Les tracés Évolution chronologique, Histogramme et Spectre sont disponibles pour toutes les mesures standard.
- L’analyse de la gigue ajoute les éléments suivants :
- Mesures
Synthèse de la gigue, TJ@BER, RJ- δδ, DJ- δδ, PJ, RJ, DJ, DDJ, DCD, SRJ, J2, J9, NPJ, F/2, F/4, F/8, Hauteur de l’œil, Hauteur de l’œil au BER, Largeur de l’œil, Largeur de l’œil au BER, Œil haut, Œil bas, Facteur Q, Bit haut, Bit bas, Amplitude de bit, Mode commun CC, Mode commun AC (crête-à-crête), Convergence différentielle, Rapport T/nT, Déviation de fréquence SSC, Taux de modulation SSC
- Tracés de mesure
- Diagramme de l’œil et courbe de gigue en baignoire
- Diagramme de l’œil, Test de masque
Procédure automatisée de tests Réussite/Echec de masque
- L’analyse de puissance ajoute les éléments suivants :
- Mesures
Analyse d’entrée (fréquence, Veff, Ieff, facteurs de crête de tension et de courant, puissance réelle, puissance apparente, puissance réactive, facteur de puissance, angle de phase, harmoniques, courant de démarrage, capacité d’entrée)
Analyse d’amplitude (amplitude de cycle, sommet de cycle, base de cycle, maximum de cycle, minimum de cycle, crête-à-crête de cycle)
Analyse du temps (période, fréquence, rapport cyclique négatif, rapport cyclique positif, largeur d'impulsion négative, largeur d'impulsion positive)
Analyse de commutation (perte de commutation, dv/dt, di/dt et zone de fonctionnement sûr, RDSon)
Analyse magnétique (Inductance, I par rapport à Intg(V), perte magnétique, propriété magnétique)
Analyse de sortie (ondulation de ligne, ondulation de commutation, efficacité, temps d’activation, temps de désactivation)
Analyse de la réponse de fréquence (diagramme de Bode de la réponse de boucle de commande, taux de réjection de l’alimentation, impédance)
- Tracés de mesure
- Graphique en barres des harmoniques, tracé de trajectoire de perte de commutation et zone de fonctionnement sûr
- La gestion de l’alimentation numérique ajoute les éléments suivants :
- Mesures
Analyse de l’ondulation (Ondulation)
Analyse transitoire (Suroscillation, Sous-oscillation)
Analyse de la séquence d’alimentation (Activation, Désactivation)
- L’option d’analyse et de débogage de la mémoire DDR3/LPDDR3 (6-DBDDR3) ajoute les éléments suivants :
- Mesures
Mesures d’amplitude (AOS, AUS, Vix(ac), AOS Per tCK, AUS Per tCK, AOS Per UI, AUS Per UI)
Mesures de temps (tRPRE, tWPRE, tPST, Hold Diff, Setup Diff, tCH(avg), tCK(avg), tCL(avg), tCH(abs), tCL(abs), tJIT(duty), tJIT(per), tJIT(cc), tERR(n), tERR(m-n), tDQSCK, tCMD-CMD, tCKSRE, tCKSRX)
Opération math sur les signaux
- Nombre de signaux mathématiques
- Illimité
- Arithmétique
- Addition, soustraction, multiplication et division des signaux et des valeurs scalaires
- Expressions algébriques
- Définition d’expressions algébriques complexes, y compris sur les signaux, les variables réglables par l’utilisateur et les résultats des mesures paramétrées. Opérations mathématiques utilisant des équations complexes. Ex. (Intégrale (CH1 – Moyenne (CH1)) × 1,414 × VAR1)
- Fonctions mathématiques
- Inversion, Intégration, Différentielle, Racine carrée, Exponentielle, Log 10, Log e, Abs, Plafond, Plancher, Mini, Maxi, Degrés, Radians, Sin, Cos, Tan, ASin, ACos et ATan
- Opérations relationnelles
- Résultat logique des comparaisons >, <, ≥, ≤, = et ≠
- Logique
- AND, OR, NAND, NOR, XOR et EQV
- Fonctions de filtrage
- Filtres configurables par l’utilisateur. Les utilisateurs spécifient un fichier qui contient les coefficients du filtre.
