
Kontaktaufnahme
Live-Chat mit Tektronix-Vertretern. Verfügbar von 9 bis 17 Uhr CET Geschäftstage.
Kontaktieren Sie uns telefonisch unter
Verfügbar von 9 bis 17 Uhr CET Geschäftstage.
Download
Laden Sie Handbücher, Datenblätter, Software und vieles mehr herunter:
Feedback
Niedrigprofil-Digitalisierer der Serie 6
Datenblatt für LPD64
Weitere Informationen
- 6 Series Low Profile Digitalisierer
- Produkt-Support
- Weitere Oszilloskop kaufen Modelle entdecken
Online lesen:

Leistung in Zahlen
Eingangskanäle
- 4 SMA-Eingänge
- Jeder SMA-Eingang unterstützt analoge, spektrale (über DDC) oder beide Signale gleichzeitig
Leistung auf JEDEM Kanal
- Abtastrate: 25 GS/s
- Bandbreite: DC bis 8 GHz (optional)
- Vertikale Auflösung 12 Bit ADC
- Echtzeit 2 GHz DDC (optional)
- Aufzeichnungslänge: 125 Mio. Punkte (Std), 250 Mio. Punkte (optional)
- Niedrigstes Rauschen seiner Klasse
- Höchste ENOB-Anzahl seiner Kasse
- Beste Kanalisolierung seiner Klasse
Digitaler Echtzeit-Abwärtswandler
- Patentierte Steuerung einzelner Zeit- und Frequenzbereiche
- Bis zu 2 GHz Erfassungsbandbreite (optional)
- IQ-Datenübertragungen an einen PC zur Analyse (optional)
- Frequenz im Vergleich zur Zeit , Phase im Vergleich zur Zeit und Vergrößerung im Vergleich zur Zeitdarstellung (optional)
Hervorragendes niedriges Rauschen, hochwertige vertikale Auflösung und hohe Genauigkeit
- Geringes Eingangsrauschen dank neuen TEK061-Frontend-ASICs
- Rauschen bei 1 mV/div: 54,8 uV bei 1 GHz
- Eingangsbereich: 10 mV bis 10 V Vollausschlag
- DC-Verstärkungsgenauigkeit: +/-1,0 % bei allen Verstärkungseinstellungen >1 mV/div
- Effektive Bitanzahl (ENOB):
- 8,2 Bit bei 1 GHz
- 7,6 Bit bei 2,5 GHz
- 7,25 Bit bei 4 GHz
- 6,8 Bit bei 6 GHz
- 6,5 Bit bei 8 GHz
Remote-Kommunikation und -Konnektivität
- Ethernet 10/100/1000 Port
- USB 3.0-Geräteanschluss (USBTMC) mit bis zu 800 Megabit/Sekunde
- LXI 1.5-zertifiziert (VXI-11)
- Einfacher Remote-Zugriff mit e*Scope; geben Sie die IP-Adresse des Instruments in einen Browser ein
- Preisgekrönte Benutzeroberfläche
- Treiber: IVI-C, IVI-COM, LabVIEW
- Unterstützung für VISA, MATLAB, Python, C/C++/C#, Sockets
Messanalyse
- 36 Standardmessungen
- Jitter-Messungen (optional)
- DDR-Messungen (optional)
- Leistungsmessungen (optional)
Betriebssystem
- Closed Linux Embedded OS (Standard)
Sicherheit und Geheimhaltungsaufhebung (Option 6-SEC)
- Kennwortschutz für alle für Benutzer zugänglichen Anschlüsse
- Sperrt den Digitalisierer, verhindert ein Speichern von Daten durch Benutzer auf dem Instrument
- Erfüllt die Anforderungen für streng geheime und Umgebungen mit einer hohen Sicherheitsstufe
Abmessungen
- 2U (3,5 Zoll/89 mm) hoch und direkt einsatzbereites Gestell (Standardkonfiguration)
- 17 Zoll (432 mm) breit
- Passt in standardmäßige 24 - 32 Zoll (610 - 813 mm) Gestelle
- Der Luftstrom erfolgt von links nach rechts (Hinweis für Gestellaufbau)
Die Produktserie 6
Der Niedrigprofil-Digitalisierer der Serie 6 (LPD64) ist der Digitalisierer mit der besten Leistung auf allen Kanälen in seiner Klasse. Dabei handelt es sich um einen Digitalisierer mit hoher Geschwindigkeit, der über die Funktionen eines Digitalisierers und die Leistung eines Oszilloskops verfügt, der eine ähnliche Hardwareplattform wie das MSO der Serie 6 verwendet.
Die Umstellung von einem MSO-Laboroszilloskop zu einem Niedrigprofil-Digitalisierer war für Ingenieure aus Forschung und Entwicklung noch nie einfacher, die ihre Codes, Prüfarbeiten und die Plattformleistung in die Fertigung und Automatisierung übertragen müssen. Beide Produkte unterstützen die gleiche Benutzeroberfläche, Fernbedienungsoptionen, Leistungsmerkmale und ein Programmierungsbackend, damit dieser Übergang so leicht und bequem wie möglich erfolgen kann. Dabei müssen Prüfroutinen und Entwicklungsprüfzykluscode nicht neu geschrieben werden!
Weitere Informationen zu den Funktionen des Labor-MSO der Serie 6, einschließlich der preisgekrönten Benutzeroberfläche und verschiedenen Analysesoftwareoptionen, finden Sie auf dem Datenblatt für das MSO der Serie 6 unterwww.tek.com/6SeriesMSO.

Die Produkte mit Niedrigprofil
Der Niedrigprofil-Digitalisierer der Serie 6 erweitert die Leistung des Niedrigprofil-MSO der Serie 5, indem die zweifache Menge Tektronix TEK049 ASICS in einem 2U-Gestell verbaut sind. Jetzt mit 25 GS/s und bis zu 8 GHz auf allen Kanälen. Niedrigprofil-Benutzer haben nun die Wahl zwischen einer extrem hohen Anzahl Kanäle oder Höchstleistung im Formfaktor desselben Gestells.
Weitere Informationen zu den Funktionen des Niedrigprofil-MSO der Serie 5 für Labore finden Sie im Datenblatt unterwww.tek.com/MSO58LP

Zwei Niedrigprofil-Digitalisierer der Serie 6 (links) und zwei Niedrigprofil-MSO der Serie 5 (rechts)
Schneller Vergleich | Niedrigprofil-Digitalisierer der Serie 6 | Niedrigprofil-MSO der Serie 5 |
|---|---|---|
| Abtastrate | 25 GS/s | 6,25 GS/s |
| Analoge Bandbreite | Bis zu 8 GHz | 1 GHz |
| RF (DDC) Spannen-Bandbreite | 2 GHz | 500 MHz |
| ENOB bei 1 GHz | 8,2 Bit | 7,6 Bit |
| LXI-Compliance-Ausführung | 1.5 | - |
| Abmessungen des Gestells | 2U | 2U |
Maschinendiagnose für Physik
Die Physik führt die Welt kontinuierlich zu aufregenden wissenschaftlichen Entdeckungen auf dem Gebiet der Materie und Energie. Für die dazugehörigen Experimente sind Digitalisierer und Oszilloskope mit Verbesserungen in den Bereichen Präzision, Genauigkeit, Leistung und Dichte erforderlich für die Überwachung der Sollprüfpunkte. Der Niedrigprofil-Digitalisierer der Serie 6 erfüllt die Anforderungen, indem er eine branchenführende Leistung, einen kleinen Formfaktor, die erstklassige Zuverlässigkeit von Tektronix, einen einfachen Remote-Zugriff und eine preisgekrönte Benutzeroberfläche mit sich bringt.

Gängige Bereiche aus der Physik
- Hochenergiephysik (Partikel)
- Kernphysik
- Atom-, Molekular- und optische Physik
- Kondensierte Materie
Forschungsbereiche, bei denen Einzelschuss-Ereignisse oder schnelle wiederholte Überwachungen Forschungslaboren erforderlich sind; bei Experimenten wie der Fotodoppler-Anemometrie (PDA), VISAR, Gaspistolen, Spektroskopie, Beschleunigern und vielem mehr. Viele davon sind Experimente zur Diagnose und Validierung von Dopplerwechseln, Phasenausrichtungen, Taktfrequenzen, Strahllenkausrichtung oder -Amplituden. Dazu zuverlässige Ausrüstung mit hoher Leistungsfäihgkeit einzusetzen, ist der Schlüssel für einen langfristigen Erfolg.
Leistung auf jedem Kanal
Sind Sie es leid, mehrere Digitalisierer-Kanäle zu aktivieren und fragen sich, wie die Werte für Abtastrate, Aufzeichnungslänge oder die Bandbreiten-Einstellungen lauten? Der Niedrigprofil-Digitalisierer der Serie 6 verfügt über branchenführende Leistung auf JEDEM Kanal, zu jedem Zeitpunkt. Keine Kompromisse!
Die wichtigsten Leistungsdaten:
- 25 GS/s auf ALLEN Kanälen
- DC bis 8 GHz auf ALLEN Kanälen
- Bis zu 250 Millionen Abtastungen auf ALLEN Kanälen
- Erfassungsbandbreite von bis zu 2 GHz RF DDC auf ALLEN Kanälen
- ALLE Kanäle passen perfekt in einen Digitalisierer für ein 2U-Gestell
- 12-Bit-Analog-Digital-Wandler
- Geringstes Rauschen seiner Klasse
- Beste effektive Bitanzahl seiner Klasse
- Beste Kanalisolierung (Übersprechen) seiner Klasse

Spektrumansicht

Die intuitiven Spektrumanalysator-Bedienelemente, wie die Mittenfrequenz, Spanne und Auflösungsbandbreite (RBW), die von den Zeitbereich-Bedienelementen unabhängig sind, bieten eine einfache Einrichtung für die Frequenzbereichsanalyse. Eine Spektrumansicht ist für jeden Analogeingang verfügbar, sodass eine gemischte Bereichsanalyse mehrerer Kanäle durchgeführt werden kann.
Es ist oftmals einfacher, ein Problem zu debuggen, indem man sich ein oder mehrere Signale im Frequenzbereich ansieht. Oszilloskope und Digitalisierer verfügen dazu über mathematikbasierte FFTs für Jahrzehnte, um dieses Problem zu bewältigen. FFTs sind jedoch bekanntermaßen schwer einzusetzen, da sie über das gleiche Erfassungssystem verfügen, das auch die analoge Zeitbereichsansicht bereitstellt. Wenn Sie die Erfassungseinstellungen für die analoge Ansicht optimieren, sieht Ihre Frequenzbereichsansicht nicht so aus, wie Sie sich das vorstellen. Wenn Sie die Frequenzbereichsansicht so gestalten, wie Sie das möchten, sieht Ihre analoge Ansicht nicht so aus, wie Sie das möchten. Mit mathematikbasierten FFTs ist es nahezu unmöglich, optimierte Ansichten von beiden Domänen zu erhalten.
Durch eine Spektrumansicht ändert sich das jedoch. Die patentierte Technologie von Tektronix bietet einen Dezimator für den Zeitbereich und einen digitalen Abwärtswandler für den Frequenzbereich hinter den Eingängen. Dank den beiden unterschiedlichen Erfassungswegen können Sie Zeit- und Frequenzbereichsansichten des Eingangssignals mit unabhängigen Erfassungseinstellungen für jede Domäne untersuchen. Andere Hersteller bieten verschiedene Spektralanalyse-Pakete an, die einfach zu bedienen scheinen, sie unterliegen jedoch alle den vorstehend genannten Einschränkungen. Nur die Spektrumansicht bietet beides, einen außergewöhnlichen Bedienkomfort und die Funktion, optimale Ansichten in beiden Bereichen gleichzeitig zu erreichen.
Signal- und IQ-Daten können einfach über verschiedene Programmierbefehle und API-Schnittstellen von dem Niedrigprofil-Digitalisierer der Serie 6 auf einen PC übertragen werden, die standardmäßig zum Lieferumfang aller Tektronix-Produkte der Serie 5 und 6 gehören.

Das TEK049 ASIC von Tektronix hat einen patentierten Signalpfad, über den die Signale vom ADC zu einem herkömmlichen Dezimator (Oszilloskop) und digitalen Abwärtswandler (DDC - RF) übertragen werden, sodass eine unabhängige Steuerung der Zeit- und Frequenzbereiche erfolgen kann.
Hinter der Leistung
Die TEK049 ASIC von Tektronix umfassen 12-Bit-Analog-Digital-Wandler (ADCs), die eine 16 Mal höhere Auflösung als herkömmliche 8-Bit-ADCs bieten. Das TEK049 ist mit dem neuen Tektronix TEK061 Frontend-Verstärker mit branchenführend niedrigem Rauschen konzipiert, das für die bestmögliche Signalwiedergabe sorgt, um kleine Signale mit hoher Auflösung zu erfassen.

Niedrigstes Rauschen seiner Klasse dank neuem Frontend-Verstärker
Ein zentrales Merkmal zum Anzeigen feiner Signaldetails bei kleinen Hochgeschwindigkeitssignalen ist das Rauschen. Je höher das Grundrauschen eines Messsystems, desto geringer die tatsächliche Signaldetail-Sichtbarkeit. Dies wird bei einem Digitalisier noch wichtiger, wenn die vertikalen Einstellungen auf eine hohe Empfindlichkeit eingestellt werden (z. B. ≤ 10 mV/div), um kleine Signale anzuzeigen, die in Hochgeschwindigkeitsbus-Topologien häufig vorkommen. Der Niedrigprofil-Digitalisierer der Serie 6 hat ein neues Frontend-ASIC, das TEK061, das für eine hervorragende Rauschleistung bei den höchsten Empfindlichkeitseinstellungen sorgt.
Außerdem wendet ein neuer hochauflösender Modus (Hi Res) einen einzigartigen, hardwarebasierten FIR-Filter (Endliche Impulsantwort) basierend auf der ausgewählten Abtastrate an. Der FIR-Filter behält die höchstmögliche Bandbreite für diese Abtastrate bei, während Aliasing verhindert wird und Rauschen aus den Digitalisiererverstärkern und dem ADC oberhalb der verwendbaren Bandbreite für die ausgewählte Abtastrate entfernt wird. Der Hochauflösende Modus bietet immer mindestens 12 Bit vertikale Auflösung und lässt sich erweitern bis auf 16 Bit vertikale Auflösung bei Abtastraten von ≤ 625 MS/s und einer Bandbreite von 200 MHz.
Einfache Fernsteuerung

Das Programmieren der Niedrigprofil-Digitalisierer der Serie 6 in einem Testgestells für eine einfache Fernsteuerung war noch nie einfacher.
Automatisierte Prüfausrüstung und Multikanalsysteme erfordern eine robuste Programmierfunktion und unterliegen oftmals Platzeinschränkungen oder Geschwindigkeitsbeschränkungen. Der Niedrigprofil-Digitalisierer der Serie 6 packt 4 Hochleistungskanäle mit einer Geschwindigkeit von 25 GS/s in 2 Gestelle und kann direkt in einem Gestell verbaut werden. Jeder Eingang kann als analoger Präzisionskanal und/oder Spektrumkanal mit mehreren Fernsteuerungsschnittstellen arbeiten, die zur weiteren Analyse über 1000Base-T Ethernet oder Super Speed USB 3.0-Anschlüsse an Ihren PC übertragen werden können. Dank der Unterstützung vieler Programmiersprachen und dem GitHub-Repository gibt es viele Möglichkeiten, Ihren neuen Digitalisierer in ein Testgestell zu integrieren.
Zu den zentralen Fernzugriffsfunktionen gehören:
- 2HE hoch (3,5 Zoll) mit Gestelleinbau
- Einfacher Remotezugriff und Fernsteuerung per Webbrowser
- LXI 1.5-zertifiziert (VXI-11)
- Ethernet- und USB 3.0-Geräteanschluss (USBTMC)mit einer Übertragungsrate von bis zu 800 MB/s
- Programmierhandbuch mit 1000+ VISA Befehlen
- Programmierunterstützung: IVI-C, IVI-COM, MATLAB, LabView, Python, VISA, Sockets und viele mehr
- Tektronix GitHub-Programmierbeispiele (https://github.com/tektronix/Programmatic-Control-Examples)

Einfache Fernsteuerung mithilfe von e*Scope in einem Browser wie Chrome, Firefox oder Edge
e*Scope ist eine einfache Fernsteuerungsanzeigemethode für die Steuerung eines Oszilloskops oder Digitalisierers der Serie 5 oder 6 über eine Netzwerkverbindung über einen Standard-Webbrowser, genau wie Sie es persönlich tun würden. Geben Sie einfach die IP-Adresse des Instruments in einen modernen Browser, daraufhin wird die LXI Landing Page angezeigt, anschließend können Sie die Instrumentensteuerung auswählen, um auf e*scope zuzugreifen. Keine Treiber erforderlich, alles direkt einsatzbereit im Browser, als würden Sie den Bildschirm des Instruments oder einen verbundenen Monitor verwenden. Es ist schnell, reagiert schnell und ist perfekt geeignet für einzelne oder mehrere Instrumente für die Visualisierung von Daten.