- Fonctions FFT
- Amplitude spectrale et phase, spectres réel et imaginaire
- Unités verticales FFT
Amplitude : Linaire et Log (dBm)
Phase : Degrés, Radians et Retard groupé
- Fonctions de fenêtrage FFT
- Hanning, Rectangulaire, Hamming (fenêtrage), Blackman-Harris, Flattop2, Gaussien, Kaiser-Bessel et TekExp
Vue Spectre
- Fréquence centrale
- Limitée par la bande passante analogique de l’instrument
- Plage
- 74,5 Hz – 1,25 GHz (standard)
74,5 Hz – 2 GHz (option 6-SV-BW-1)
Réglage approximatif dans une séquence 1-2-5
- Représentations RF/Temps
- Amplitude/temps, fréquence/temps, phase/temps
- Bande passante de résolution (RBW)
- 93 μHz à 62,5 MHz
93 μHz à 100 MHz (option 6-SV-BW-1)
- Types de fenêtre et facteurs
Type de fenêtre Facteur Blackman-Harris 1,90 Flat-Top 2 3,77 Hamming 1,30 Hanning 1,44 Kaiser-Bessel 2,23 Rectangulaire 0,89
- Temps du spectre
- Facteur de fenêtre FFT / RBW
- Niveau de référence
- Le niveau de référence est défini automatiquement par le paramètre Volts/div de la voie analogique
Plage de configuration : -42 dBm à +44 dBm
- Position verticale
- -100 à +100 divisions
- Unités verticales
- dBm, dBµW, dBmV, dBµV, dBmA, dBµA
Recherche
- Nombre de recherches
- Illimité
- Types de recherche
Recherche dans les enregistrements longs afin de trouver toutes les occurrences des critères spécifiées par l’utilisateur, notamment : fronts, largeurs d’impulsion, délais d’attente, petites impulsions, violations de fenêtre, séquences logiques, violations d’établissement et de maintien, temps de montée/descente et événements de protocole de bus. Vous pouvez consulter les résultats de la recherche dans la fenêtre d’affichage du signal ou dans le tableau des résultats.
Écran
- Type d’écran
- Moniteur externe
- Horizontal 1 920 pixels x Vertical 1 080 pixels (haute définition)
- Modes d’affichage
Chevauchement : affichage d’oscilloscope traditionnel où les tracés se chevauchent.
Empilé : mode d’affichage où chaque signal est placé dans sa propre tranche, permettant de visualiser l’ensemble de la plage ADC tout en séparant clairement les différents signaux. Vous pouvez également superposer des groupes de voie dans une tranche, afin de simplifier la comparaison visuelle des signaux.
- Zoom
- Prise en charge du zoom horizontal et vertical dans toutes les vues de signal et de tracé.
- Interpolation
- Sinus(x)/x et linéaire
- Styles de signaux
- Vecteurs, points, persistance variable et persistance infinie.
- Réticules
- Réticules fixes et mobiles, sélectionnables dans les modes Grille, Temps, Complet et Aucun
- Palettes de couleurs
- Normale et inversée pour les captures d’écran
L’utilisateur peut sélectionner des couleurs de signal individuelles
- Format
- YT, XY et XYZ
- Interface utilisateur en langue locale
- Anglais, Japonais, Chinois simplifié, Chinois traditionnel, Français, Allemand, Italien, Espagnol, Portugais, Russe, Coréen.
- Aide en langue locale
- Anglais, Japonais, Chinois simplifié
Générateur de fonctions arbitraires en option
- Types de fonction
- Arbitraire, sinusoïdale, carré, impulsion, rampe, triangle, niveau CC, gaussienne, lorentz, montée/descente exponentielle, sinus(x)/x, bruit aléatoire, demi-sinus verse, cardiaque
- Plage d'amplitude
- Les valeurs indiquées correspondent à des tensions crête-à-crête.