Einfache Fernsteuerung per e*Scope über mehrere Instrumente auf mehreren Browser-Registerkarten auf einem Monitor für die Anzeige
Synchronisierung

Synchronisieren Sie mehrere Instrumentenkanäle innerhalb von 200 ps mithilfe eines manuellen Versatzausgleichs und dem Hilfstrigger-Eingang
Beim Synchronisieren mehrerer Instrumente ist es wichtig, zwischen den Instrumentenkanälen eine geringstmögliche Versatzmenge zu erreichen, um eine möglichst hohe Datentiming-Genauigkeit zu gewährleisten. Im Allgemeinen kann dies in zwei Versatztypen unterteilt werden; der Teil von der Unsicherheit zwischen Hilfstrigger und analogem Kanel und der Teil vom Trigger-Jitter. Durch die Kalibrierung der Auswirkungen der Kanalverzögerung auf den Hilfseingang können wir die Menge der Timingungenauigkeit zwischen den Instrumentenkanälen auf den Jitter verringern. Dieser Prozess wird als Versatzausgleich eines Instruments bezeichnet.
Der Versatzausgleich kann für einen Referenzkanal erfolgen, der gleichzeitig eine Triggerflanke (vorzugsweise über 1 Vpp) in den Hilfstrigger-Eingang mehrerer Instrumente und den Referenzkanal zuführt. Wenn alles eingestellt ist, können sich die Instrumentenkanäle innerhalb einer sehr engen Toleranz von nur wenigen Abtastpunkten befinden und innerhalb unserer Spezifikation von 200 Punkten. Ganz gleich, ob Sie 16 oder 200 Kanäle haben, alle Daten können einfach synchronisiert und analysiert werden.
Verbesserte Sicherheitsoption
Die Option 6-SEC für erweiterte Sicherheit ermöglicht das kennwortgeschützte Aktivieren/Deaktivieren aller E/A-Anschlüsse des Geräts und der Firmware-Upgrades. Zusätzlich bietet Option 6-SEC die höchste Sicherheitsstufe, indem sichergestellt wird, dass der interne Arbeitsspeicher niemals Benutzereinstellungen oder Signaldaten speichert. Dies ist konform mit den Anforderungen im National Industrial Security Program Operating Manual (NISPOM) DoD 5220.22-M, Kapitel 8, sowie mit den Anforderungen im Defense Security Service Manual for the Certification and Accreditation of Classified Systems im Rahmen des NISPOM. Deshalb können Sie das Gerät unbesorgt aus einem sicheren Bereich herausbewegen.
Arbiträrsignal-/Funktionsgenerator (AFG)
Das Instrument enthält einen optionalen integrierten Arbiträr-Funktionsgenerator, der ideal geeignet ist zum Simulieren von Sensorsignalen in einem Design oder zum Hinzufügen von Rauschen zu Signalen bei der Durchführung von Grenzwertprüfungen. Der integrierte Funktionsgenerator ermöglicht die Ausgabe von vordefinierten Signalen bis zu 50 MHz für Sinus, Rechteck, Impuls, Rampe/Dreieck, DC, Rauschen, sin(x)/x (Sinc), Gauß, Lorentz, exponentieller Anstieg/Abfall, Haversinus und Kardial. Die AFG-Serie kann Signaldatensätze mit bis zu 128.000 Punkten von einem internen Speicherort oder einem USB-Massenspeichergerät auslesen.
Das AFG ist kompatibel mit ArbExpress, der PC-basierten Software von Tektronix zum Erzeugen und Bearbeiten von Signalen, die das Erzeugen komplexer Signale schnell und einfach macht.
Digitalvoltmeter (DVM) und Triggerfrequenzzähler
Das Instrument enthält ein integriertes 4-stelliges Digitalvoltmeter (DVM) und einen 8-stelligen Triggerfrequenzzähler. Jeder der analogen Eingänge kann als Quelle für das Voltmeter dienen. Dabei werden dieselben Tastköpfe verwendet, die bereits zur allgemeinen Oszilloskopnutzung angeschlossen wurden. Der Frequenzzähler bietet eine genaue Anzeige der Frequenz des Triggerereignisses, für das die Triggerung ausgeführt wird.
Sowohl das DVM als auch der Triggerfrequenzzähler sind kostenlos erhältlich und werden aktiviert, wenn Sie Ihr Produkt registrieren.
Technische Daten
Insofern nicht anders angegeben, werden alle technischen Daten garantiert. Insofern nicht anders angegeben, gelten die technischen Daten für alle Modelle.
Modellübersicht
| Merkmal | LPD64 |
|---|---|
| Analogeingänge | 4 |
| Bandbreite (berechnete Anstiegszeit) | 1 GHz (400 ps), 2,5 GHz (160 ps), 4 GHz (100 ps), 6 GHz (66,67 ps), 8 GHz (50 ps) |
| Genauigkeit der Gleichspannungs-Verstärkung | 50 Ω: ±2,0 % 1, (±2,0 % bei 2 mV/div, ±4,0 % bei 1 mV/div, typisch) 50 Ω: ±1,0 % 2 vom Vollausschlag, (±1,0 % vom Vollausschlag bei 2 mV/div, ±2,0 % bei 1 mV/div, typisch) |
| ADC-Auflösung | 12 Bit |
| Vertikale Auflösung (alle Kanäle) | 8 Bit bei 25 GS/s; 8 GHz 12 Bit bei 12,5 GS/s; 4 GHz 13 Bit bei 6,25 GS/s (Hi Res); 2 GHz 14 Bit bei 3,125 GS/s (Hi Res); 1 GHz 15 Bit bei 1,25 GS/s (Hi Res); 500 MHz 16 Bit bei ≤625 MS/s (Hi Res); 200 MHz |
| Abtastrate | 25 GS/s auf allen Kanälen |
| Aufzeichnungslänge | 125 Mio. Punkte auf allen Kanälen (Standard) 250 Mio. Punkte auf allen Kanälen (optional) |
| Signalerfassungsrate | >500,000 wfms/s (Spitzenwerterfassung, Hüllkurven-Erfassungsmodus), >30.000 wfms/s (alle anderen Erfassungsmodi) |
| Arbiträrsignal-/Funktionsgenerator (optional) | 13 vordefinierte Signaltypen mit einer Ausgabe von bis zu 50 MHz |
| DVM | 4-stelliger DVM (kostenlos bei Produktregistrierung) |
| Triggerfrequenzzähler | 8-stelliger Frequenzzähler (kostenlos bei Produktregistrierung) |
1Garantierte Spezifikation, sofort nach SPC, 2 % je Veränderung von 5 °C der Umgebungstemperatur hinzufügen.
2Garantierte Spezifikation, sofort nach SPC, 1 % je Veränderung von 5 °C der Umgebungstemperatur hinzufügen. Bei Vollausschlag wird sie manchmal eingesetzt, um die Werte mit denen von anderen Herstellern zu vergleichen.
Vertikalsystem
- Eingangskopplung
- DC
- Eingangsimpedanz 50 Ω, DC-gekoppelt
50 Ω ±3 %
- Eingangsempfindlichkeitsbereich
- 50 Ω
- 1 mV/div bis 1 V/div in der Folge 1-2-5
- Hinweis: 1 mV/div ist ein zweifacher digitaler Zoom von 2 mV/div.
- Maximale Eingangsspannung
50 Ω: 2,5 Veffbei <100 mV/div, mit Spitzenwerten von ≤ ±20 V (DF ≤ 6,25 %)
50 Ω: 5 Veffbei <100 mV/div, mit Spitzenwerten von ≤ ±20 V (DF ≤ 6,25 %)
- Effektive Bits (ENOB), typisch
- 2 mV/div, Hi-Res-Modus, 50 Ω, 10 MHz Eingang mit 90 % Vollbild
Bandbreite ENOB 4 GHz 5,9 3 GHz 6,1 2,5 GHz 6,2 2 GHz 6,35 1 GHz 6,8 500 MHz 7,2 350 MHz 7,4 250 MHz 7,5 200 MHz 7,75 20 MHz 8,8 - 50 mV/div, Hi-Res-Modus, 50 Ω, 10 MHz Eingang mit 90 % Vollbild
Bandbreite ENOB 4 GHz 7,25 3 GHz 7,5 2,5 GHz 7,6 2 GHz 7,8 1 GHz 8,2 500 MHz 8,5 350 MHz 8,8 250 MHz 8,9 200 MHz 9 20 MHz 9,8 - 2 mV/div, Abtastmodus, 50 Ω, 10 MHz Eingang mit 90 % Vollbild
Bandbreite ENOB 8 GHz 5,1 7 GHz 5,3 6 GHz 5,5 5 GHz 5,65 4 GHz 5,9 3 GHz 6,05 2,5 GHz 6,2 2 GHz 6,35 1 GHz 6,8 500 MHz 7,2 350 MHz 7,3 250 MHz 7,5 200 MHz 7,3 20 MHz 7,6 - 50 mV/div, Abtastmodus, 50 Ω, 10 MHz Eingang mit 90 % Vollbild
Bandbreite ENOB 8 GHz 6,5 7 GHz 6,6 6 GHz 6,8 5 GHz 7 4 GHz 7,2 3 GHz 7,4 2,5 GHz 7,6 2 GHz 7,7 1 GHz 8,2 500 MHz 8,4 350 MHz 8,7 250 MHz 8,8 200 MHz 7,8 20 MHz 7,9
- Gleichspannungssymmetrie
0,1 div mit DC-50 Ω Eingangsimpedanz Digitalisierer (50 Ω abgeschlossen)
0,2 div bei 1 mV/div mit DC-50 Ω Eingangsimpedanz Digitalisierer (50 Ω abgeschlossen)
- Positionsbereich
- ±5 Skalenteile
- Offsetbereiche, Maximum
Das Eingangssignal kann nicht die maximale Eingangsspannung für den 50-Ω-Eingangspfad übersteigen.
Einstellung V/div Max. Offsetbereich, 50 Ω Eingang 1 mV/div - 99 mV/div ±1 V 100 mV/div - 1 V/div ±10 V
- Offset-Genauigkeit
±(0,005 X | Offsetposition | + DC-Ausgleich); Offset, Position und DC-Ausgleich in Volt
- Bandbreitenauswahl
- 8-GHz-Modell, 50 Ohm
- 20 MHz, 200 MHz, 250 MHz, 350 MHz, 500 MHz, 1 GHz, 2 GHz, 2.5 GHz, 3 GHz, 4 GHz, 5 GHz, 6 GHz, 7 GHz und 8 GHz
- 6-GHz-Modell, 50 Ohm
- 20 MHz, 200 MHz, 250 MHz, 350 MHz, 500 MHz, 1 GHz, 2 GHz, 2.5 GHz, 3 GHz, 4 GHz, 5 GHz und 6 GHz
- 4-GHz-Modell, 50 Ohm
- 20 MHz, 200 MHz, 250 MHz, 350 MHz, 500 MHz, 1 GHz, 2 GHz, 2.5 GHz, 3 GHz, und 4 GHz
- 2,5-GHz-Modell, 50 Ohm
- 20 MHz, 200 MHz, 250 MHz, 350 MHz, 500 MHz, 1 GHz, 2 GHz und 2,5 GHz
- 1-GHz-Modell, 50 Ohm
- 20 MHz, 200 MHz, 250 MHz, 350 MHz, 500 MHz und 1 GHz
- Bandbreitenfilter optimiert für
- Ebenheit oder Sprungantwort
- Weißes Rauschen, Effektivwert, typisch
- 50 Ω, typisch
25 GS/s, Abtastmodus, eff V/div 1 mV/div 2 mV/div 5 mV/div 10 mV/div 20 mV/div 50 mV/div 100 mV/div 1 V/div 8 GHz 158 μV 158 μV 208 μV 342 μV 630 μV 1,49 mV 3,46 mV 29,7 mV 7 GHz 141 μV 143 μV 192 μV 311 μV 562 μV 1,31 mV 3,11 mV 26,2 mV 6 GHz 127 μV 127 μV 165 μV 274 μV 489 μV 1,18 mV 2,71 mV 23,6 mV 5 GHz 112 μV 113 μV 149 μV 239 μV 446 μV 1,05 mV 2,42 mV 21,1 mV 12,5 GS/s, HiRes-Modus, eff V/div 1 mV/div 2 mV/div 5 mV/div 10 mV/div 20 mV/div 50 mV/div 100 mV/div 1 V/div 4 GHz 97,4 μV 98,7 μV 124 μV 192 μV 344 μV 817 μV 1,92 mV 16,3 mV 3 GHz 82,9 μV 84 μV 105 μV 160 μV 282 μV 680 μV 1,62 mV 13,6 mV 2,5 GHz 76,5 μV 77,5 μV 93,8 μV 144 μV 257 μV 606 μV 1,44 mV 12,1 mV 2 GHz 68,1 μV 69,1 μV 83,6 μV 131 μV 226 μV 528 μV 1,28 mV 10,6 mV 1 GHz 54,8 μV 51,2 μV 63,4 μV 90,9 μV 160 μV 378 μV 941 μV 7,65 mV 500 MHz 39,7 μV 39,8 μV 48,1 μV 65,1 μV 115 μV 280 μV 666 μV 5,6 mV 350 MHz 33,8 μV 33,5 μV 40 μV 54,8 μV 94,3 μV 217 μV 560 μV 4,35 mV 250 MHz 30,8 μV 31,2 μV 36,1 μV 49,9 μV 80,3 μV 187 μV 482 μV 3,75 mV 200 MHz 25,3 μV 25,4 μV 29,7 μV 44 μV 70,7 μV 165 μV 445 μV 3,3 mV 20 MHz 8,68 μV 8,9 μV 10,4 μV 15,1 μV 27,5 μV 70,4 μV 158 μV 1,41 mV
- Übersprechen (Kanaltrennung), typisch
≥ -80 dB bis zu 2 GHz
≥ -65 dB bis zu 4 GHz
≥ -55 dB bis zu 8 GHz
für jeden Kanal, der auf 200 mV/div eingestellt ist.
Horizontalsystem
- Zeitbasis-Einstellbereich
- 40 ps/div bis 1.000 s/div
- Abtastratenbereich
6,25 S/s bis 25 GS/s (Echtzeit)
50 GS/s bis 2,5 TS/s (interpoliert)
- Aufzeichnungslängenbereich
Alle Erfassungsmodi verfügen über eine maximale Aufzeichnungslänge von 250 Mio., die minimale Aufzeichnungslänge beträgt 1000, einstellbar in Abtastraten von 1.
Standard: 125 Mio. Punkte
Option 6-RL-2: 250 Mio. Punkte
- Sekunden/Einstellungsbereich
Aufzeichnungslänge 1000 10.000 100.000 1 Mio. 10 Mio. 62,5 Mio. 125 Mio. 250 Mio. Standard: 125 Mio. 40 ps - 16 s 400 ps - 160 s 4 ns - 1000 s 2,5 μs - 1000 s 5 μs - 1000 s n/z Option 6-RL-2: 250 Mio. 40 ps - 16 s 400 ps - 160 s 4 ps - 1000 s 2,5 μs - 1000 s 5 μs - 1000 s 10 μs - 1000 s
- Aperturunsicherheit
Dauer Typischer Jitter <1 μs 80 fs <1 ms 130 fs
- Genauigkeit der Zeitbasis
±1,0 x10-7über jeden beliebigen Zeitintervall ≥ 1 ms
Beschreibung Technische Daten Werktoleranz ±12 ppb. Bei Kalibrierung, 25 °C Umgebungstemperatur, über jeden beliebigen Zeitintervall ≥1 ms Temperaturstabilität ±20 ppb über den gesamten Betriebsbereich von 0 bis 50 °C, nach einer ausreichenden Haltezeit bei der Temperatur. Getestet bei Betriebstemperaturen Kristallalterung ±300 ppb. Frequenztoleranzänderung bei 25 °C über einen Zeitraum von 1 Jahr
- Messgenauigkeit für Zeitdifferenz


(Unter Annahme einer Flankenform, die auf die Gaußsche Filterantwort zurückzuführen ist)
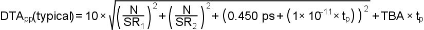
Die Formel zur Berechnung der Delta-Zeit-Messgenauigkeit (DTA) für eine bestimmte Geräteeinstellung und ein bestimmtes Eingangssignal geht von einem geringfügigen Signalanteil über Nyquist-Frequenz aus, wobei gilt:
SR 1= Anstiegsrate (1.Flanke) am 1.Messpunkt
SR 2= Anstiegsrate (2.Flanke) am 2.Messpunkt
N = auf den Eingang bezogener garantierter Rauschgrenzwert (Veff)
TBA = Zeitbasisgenauigkeit oder Referenzfrequenzfehler
t p= Messdauer für Zeitdifferenz (Sek.)