Signal 50 Ω 1 MΩ Arbitraire 10 mV à 2.5 V 20 mV à 5 V Sinus 10 mV à 2,5 V 20 mV à 5 V Carré 10 mV à 2,5 V 20 mV à 5 V Impulsion 10 mV à 2,5 V 20 mV à 5 V Rampe 10 mV à 2,5 V 20 mV à 5 V Triangle 10 mV à 2,5 V 20 mV à 5 V Gaussien 10 mV à 1,25 V 20 mV à 2,5 V Lorentz 10 mV à 1,2 V 20 mV à 2,4 V Montée exponentielle 10 mV à 1,25 V 20 mV à 2,5 V Descente exponentielle 10 mV à 1,25 V 20 mV à 2,5 V Sinus(x)/x 10 mV à 1,5 V 20 mV à 3,0 V Bruit aléatoire 10 mV à 2,5 V 20 mV à 5 V Demi-sinus verse 10 mV à 1,25 V 20 mV à 2,5 V Cardiaque 10 mV à 2,5 V 20 mV à 5 V
- Signal sinusoïdal
- Plage de fréquences
- 0,1 Hz à 50 MHz
- Résolution de la définition de fréquence
- 0,1 Hz
- Précision de la fréquence
- 130 ppm (fréquence ≤ 10 kHz), 50 ppm (fréquence > 10 kHz)
Ceci concerne les signaux Sinus, Rampe, Carré et Impulsion uniquement.
- Plage d'amplitude
- 20 mVpp à 5 Vpp dans Hi-Z ; 10 mVpp à 2,5 Vpp dans 50 Ω
- Planéité d’amplitude, standard
± 0,5 dB à 1 kHz
± 1,5 dB à 1 kHz pour des amplitudes < 20 mVpp
- Distorsion harmonique totale, standard
1 % pour une amplitude ≥ 200 mVppdans la charge 50 Ω
2,5 % pour une amplitude > 50 mV ET < 200 mVppsur charge 50 Ω
Ceci concerne les signaux Sinus uniquement.
- Plage dynamique libre pour les parasites, standard
40 dB (Vpp≥ 0,1 V); 30 dB (Vpp≥ 0,02 V), charge 50 Ω
- Signal carré ou d’impulsion
- Plage de fréquences
- 0,1 Hz à 25 MHz
- Résolution de la définition de fréquence
- 0,1 Hz
- Précision de la fréquence
- 130 ppm (fréquence ≤ 10 kHz), 50 ppm (fréquence > 10 kHz)
- Plage d'amplitude
- 20 mVpp à 5 Vpp dans Hi-Z ; 10 mVpp à 2,5 Vpp dans 50 Ω
- Plage de rapport cyclique
- Valeur la plus élevée entre 10 % à 90 % et 10 ns d’impulsion minimum
La durée d’impulsion minimum s’applique aussi bien au temps de début et au temps d’arrêt, le rapport cyclique maximum sera donc réduit aux fréquences élevées, pour conserver un temps d’arrêt de 10 ns.
- Résolution du rapport cyclique
- 0,1 %
- Largeur d’impulsion minimum, standard
- 10 ns. Il s’agit de la durée minimum des temps de fonctionnement ou d’arrêt.
- Temps de montée/descente, standard
- 5 ns, 10 % - 90 %
- Résolution de la largeur des impulsions
- 100 ps
- Suroscillation, standard
- < % pour les mesures de signal supérieures à 100 mVpp
Cela s’applique à la suroscillation de la transition sur front ascendant (Suroscillation +) et sur front descendant (Suroscillation -).
- Asymétrie, standard
- ±1 % ±5 ns pour un rapport cyclique de 50 %
- Gigue, standard
- < 60 ps TIEeff, ≥ 100 mVpp d’amplitude, 40 %-60 % de rapport cyclique
- Signal de rampe ou triangulaire
- Plage de fréquences
- 0,1 Hz à 500 kHz
- Résolution de la définition de fréquence
- 0,1 Hz
- Précision de la fréquence
- 130 ppm (fréquence ≤ 10 kHz), 50 ppm (fréquence > 10 kHz)
- Plage d'amplitude
- 20 mVpp à 5 Vpp dans Hi-Z ; 10 mVpp à 2,5 Vpp dans 50 Ω
- Symétrie variable
- 0 % - 100 %
- Résolution de la symétrie
- 0,1 %
- Plage de niveaux CC
± 2,5 V dans Hi-Z
± 1,25 V dans 50 Ω
- Plage d’amplitudes de bruit aléatoire
20 mVppà 5 Vppdans Hi-Z
10 mVppà 2,5 Vppdans 50 Ω
- Sinus(x)/x
- Fréquence maximum
- 2 MHz
- Impulsion gaussienne, Demi-sinus verse et Impulsion Lorentz
- Fréquence maximum
- 5 MHz
- Impulsion Lorentz
- Plage de fréquences
- 0,1 Hz à 5 MHz
- Plage d'amplitude
- 20 mVpp à 2,4 Vpp dans Hi-Z
10 mVppà 1,2 Vppdans 50 Ω
- Cardiaque
- Plage de fréquences
- 0,1 Hz à 500 kHz
- Plage d'amplitude
- 20 mVpp à 5 Vpp dans Hi-Z
10 mVppà 2,5 Vppdans 50 Ω
- Arbitraire
- Profondeur mémoire
- 1 à 128 k
- Plage d'amplitude
- 20 mVpp à 5 Vpp dans Hi-Z
10 mVppà 2,5 Vppdans 50 Ω
- Vitesse de répétition
- 0,1 Hz à 25 MHz
- Fréquence d’échantillonnage
- 250 Méch./s
- Précision de l’amplitude du signal
- ±[ (1,5 % du réglage de l’amplitude crête/crête) + (1,5 % du réglage du décalage CC absolu) + 1 mV ] (fréquence = 1 kHz)
- Résolution de l’amplitude du signal
1 mV (Hi-Z)
500 μV (50 Ω)
- Précision de la fréquence des signaux sinusoïdaux et de rampe
130 ppm (fréquence ≤ 10 kHz)
50 ppm (fréquence > 10 kHz)
- Plage de décalage CC
± 2,5 V dans Hi-Z
± 1,25 V dans 50 Ω
- Résolution du décalage CC
1 mV (Hi-Z)
500 μV (50 Ω)
- Précision du décalage CC
+/-[ (1,5 % du paramètre de tension de décalage absolu) + 1 mV ]
Ajouter 3 mV d'incertitude par variation de 10°C à partir de la température ambiante de 25°C
Voltmètre numérique (DVM)
- Types de mesures
CC, CAeff+CC, CAeff, mesure de la fréquence de déclenchement
- Résolution de tension
- 4 chiffres
- Précision de la tension
- CC :
± (1,5 % |mesure - décalage - position|) + (0,5 % |(décalage - position)|) + (0,1 * Volts/div))
Déclassement à 0,100 %/°C de |mesure - décalage - position| au dessus de 30 °C
Signal ± 5 divisions par rapport au centre de l’écran
- CA :
± 3 % (40 Hz à 1 kHz) sans contenu d’harmonique hors de la plage 40 Hz à 1 kHz
CA, standard : ± 2 % (20 Hz à 10 kHz)
Pour les mesures CA, les réglages verticaux de la voie d’entrée doivent permettre au signal d’entrée Vppde couvrir de 4 à 10 divisions, et être parfaitement visibles à l’écran.
Compteur de fréquence de déclenchement
- Résolution
8 chiffres
- Précision
± (1 compte + précision de la base de temps * fréquence d’entrée)
Le signal doit être d’au moins 8 mVppou 2 div, à la plus haute valeur des deux.
- Fréquence d’entrée maximum
10 Hz à la bande passante maximum de la voie analogique
Le signal doit être d’au moins 8 mVppou 2 div, à la plus haute valeur des deux.
Processeur
- Processeur hôte
- Intel i5-4400E, 2,7 GHz, 64 bits, processeur Dual Core
- Stockage interne
- ≥ 80 Go. Format : carte m.2 de 80 mm avec interface SATA-3
- Système d’exploitation
- SE embarqué en circuit fermé. Aucun accès n’est possible au système de fichiers du SE.
Ports d’entrée/sortie
- Connecteur DisplayPort
Connecteur DisplayPort 20 broches, qui permet d’afficher l’écran de l’oscilloscope sur un écran ou un projecteur externe.
- Connecteur DVI
Connecteur DVI-I 29 broches, qui permet d’afficher l’écran de l’oscilloscope sur un écran ou un projecteur externe.
- VGA
Connecteur femelle DB-15, qui permet d'afficher l'écran de l'oscilloscope sur un écran ou un projecteur externe
- Signal compensateur de sonde, standard
- Connexion :
- Connecteurs situés en bas à droite de l’instrument, sur la face avant
- Amplitude :
- 0 à 2,5 V
- Fréquence :
- 1 kHz
- Impédance de source :
- 1 kΩ
- Entrée de référence externe
- Le système de base de temps peut effecteur un verrouillage de phase sur une référence externe de 10 MHz .