1Dynamisches Rauschen ist das Rauschen, das bei einem angewendeten Signal auftritt (z. B. Verzerrung oder Verschachtelungsfehler).
- Maximale Dauer bei höchster Abtastrate
5 ms (Standard) oder 10 ms (Option 6-RL-2, 250 Mio. Punkte)
- Zeitbasisverzögerung-Einstellbereich
- -10 Skalenteile bis 5.000 s
- Versatzbereich
-125 ns bis +125 ns mit einer Auflösung von 40 ps (für Peak-Erkennung und Hüllkurvenerfassungsmodi).
-125 ns bis +125 ns mit einer Auflösung von 1 ps (für alle andern Erfassungsmodi).
- Verzögerung zwischen analogen Kanälen, volle Bandbreite, typisch
≤ 10 ps für zwei beliebige Kanäle mit Eingangsimpedanz 50 Ω, DC-Kopplung mit gleicher Einstellung für Volt/div oder über 10 mV/div
Triggersystem
- Triggermodi
- Auto, Normal und Einzelschuss
- Triggerkopplung
DC-, HF-Unterdrückung (Dämpfung > 50 kHz), LF-Unterdrückung (Dämpfung < 50 kHz), Rauschunterdrückung (Verringerung der Empfindlichkeit)
- Triggerbandbreite (Flanke, Impuls und Logik), typisch
Modell Triggerart Triggerbandbreite 8 GHz Flanke 8 GHz 8 GHz Impuls, Logik 4 GHz 6 GHz Flanke 6 GHz 6 GHz Impuls, Logik 4 GHz >4 GHz, >2,5 GHz, >1 GHz: Flanke, Impuls, Logik Produktbandbreite
- Flankentrigger-Empfindlichkeit, DC-gekoppelt, typisch
Pfad Bereich Technische Daten 50-Ω-Pfad 1 mV/div bis 9,98 mV/div 3,0 div von DC zu Gerätebandbreite ≥ 10 mV/Div < 1,0 Teilung von DC zur Instrumentenbandbreite Netzbetrieb 90 bis 264 V Leitungsspannung bei einer Leitungsfrequenz von 50 - 60 Hz 103,5 bis 126,5 V Zusätzl. Triggereingang 250 mVPP, DC bis 400 MHz
- Flankentrigger-Empfindlichkeit, nicht DC-gekoppelt, typisch
Triggerkopplung Typische Empfindlichkeit NOISE REJ Das 2,5-fache der DC-gekoppelten Grenzen HF REJ Das 1-fache der DC-gekoppelten Grenzwerten von DC bis 50 kHz. Dämpft Signale über 50 kHz. LF REJ Das 1,5-fache der DC-gekoppelten Grenzwerte für Frequenzen über 50 kHz. Dämpft Signale unter 50 kHz.
- Trigger-Jitter, typisch
≤ 1,5 psefffor Abtastmodus und Flankentrigger
≤ 7 pseff≤ 2 psefffür Flankentrigger und FastAcq-Modus
≤ 40 pseffbei Modi ohne Flankentrigger
≤ 40 psefffür AUX-Triggereingang, Abtast-Erfassungsmodus, Flankentrigger
≤ 40 psefffür AUX-Triggereingang, FastAcq-Erfassungsmodus, Flankentrigger
- Trigger-Jitter, AUX-Eingang, typisch
≤ 200 pseffbei Abtastmodus und Flankentrigger
≤ 220 pseffbei Flankentrigger und FastAcq-Modus
- AUX-Eingang-Trigger-Versatz zwischen Instrumenten, typisch
±100 ps Jitter bei jedem Instrument mit <450 ps Versatz; <550 ps insgesamt zwischen den Instrumenten. Kann manuell mit einem Versatzausgleich versehen werden, sodass der Versatz zwischen den Kanälen insgesamt <200ps zwischen Instrumenten mit AUX-Eingang beträgt.
Versatz verbessert für Impulseingangsspannungen ≥1 Vpp
- Triggerpegel-Bereiche
Quelle Bereich Alle Kanäle ±5 Skalenteile ab Bildschirmmitte Aux-Eingang Trigger ±5 V Netzbetrieb Festgelegt bei ca. 50 % der Netzspannung Diese Spezifikation gilt für Logik- und Impulsschwellenwerte.
- Triggerfrequenzzähler
8-stellig (kostenlos bei Produktregistrierung)
- Triggerarten
- Flanke:
- Positive, negative Steigung oder beides auf jedem Kanal. Die Kopplung umfasst DC-, AC-, HF- und LF-Unterdrückung sowie Rauschunterdrückung
- Impulsbreite:
Trigger auf die Breite von positiven oder negativen Impulsen. Das Ereignis kann zeitlich oder logisch qualifiziert sein
- Zeitüberschreitung:
- Trigger auf ein Ereignis, dessen Wahrscheinlichkeit in einem angegebenen Zeitraum hoch, niedrig oder beides ist. Das Ereignis kann nach dem Logikstatus qualifiziert werden
- Runt:
- Trigger auf einen Impuls, der eine Schwelle überschreitet, eine zweite Schwelle jedoch nicht überschreitet, bevor die erste Schwelle erneut überschritten wurde. Das Ereignis kann zeitlich oder logisch qualifiziert sein
- Fenster:
- Trigger auf ein Ereignis, das in ein durch zwei benutzereinstellbare Schwellenwerte definiertes Fenster eintritt, es verlässt oder innerhalb oder außerhalb des Fensters bleibt. Das Ereignis kann zeitlich oder logisch qualifiziert sein
- Logik:
- Trigger, wenn ein Bitmuster in den Status „wahr“ oder „nicht wahr“ wechselt oder gleichzeitig mit einer Taktflanke auftritt. Bitmuster (AND, OR, NAND, NOR) sind für alle Eingangskanäle angegeben, die als High, Low oder Beliebig definiert sind. Das Bitmuster, das in den Status „wahr“ wechselt, kann zeitqualifiziert sein
- Setup & Hold:
- Trigger bei Verletzungen der Setup- und der Hold-Zeit zwischen Takt und Daten auf beliebigen Eingangskanälen
- Anstiegs-/Abfallzeit:
- Trigger auf Impulsflanken-Anstiegsraten, die schneller oder langsamer als angegeben sind. Die Steigung kann positiv, negativ oder beides sein. Das Ereignis kann nach dem Logikstatus qualifiziert werden
- Sequenz:
Trigger auf B-Ereignis x Zeit oder N Ereignisse nach A-Trigger mit einem Reset bei C-Ereignis. Im Allgemeinen können A- und B-Triggerereignisse auf eine beliebige Triggerart eingestellt werden. Es gibt jedoch einige Ausnahmen: die logische Qualifikation wird nicht unterstützt; wenn das A- oder B-Ereignis auf Setup/Hold gesetzt ist, muss das andere auf Flanke gesetzt sein; Ethernet und Highspeed-USB (480 Mbit/s) werden nicht unterstützt
- Visuelle Trigger
- Qualifiziert Standardtrigger durch das Abtasten aller Signalerfassungen Vergleichen mit Bereichen auf dem Bildschirm (geometrischen Formen). Eine unbegrenzte Anzahl von Bereichen kann definiert werden mit Ein, Aus oder Beliebig als Qualifikator für jeden Bereich. Ein boolescher Ausdruck kann mithilfe einer beliebigen Kombination der virtuellen Triggerbereiche definiert werden, um die Ereignisse weiter zu qualifizieren, die im Erfassungsspeicher gespeichert werden. Zu den Formen gehören Rechteck, Dreieck, Trapez, Sechseck und benutzerdefiniert