Il existe deux plages pour l’horloge de référence.
L’instrument peut accepter une horloge de référence haute précision de 10 MHz ± 2 ppm ou une horloge de référence de moindre précision de 10 MHz ± 1 kppm.
- Interface USB (Hôte, ports périphériques)
Ports USB hôte sur face avant : deux ports USB 2.0 haut débit, un port USB 3.0 très haut débit
Ports USB hôte sur panneau arrière : deux ports USB 2.0 haut débit, deux ports USB 3.0 très haut débit
Ports périphériques USB sur panneau arrière : un port USB 3.0 très haut débit offrant la prise en charge USBTMC et une vitesse de transfert jusqu’à 800 Mb/s.
- Interface Ethernet
- 10/100/1000 Mb/s
- Sortie auxiliaire
Connecteur BNC sur la face arrière La sortie peut être configurée pour fournir une impulsion négative ou positive lorsque l’oscilloscope se déclenche, la sortie interne d’horloge de référence de l’oscilloscope, ou encore une impulsion de synchronisation AFG.
Caractéristique Limites Tension de sortie (HI) ≥ 2,5 V en circuit ouvert ; ≥ 1,0 V pour une charge de 50 Ω à la terre Tension de sortie (LO) ≤ 0,7 V pour une charge de ≤ 4 mA ; ≥ 0,25 V pour une charge de 50 Ω à la terre
- Verrou Kensington
- La fente de sécurité de la face arrière peut accueillir un verrou Kensington standard.
- LXI
Classe : LXI 2016
Version : 1.5
Source d’alimentation
- Alimentation
- Consommation électrique
360 Watts maximum
- Tension de source
- 100 - 240 V ±10 % à 50 Hz-60 Hz
115 V ±10% à 400 Hz
Caractéristiques physiques
- Dimensions
Hauteur : 87,3 mm (3,44 po)
Largeur : 432 mm (17,01 po)
Profondeur : 605,7 mm (23,85 po)
Adapté aux baies d’une profondeur de 610 à 813 mm
- Poids
13,34 kg
- Refroidissement
- L’espacement requis pour un refroidissement adéquat est d’au moins 50,8 mm à droite et à gauche de l’instrument. L’air traverse l’instrument de gauche à droite.
- Configuration pour montage en baie
- Kit de montage en baie 2U inclus dans la configuration standard
Spécifications environnementales
- Température
- En fonctionnement
- +0 °C à +50 °C
- Hors fonctionnement
-20 °C à +60 °C
- Humidité
- En fonctionnement
5 à 90 % d'humidité relative (% HR) jusqu'à 40 °C
5 % d'humidité relative entre 40 et 50 °C, sans condensation
- Hors fonctionnement
5 à 90 % d'humidité relative (% HR) jusqu'à 60 °C, sans condensation
- Altitude
- En fonctionnement
- Jusqu'à 3 000 mètres
- Hors fonctionnement
- Jusqu'à 12 000 mètres
Environnement, sécurité et compatibilité électromagnétique (CEM)
- Réglementation
Marquage CE pour l’Union Européenne et agrément CSA pour les États-Unis et le Canada
Conforme RoHS
Logiciel
- Logiciel
- Pilote IVI
Fournit une interface de programmation d'instruments standard pour des applications courantes comme LabVIEW, LabWindows/CVI, Microsoft .NET et MATLAB. Compatible avec Python, C/C++/C# et de nombreux autres langages, via VISA.
- e*Scope®
Permet de contrôler l’oscilloscope sur une connexion réseau au moyen d’un navigateur web standard. Il vous suffit de saisir l’adresse IP ou le nom de l’oscilloscope sur le réseau et une page Web s’ouvre dans le navigateur. Transférez et enregistrez les réglages, les signaux, les mesures et les copies d’écran ou modifiez les commandes en direct directement à partir du navigateur web.
- Interface Web LXI
Connectez-vous à l’oscilloscope au moyen d’un navigateur Web standard, en saisissant simplement l’adresse IP de l’oscilloscope ou le nom du réseau dans la barre d’adresses du navigateur. L’interface Web permet d’afficher l’état et la configuration de l’instrument, l’état et les modifications des paramètres réseau, et de contrôler l’instrument via la télécommande sur le web e*Scope. Toutes les interactions sur le Web sont conformes à la spécification LXI, version 1.5.