- Parallelbus:
- Trigger auf einen Datenwert im Parallelbus. Der Parallelbus kann 1 bis 4 Bit groß sein (ab den Analogkanälen). Binäre und hexadezimale Basiswerte werden unterstützt
- I2C Bus (Option 6-SREMBD):
- Trigger auf Start, wiederholten Start, Stopp, fehlende Bestätigung, Adresse (7 oder 10 Bit), Daten oder Adresse und Daten auf I2C-Bussen bis 10 MBit/s
- SPI-Bus (Option 6-SREMBD):
- Trigger auf Slave Select, Leerlaufzeit oder Daten (1-16 Wörter) auf SPI-Bussen bis zu 20 MBit/s
- RS-232/422/485/UART-Bus (Option 6-SRCOMP):
- Trigger auf Startbit, Paketende, Daten und Paritätsfehler bis zu 15 MBit/s
- CAN-Bus (Option 6-SRAUTO):
- Trigger auf Segmentbeginn, Segmenttyp (Daten, Remote, Fehler oder Überlastung), Kennung, Daten, Kennung und Daten, Segmentende, fehlende Bestätigung und Bit-Stuffing-Fehler auf CAN-Bussen bis zu 1 MBit/s
- CAN-FD-Bus (Option 6-SRAUTO):
- Trigger bei Frame-Beginn, Frame-Typ (Daten, Remote, Fehler oder Überlast), Kennung (Standard oder erweitert), Daten (1-8 Byte), Kennung und Daten, Frame-Ende, Fehler (Fehlende Bestätigung, Bit-Stuffing, FD-Formfehler oder Alle Fehler) bei CAN-FD-Bussen bis zu 16 MBit/s
- LIN-Bus (Option 6-SRAUTO):
- Trigger auf Synchronisation, Kennung, Daten, Kennung und Daten, Wakeup-Segment, Sleep-Segment und Fehler auf LIN-Bussen bis zu 1 MBit/s
- FlexRay Bus (Option 6-SRAUTO):
- Trigger auf Segmentbeginn, Indikator-Bits (Normal, Payload, Null, Synchronisation, Start), Segmentkennung, Zykluszählung, Header-Felder (Indikator-Bits, Kennung, Payload-Länge, Header-CRC und Zykluszählung), Kennung, Daten, Kennung und Daten, Segmentende und Fehler auf FlexRay-Bussen bis zu 10 Mbit/s
- SENT-Bus (Option 6-SRAUTOSEN)
- Trigger zum Paketanfang, Fast Channel-Status und -Daten, Slow Channel-Nachrichten-ID und -Daten und CRC-Fehler
- SPMI-Bus (Option 6-SRPM):
- Trigger zu Sequenzstart-Bedingung, Reset, Standby, Abschaltung, Aktivierung, Authentifizierung, Master-Lesen, Master-Schreiben,, Register-Lesen, Register-Schreiben, Erweitertes Register-Lesen, Erweitertes Register-Schreiben, Erweitertes Register-Lesen Lang, Erweitertes Register-Schreiben Lang, Gerätebeschreibung Block-Master-Lesen, Gerätebeschreibung Block-Slave-Lesen, Register 0 Schreiben, Übertragungsbus-Besitz und Paritätsfehler
- USB 2.0 LS/FS/HS Bus (Option 6-SRUSB2):
- Trigger bei Sync, Reset, Standby, Wiederaufnahme, Paketende, Tokenpaket (Adresse), Datenpaket, Handshake-Paket, Spezialpaket, Fehler an den USB-Bussen bis 480 MBit/s
- Ethernet-Bus (Option 6-SRENET):
- Trigger auf Segmentanfang, MAC-Adresse, MAC Q-Tag, MAC-Länge/Typ, MAC-Daten, IP-Header, TCP-Header, TCP/IPV4-Daten, Paketende und FCS (CRC)-Fehler auf 10BASE-T- und 100BASE-TX-Bussen
- Audio (I2S, LJ, RJ, TDM) Bus (Option 6-SRAUDIO):
- Trigger auf Wortauswahl, Frame-Sync oder Daten. Die max. Datenrate für I2S/LJ/RJ beträgt 12,5 MBit/s. Die maximale Datenrate für TDM beträgt 25 MBit/s.
- MIL-STD-1553 Bus (Option 6-SRAERO):
- Trigger bei Synchronisierung, Befehl (Transmit/Receive-Bit, Parität, Subadresse/Modus, Wortanzahl/Modusanzahl, RT-Adresse), Status (Parität, Meldungsfehler, Instrumentierung, Serviceanfrage, Broadcast-Befehl empfangen, Busy, Subsystem-Kennzeichner, Dynamic Bus Control Acceptance, Terminal-Kennzeichner), Daten, Zeit (RT/IMG) und Fehler (Paritätsfehler, Synchronisierungsfehler, Manchester-Fehler, nicht fortlaufende Daten) bei MIL-STD-1553-Bussen
- ARINC 429 Bus (Option 6-SRAERO):
- Trigger auf Wortanfang, Label, Daten, Label und Daten, Wortende sowie Fehler (Alle Fehler, Paritätsfehler, Wortfehler, Lückenfehler) bei ARINC 429-Bussen bis zu 1 MBit/s
- Trigger-Holdoff-Bereich
- 0 ns bis 10 Sekunden
Erfassungssystem
- Abtastung
- Erfassung von Abtastwerten
- Peak-Werterfassung
- Erfassung von Glitches bis zur minimalen Pulsbreite von bei allen Wobbelgeschwindigkeiten
- Mittelwertbildung
- aus 2 bis 10.240 Signalen
- Hüllkurve
- Die Min-Max-Hüllkurve zeigt die Spitzenwerte für mehrere Erfassungen an
- Hohe Auflösung
Wendet einen eindeutigen FIR-Filter (Endliche Impulsantwort) für jede Abtastrate, die die höchstmögliche Bandbreite für diese Abtastrate beibehält, während Aliasing verhindert wird und Rauschen aus den Oszilloskopverstärkern und dem ADC oberhalb der verwendbaren Bandbreite für die ausgewählte Abtastrate entfernt wird.
Der Hi-Res-Modus bietet immer mindestens 12 Bit vertikaler Auflösung und erstreckt sich bis auf 16 Bit vertikaler Auflösung bei Abtastraten unter 625 MS/s.
- FastAcq®
FastAcq optimiert das Gerät für die Analyse von dynamischen Signalen und die Erfassung seltener Ereignisse.
Maximale Signal-Erfassungsrate:
>500.000 wfms/s (Spitzenwerterfassung, Hüllkurven-Erfassungsmodus)
>30.000 wfms/s (alle anderen Erfassungsmodi)
- Rollmodus
Sequenzielle Signalpunkte werden in einer rollenden Bewegung von rechts nach links über das Display bewegt, bei Zeitbasisgeschwindigkeiten von 40 ms/Div und langsamer im Auto-Triggermodus.
- FastFrame™
In Segmente aufgeteilter Erfassungsspeicher.
Maximale Triggerrate >5.000.000 Signale/Sekunde
Mindest-Framegröße = 50 Punkte
Maximale Anzahl von Frames: Für Framegröße ≥ 1.000 Punkte, maximale Anzahl von Frames = Aufzeichnungslänge/Framegröße.