- Exemples de programmation
La programmation sur les plates-formes Série 5 et 6 n’a jamais été aussi facile ! Le manuel du programmateur et le site GitHub vous offrent de nombreux exemples et commandes qui vous aideront à faire vos premiers pas dans l’automatisation à distance de votre instrument. Reportez-vous à la section https://github.com/tektronix/Programmatic-Control-Examples.
Informations de commande
Observez les étapes suivantes pour sélectionner l’instrument et les options qui conviennent le mieux, en fonction de vos besoins de mesure.
Étape 1
- Commencez par sélectionner le modèle.
Modèle Nombre de voies LPD64 4
Chaque modèle comprend les éléments suivants : Attaches pour montage en baie installées Un manuel d’instructions d’installation et de sécurité (en anglais, français et allemand) Aide intégrée Un cordon d’alimentation Un certificat d’étalonnage indiquant la traçabilité conformément aux Instituts nationaux de métrologie et à la qualification au système de qualité ISO9001/ISO17025 Une garantie d’un an couvrant les pièces et la main-d'œuvre de l'instrument.
Étape 2
- Configuration du numériseur à profil bas en sélectionnant la bande passante de voie analogique souhaitée
- Sélectionnez la bande passante souhaitée parmi les options suivantes. Vous pourrez effectuer la mise à niveau ultérieurement, en achetant une option de mise à niveau.
Option de bande passante Bande passante 6-BW-1000 1 GHz 6-BW-2500 2,5 GHz 6-BW-4000 4 GHz 6-BW-6000 6 GHz 6-BW-8000 8 GHz
Étape 3
- Ajout d’une fonctionnalité d’instrument
- Vous pouvez acheter une fonctionnalité en même temps que l’instrument ou ultérieurement à l’aide d’un kit de mise à niveau.
Option d’instrument Fonctionnalité intégrée 6-RL-2 Extension de la longueur d’enregistrement de 125 M points/voie à 250 M points/voie 6-AFG Ajout d’un générateur de fonctions arbitraires
Étape 4
- Ajout de fonctionnalités de recherche, de décodage et de déclenchement de bus série en option
- Choisissez la prise en charge série dont vous avez besoin aujourd’hui, parmi les options d’analyse série suivantes. Vous pouvez mettre cet élément à niveau ultérieurement, en achetant un kit de mise à niveau.
Option d’instrument Bus série pris en charge 6-SRAERO Aérospatiale (MIL-STD-1553, ARINC 429) 6-SRAUDIO Audio (I2S, LJ, RJ, TDM) 6-SRAUTO Automobile (CAN, CAN FD, LIN, FlexRay et décodage des symboles CAN) 6-SRAUTOEN1 Analyse série Automotive Ethernet 100BASE-T1 6-SRAUTOSEN Capteur automobile (SENT) 6-SRCOMP Informatique (RS-232/422/485/UART) 6-SREMBD Embarqué (I2C, SPI) 6-SRENET Ethernet (10BASE-T, 100BASE-TX) 6-SRI3C MIPI I3C (I3C décodage et recherche uniquement) 6-SRPM Gestion de l’alimentation (SPMI) 6-SRSPACEWIRE Analyse série Spacewire 6-SRUSB2 USB (USB2.0 LS, FS, HS)
Étape 5
- Ajout d’une analyse de mémoire en option
Option d’instrument Analyse avancée 6-DBDDR3 Analyse et débogage DDR3 et LPDDR3
Étape 6
- Ajout de fonctionnalités d’analyse en option
Option d’instrument Analyse avancée 6-DJA Analyses avancées de la gigue et de l’œil 6-PWR Mesure et analyse de la puissance 6-DPM Gestion de l'alimentation numérique 6-SV-RFVT Vue Spectre, analyse RF/Temps et transfert à distance des données I&Q 6-SV-BW-1 Vue Spectre, augmentation de la bande passante de capture à 2 GHz 6-PAM3 Analyse PAM3
Étape 7
- Ajout d’accessoires
Accessoires en option Description 020-3180-xx Kit de conversion pour table de travail comprenant quatre (4) pieds d’instruments et une poignée 016-2139-xx Etui de transport rigide avec poignées et roulettes, pour un transport facile 003-1929-xx Clé dynamométrique SMA 8-lb pour le raccordement des câbles SMA 174-6211-xx 2x câbles SMA assortis (1 pS) 174-6212-xx 4x câbles SMA assortis (1 pS) 174-6215-00 Diviseur de puissance, bidirectionnel, 50 Ohm, DC-18 GHz 174-6214-00 Diviseur de puissance, quadri-directionnel, 50 Ohm, DC-18 GHz Adaptateur GPIB-Ethernet Commander le modèle 4865B (adaptateur GPIB-Ethernet pour l’interface de l’instrument) directement sur le site de ICS Electronics
www.icselect.com/gpib_instrument_intfc.html
Étape 8
- Sélectionnez une option de cordon d’alimentation
Option de cordon d’alimentation Description A0 Prise électrique Amérique du Nord (115 V, 60 Hz)
Inclut un mécanisme de fixation du cordon sur l’instrumentA1 Prise électrique universelle Europe (220 V, 50 Hz) A2 Prise électrique Royaume-Uni (240 V, 50 Hz) A3 Prise électrique Australie (240 V, 50 Hz) A5 Prise électrique Suisse (220 V, 50 Hz) A6 Prise électrique Japon (100 V, 50/60 Hz) A10 Prise électrique Chine (50 Hz) A11 Prise électrique Inde (50 Hz) A12 Prise électrique Brésil (60 Hz) A99 Aucun cordon d’alimentation
Étape 9
- Ajout d’options de service étendu et d’étalonnage
Option de service Description G3 Contrat Gold Care 3 ans. Ce contrat inclut la réparation rapide de toutes les pannes, y compris celles consécutives à des décharges électrostatiques ou des surcharges électriques, permet de bénéficier du prêt d’un produit ou d’un échange anticipé afin de réduire le temps d’arrêt et d’un accès prioritaire à l’assistance client. G5 Contrat Gold Care 5 ans. Ce contrat inclut la réparation rapide de toutes les pannes, y compris celles consécutives à des décharges électrostatiques ou des surcharges électriques, permet de bénéficier du prêt d’un produit ou d’un échange anticipé afin de réduire le temps d’arrêt et d’un accès prioritaire à l’assistance client. R3 Garantie standard prolongée à 3 ans. Couvre les pièces, la main d’œuvre et l’expédition en deux jours sur le territoire national. Garantit un délai de réparation plus court qu’en l’absence de couverture spéciale. Toutes les réparations incluent une étalonnage et une mise à jour. Mise en place facile du dossier d’assistance, par simple appel téléphonique. R5 Garantie standard prolongée à 5 ans. Couvre les pièces, la main d’œuvre et l’expédition en deux jours sur le territoire national. Garantit un délai de réparation plus court qu’en l’absence de couverture spéciale. Toutes les réparations incluent une étalonnage et une mise à jour. Mise en place facile du dossier d’assistance, par simple appel téléphonique. C3 Service d’étalonnage 3 ans. Inclut un étalonnage avec traçabilité ou une vérification fonctionnelle de l’instrument, le cas échéant, pour les étalonnages recommandés. La couverture comprend l’étalonnage initial, plus deux ans supplémentaires d’étalonnage. C5 Service d’étalonnage 5 ans Inclut un étalonnage avec traçabilité ou une vérification fonctionnelle de l’instrument, le cas échéant, pour les étalonnages recommandés. La couverture comprend l’étalonnage initial, plus quatre ans supplémentaires d’étalonnage. D1 Rapport de données d’étalonnage D3 Rapport de données d’étalonnage 3 ans (avec option C3) D5 Rapport de données d’étalonnage 5 ans (avec option C5)
Mise à niveau des fonctionnalités après achat
- Ajoutez par la suite des mises à niveau pour votre instrument.
- Sur les instruments de la Série 6, vous disposez de plusieurs possibilités pour ajouter des fonctionnalités après l’achat initial. Les licences fixes activent de façon permanente des fonctionnalités disponibles en option, pour un produit donné. Les licences flottantes permettent de transférer facilement des options achetées sous licence entre différents instruments compatibles.