Für 50-Punkt-Frames, maximale Anzahl von Frames = 691.000
Signalmessungen
- Cursorarten
- Kurvenform, V-Balken, H-Balken und V&H-Balken
- DC-Spannungsmessgenauigkeit, Mittelwerterfassungsmodus
Messtyp DC-Genauigkeit (in Volt) Mittelwert von ≥16 Signalen ±((DC-Verstärkungsgenauigkeit) * |Messwert - (Offset - Position)| + Offset-Genauigkeit + 0,05 * Einstellung V/div) Spannungsunterschied zwischen zwei Mittelwerten von ≥16 Signalen, die mit demselben Oszilloskop-Setup und unter denselben Umgebungsbedingungen erfasst wurden ±(DC-Verstärkungsgenauigkeit * |Messwert| + 0,1 Div)
- Automatische Messungen
36, von denen einen unbegrenzte Zahl angezeigt werden kann – entweder als einzelne Messsymbole oder zusammen in einer Messergebnistabelle
- Amplitudenmessungen
Amplitude, Maximum, Minimum, Peak-zu-Peak, positives Überschwingen, negatives Überschwingen, Mittelwert, Effektivwert, AC-Effektivwert, Top, Basis und Bereich
- Zeitbereichs-Messungen
Periode, Frequenz, Bitintervall, Datenrate, Positive Impulsbreite, Negative Impulsbreite, Zeitlicher Versatz, Verzögerung, Anstiegszeit, Abfallzeit, Phase, Ansteigende Flankensteilheit, Abfallende Flankensteilheit, Burstbreite, Positives Tastverhältnis, Negatives Tastverhältnis, Time Outside Level, Einstellungszeit, Haltezeit, Dauer N-Perioden, High Time und Low Time
- Jittermessungen (Standard)
- TIE und Phasenrauschen
- Messstatistik
- Mittelwert, Standardabweichung, Maximum, Minimum und Population. Statistiken sind sowohl für die aktuelle Erfassung als auch für alle Erfassungen verfügbar
- Referenzpegel
- Benutzerdefinierbare Referenzpegel für automatische Messungen können in Prozent oder Einheiten angegeben werden. Der Referenzpegel kann global für alle Messungen, nach Quellkanal oder -signal oder individuell für jede einzelne Messung festgelegt werden
- Gattersteuerung
- Bildschirm, Cursor, Logik, Suche oder Zeit. Gibt den Bereich einer Erfassung an, in dem Messungen vorgenommen werden. Gatter kann auf Global festgelegt werden (betrifft alle Messungen, die auf Global festgelegt sind) oder Lokal (alle Messungen können über eine eindeutige Zeitgatter-Einstellung verfügen; nur ein lokales Gatter ist verfügbar für Bildschirm-, Cursor-, Logik- und Suchaktionen).
- Messungsdarstellungen
- Zeittrend, Histogramm und Spektrum sind für alle Standardmessungen verfügbar
- Jitteranalyse fügt Folgendes hinzu:
- Messungen
Jitterübersicht, TJ@BER, RJ- δδ, DJ- δδ, PJ, RJ, DJ, DDJ, DCD, SRJ, J2, J9, NPJ, F/2, F/4, F/8, Eye Height, Eye Height@BER, Eye Width, Eye Width@BER, Eye High, Eye Low, Q-Factor, Bit High, Bit Low, Bit Amplitude, DC Common Mode, AC Common Mode (Pk-Pk), Differential Crossover, T/nT Ratio, SSC Freq Dev, SSC Modulation Rate
- Messungsdarstellungen
- Augendiagramm und Jitter-Badewanne
- Augendiagramm-Maskentest
Automatisierter Masken-Pass/Fehler-Test.
- Leistungsanalyse fügt Folgendes hinzu:
- Messungen
Eingangsanalse (Frequenz, Veff, Ieff, Spannungs- und Stromspitzenfaktoren, Ist-Leistung, Scheinleistung, reaktive Leistung, Leistungsfaktor, Phasenwinkel, Oberschwingungen, Einschaltstrom, Eingangskapazität)
Amplituden-Analyse (Zyklusamplitude, Zyklus-Höchstwert, Zyklus-Grundwert, Zyklus-Höchstwert, Zyklus-Mindestwert, Zyklus-Spitze-zu-Spitze)
Positive Impulsbreite, negative Impulsbreite, Periode, Frequenz, positives Tastverhältnis, negatives Tastverhältnis, positive Impulsbreite)
Schaltanalyse (Schaltverlust, dv/dt, di/dt, sicherer Betriebsbereich, RDSon)
Magnetische Analyse (Induktanz, I im Vergleich zu Intg(V), magnetischer Verlust, magnetische Eigenschaft)
Ausgangsanalyse (Leitungsripple, Schaltripple, Effizienz, Einschaltzeit, Abschaltzeit)
Frequenzantwort-Analyse (Regelschleifenantwort-Bode-Diagramm, Stromversorgungsunterdrückungsverhältnis, Impedanz)
- Messungsdarstellungen
- Balkendiagramm der Oberschwingungen, Bahndarstellung des Schaltverlusts und sicherer Betriebsbereich
- Digitale Energieverwaltung fügt Folgendes hinzu:
- Messungen
Welligkeitsanalyse (Ripple)
Transiente Analyse (Überschwingen, Unterschwingen)
Leistungssequenz-Analyse (Einschalten, Abschalten)
- DDR3/LPDDR3-Speicherdebug und Analyseoption (6-DBDDR3) fügt Folgendes hinzu:
- Messungen
Amplituden-Messungen (AOS, AUS, Vix(ac), AOS Per tCK, AUS Per tCK, AOS Per UI, AUS Per UI)
Zeitmessungen (tRPRE, tWPRE, tPST, Hold Diff, Setup Diff, tCH(avg), tCK(avg), tCL(avg), tCH(abs), tCL(abs), tJIT(duty), tJIT(per), tJIT(cc), tERR(n), tERR(m-n), tDQSCK, tCMD-CMD, tCKSRE, tCKSRX)
Signalberechnung
- Anzahl der berechneten Signale
- Unbegrenzt
- Arithmetisch
- Addieren, Subtrahieren, Multiplizieren und Dividieren von Signalen und Skalaren
- Algebraische Termini
- Definieren umfangreicher algebraischer Ausdrücke, die Signale, Skalare, vom Benutzer anpassbare Variablen und Ergebnisse parametrischer Messungen enthalten. Durchführung von mathematischen Berechnungen mit komplexen Gleichungen. Zum Beispiel (Integral (CH1 - Mittelwert(CH1)) X 1,414 X VAR1)
- Mathematische Funktionen
- Invertieren, Integrieren, Differenzieren, Quadratwurzel, Exponentialfunktionen, Log mit Basis 10, Log mit Basis e, Absolutwert, Aufrunden, Abrunden, Min, Max, Grad, Radiant, Sin, Cos, Tan, ASin, ACos und ATan
- Relational
- Ergebnis Boolescher Vergleiche >, <, ≥, ≤, = und ≠
- Logik
- AND, OR, NAND, NOR, XOR und EQV
- Filterfunktionen
- Benutzerdefinierbare Filter. Benutzer spezifizieren eine Datei mit den Koeffizienten des Filters
- FFT-Funktionen
- Spektralwert und -phase, und reale und imaginäre Spektren
- Vertikale Einheiten FFT
Größe: Linear und logarithmisch (dBm)
Phase: Grad, Radiant und Gruppenverzögerung
- FFT-Fensterfunktionen
- Hanning, Rechteck, Hamming, Blackman-Harris, Flattop2, Gauß, Kaiser-Bessel und TekExp
Spektrumansicht
- Mittenfrequenz
- Begrenzt durch die analoge Bandbreite des Instruments
- Spanne
- 74,5 Hz – 1,25 GHz (Standard)
74,5 Hz – 2 GHz (Option 6-SV-BW-1)
Grobe Einstellung in einer 1-2-5 Sequenz
- HF-über-Zeit-Kurven
- Größe/Zeit, Frequenz/Zeit, Phase/Zeit
- Auflösungsbandbreite (RBW)
- 93 μHz bis 62,5 MHz
93 μHz bis 100 MHz (Option 6-SV-BW-1)
- Fensterarten und Faktoren
Fensterart Faktor Blackman-Harris 1,90 Flat-Top 2 3,77 Hamming 1,30 Hanning 1,44 Kaiser-Bessel 2,23 Rechteck 0,89
- Spektrumzeit
- FFT-Fensterfaktor/RBW
- Referenzpegel
- Der Referenzpegel wird automatisch durch die Volt/div-Einstellung des analogen Kanals festgelegt
Einstellungsbereich: -42 dBm bis +44 dBm
- Vertikale Position
- -100 div bis +100 div
- Vertikale Einheiten
- dBm, dBµW, dBmV, dBµV, dBmA, dBµA
Suchen
- Anzahl der Suchvorgänge
- Unbegrenzt
- Suchtypen
Durchsuchen von langen Aufzeichnungen, um alle Vorkommen benutzerdefinierter Kriterien zu finden einschließlich Flanken, Impulsbreiten, Timeouts, Runt-Impulsen, Fensterverletzungen, Bitmuster, Setup/Hold-Verletzungen, Anstiegszeit/Abfallzeiten und Busprotokollereignisse. Suchergebnisse können in der Kurvenformansicht oder in der Ergebnistabelle angezeigt werden.