Fonctionnalité de mise à niveau Mise à niveau de la licence pour un poste Mise à niveau de la licence flottante Description Ajouter des fonctions à l’instrument SUP6-AFG SUP6-AFG-FL Ajouter un générateur de fonctions arbitraires SUP6-RL-2 SUP6-RL-2-FL Augmenter la longueur d’enregistrement à 250 millions de points/voie Ajouter l’analyse de protocole SUP6-SRAERO SUP6-SRAERO-FL Déclenchement et analyse série pour l’aérospatiale (MIL-STD-1553, ARINC 429) SUP6-SRAUDIO SUP6-SRAUDIO-FL Déclenchement et analyse audio (I2S, LJ, RJ, TDM) SUP6-SRAUTO SUP6-SRAUTO-FL Déclenchement et analyse pour l’automobile (CAN, CAN FD, LIN, FlexRay et décodage des symboles CAN) SUP6-SRAUTOEN1 SUP6-SRAUTOEN1-FL Analyse série Ethernet 100Base-T1 pour l’automobile SUP6-SRAUTOSEN SUP6-SRAUTOSEN-FL Déclenchement et analyse série pour les capteurs automobiles (SENT) SUP6-SRCOMP SUP6-SRCOMP-FL Déclenchement et analyse série pour les ordinateurs (RS-232/422/485/UART) SUP6-SREMBD SUP6-SREMBD-FL Déclenchement et analyse série intégrés (I2C, SPI) SUP6-SRENET SUP6-SRENET-FL Déclenchement et analyse série Ethernet (10Base-T, 100Base-TX) SUP6-SRI3C SUP6-SRI3C-FL Analyse et décodage série MIPI I3C SUP6-SRPM SUP6-SRPM-FL Déclenchement et analyse série gestion de l’alimentation (SPMI) SUP6-SRSPACEWIRE SUP6-SRSPACEWIRE-FL Analyse série Spacewire SUP6-SRUSB2 SUP6-SRUSB2-FL Déclenchement et analyse de bus série USB 2.0 (LS, FS, HS) Ajouter une analyse avancée SUP6-DJA SUP6-DJA-FL Ajouter des analyses avancées de la gigue et de l’œil SUP6-PWR SUP6-PWR-FL Analyse et mesure de puissance avancées SUP6-DPM SUP6-DPM-FL Gestion de l’alimentation numérique SUP6-SV-RFVT SUP6-SV-RFVT-FL Vue Spectre, analyse RF/Temps SUP6-SV-BW-1 SUP6-SV-BW-1-FL Vue Spectre, augmentation de la bande passante de capture à 2 GHz SUP6-PAM3 SUP6-PAM3-FL Analyse PAM3 Ajouter une analyse de mémoire SUP6-DBDDR3 SUP6-DBDDR3-FL Analyse et débogage DDR3 et LPDDR3 Ajouter un voltmètre numérique SUP6-DVM N/A Ajouter un voltmètre numérique et un compteur de fréquences de déclenchement (gratuit en enregistrant le produit sur www.tek.com/register6mso)
Mise à niveau de la bande passante après achat
- Mettez à niveau la bande passante de votre instrument ultérieurement.
Vous pouvez améliorer la bande passante analogique de vos numériseurs à profil bas Série 6 après l’achat initial. Les mises à niveau de la bande passante s'achètent en fonction de la bande passante existante et de la bande passante souhaitée. Toutes les mises à niveau de bande passante peuvent être effectuées sur site, en installant une licence logicielle et un nouvel autocollant sur la face avant.
Modèle à mettre à niveau Bande passante avant la mise à niveau Bande passante après la mise à niveau Commander cette mise à niveau de la bande passante LPD64 1 GHz 2,5 GHz SUP6LP-BW10T254 1 GHz 4 GHz SUP6LP-BW10T404 1 GHz 6 GHz SUP6LP-BW10T604 1 GHz 8 GHz SUP6LP-BW10T804 2,5 GHz 4 GHz SUP6LP-BW25T404 2,5 GHz 6 GHz SUP6LP-BW25T604 2,5 GHz 8 GHz SUP6LP-BW25T804 4 GHz 6 GHz SUP6LP-BW40T604 4 GHz 8 GHz SUP6LP-BW40T804 6 GHz 8 GHz SUP6LP-BW60T804