Display
- Displaytyp
- Externer Monitor
- 1920 (horizontal) × 1080 Pixel (vertikal) (High Definition)
- Anzeigemodi
Overlay: Überlagerung; die herkömmliche Oszilloskopanzeige, bei der sich die Spuren überlagern
Stacked: Stapelmodus; jedes Signal wird in einem eigenen horizontalen Abschnitt angezeigt und kann den vollen ADC-Umfang nutzen, während es von den anderen Signalen getrennt betrachtet werden kann. Kanalgruppen können auch innerhalb eines Elements überlagert werden, um den visuellen Vergleich der Signale zu vereinfachen.
- Zoom
- Horizontales und vertikales Zoomen wird für alle Kurvenformen und Plot-Ansichten unterstützt.
- Interpolation
- Sin(x)/x und Linear
- Signalformen
- Vektoren, Punkte, variable Nachleuchtdauer und unendliche Nachleuchtdauer
- Raster
- Bewegliche und feste Raster, auswählbar zwischen Raster, Zeit, Vollständig und Kein
- Farbpaletten
- Normal und invertiert für Screenshots
Einzelne Signalfarben können vom Benutzer ausgewählt werden
- Format
- YT, XY und XYZ
- Benutzeroberfläche in lokaler Sprache
- Englisch, Japanisch, Chinesisch (vereinfacht), Chinesisch (traditionell), Französisch, Deutsch, Italienisch, Spanisch, Portugiesisch, Russisch, Koreanisch
- Hilfe in lokaler Sprache
- Englisch, Japanisch, Chinesisch (vereinfacht)
Arbiträrsignal-/Funktionsgenerator (optional)
- Funktionstypen
- Arbiträr, Sinus, Rechteck, Impuls, Rampe, Dreieck, DC-Pegel, Gauß, Lorentz, Exponentieller Anstieg und Abfall, Sin(x)/x, Weißes Rauschen, Haversinus, Kardial
- Amplitudenbereich
- Die Werte sind Spitze-zu-Spitze-Spannungen
Signal 50 Ω 1 MΩ Arbiträr 10 mV bis 2,5 V 20 mV bis 5 V Sinus 10 mV bis 2,5 V 20 mV bis 5 V Rechteck 10 mV bis 2,5 V 20 mV bis 5 V Impuls 10 mV bis 2,5 V 20 mV bis 5 V Rampe 10 mV bis 2,5 V 20 mV bis 5 V Dreieck 10 mV bis 2,5 V 20 mV bis 5 V Gauß 10 mV bis 1,25 V 20 mV bis 2,5 V Lorentz 10 mV bis 1,2 V 20 mV bis 2,4 V Exponentieller Anstieg 10 mV bis 1,25 V 20 mV bis 2,5 V Exponentieller Abfall 10 mV bis 1,25 V 20 mV bis 2,5 V Sinus (x)/x 10 mV bis 1,5 V 20 mV bis 3,0 V Unkorreliertes Rauschen 10 mV bis 2,5 V 20 mV bis 5 V Haversinus 10 mV bis 1,25 V 20 mV bis 2,5 V Kardial 10 mV bis 2,5 V 20 mV bis 5 V
- Sinussignal
- Frequenzbereich
- 0,1 Hz bis 50 MHz
- Frequenzauflösungseinstellung
- 0,1 Hz
- Frequenzgenauigkeit
- 130 ppm (Frequenz ≤ 10 kHz), 50 ppm (Frequenz > 10 kHz)
Dies gilt nur für Sinus-, Rampen-, Rechteck- und Impulssignale.
- Amplitudenbereich
- 20 mVpp bis 5 Vpp in Hi-Z; 10 mVpp bis 2,5 Vpp in 50 Ω
- Amplitudenebenheit, typisch
±0,5 dB bei 1 kHz
±1,5 dB bei 1 kHz für < 20 mVppAmplituden
- Gesamt-Oberwellengehalt, typisch
1 % für Amplitude ≥ 200 mVppin 50 Ω Last
2,5 % für Amplitude > 50 mV UND < 200 mVppin 50 Ω Last
Dies gilt nur für Sinussignale.
- Störungsfreier dynamischer Bereich, typisch
40 dB (Vpp≥ 0,1 V); 30 dB (Vpp≥ 0,02 V), 50 Ω Last
- Rechteck- und Impulssignal
- Frequenzbereich
- 0,1 Hz bis 25 MHz
- Frequenzauflösungseinstellung
- 0,1 Hz
- Frequenzgenauigkeit
- 130 ppm (Frequenz ≤10 kHz); 50 ppm (Frequenz > 10 kHz)
- Amplitudenbereich
- 20 mVpp bis 5 Vpp in Hi-Z; 10 mVpp bis 2,5 Vpp in 50 Ω
- Tastverhältnisbereich
- 10 % - 90 % oder 10 ns Mindestimpuls, es gilt der größere Wert
Mindestimpulszeit gilt für Ein- und Aus-Zeit, deshalb wird das maximale Tastverhältnis bei höheren Frequenzen verringert, um 10 ns Aus-Zeit beizubehalten
- Tastverhältnisauflösung
- 0,1 %
- Mindestimpulsbreite, typisch
- 10 ns Dies ist die jeweilige Mindestzeit für die An- und Ausdauer.
- Anstiegs-/Abfallzeit, typisch
- 5 ns, 10 - 90 %
- Impulsbreitenauflösung
- 100 ps
- Überschwingen, typisch
- < % für Signalstufen über 100 mVpp
Dies gilt für Überschwingen des positiven Übergangs (+overshoot) und des negativen Übergangs (-overshoot)
- Asymmetrie, typisch
- ±1 % ±5 ns, bei Tastverhältnis von 50 %
- Jitter, typisch
- < 60 ps TIEeff, ≥ 100 mVpp Amplitude, 40-60 % Tastverhältnis
- Rampen- und Dreiecksignal
- Frequenzbereich
- >0,1 Hz bis 500 kHz
- Frequenzauflösungseinstellung
- 0,1 Hz
- Frequenzgenauigkeit
- 130 ppm (Frequenz ≤10 kHz); 50 ppm (Frequenz > 10 kHz)
- Amplitudenbereich
- 20 mVpp bis 5 Vpp in Hi-Z; 10 mVpp bis 2,5 Vpp in 50 Ω
- Variable Symmetrie
- 0 % - 100 %
- Symmetrieauflösung
- 0,1 %
- DC-Pegelbereich
±2,5 V in Hi-Z
±1,25 V in 50 Ω
- Amplitudenbereich weißes Rauschen
20 mVppbis 5 Vppin Hi-Z
10 mVppbis 2,5 Vppin 50 Ω
- Sin(x)/x
- Maximalfrequenz
- 2 MHz
- Gaußimpuls, Haversinus und Lorentzimpuls
- Maximalfrequenz
- 5 MHz
- Lorentzimpuls
- Frequenzbereich
- 0,1 Hz bis 5 MHz
- Amplitudenbereich
- 20 mVpp bis 2,4 Vpp in Hi-Z
10 mVppbis 1,2 Vppin 50 Ω
- Cardiac
- Frequenzbereich
- >0,1 Hz bis 500 kHz
- Amplitudenbereich
- 20 mVpp bis 5 Vpp in Hi-Z
10 mVppbis 2,5 Vppin 50 Ω
- Arbiträr
- Speichertiefe
- 1 bis 128 k
- Amplitudenbereich
- 20 mVpp bis 5 Vpp in Hi-Z
10 mVppbis 2,5 Vppin 50 Ω
- Wiederholrate
- 0,1 Hz bis 25 MHz
- Abtastrate
- 250 MS/s
- Signalamplitudengenauigkeit
- ±[ (1,5 % Spitze-zu-Spitze-Amplitudeneinstellung) + (1,5 % der absoluten DC-Offseteinstellung) + 1 mV ] (Frequenz = 1 kHz)
- Signalamplitudenauflösung
1 mV (Hi-Z)
500 μV (50 Ω)
- Sinus- und Rampenfrequenzgenauigkeit
130 ppm (Frequenz ≤10 kHz)
50 ppm (Frequenz >10 kHz)
- DC-Offsetbereich
±2,5 V in Hi-Z
±1,25 V in 50 Ω
- DC-Offset-Auflösung
1 mV (Hi-Z)
500 μV (50 Ω)
- DC-Offset-Genauigkeit
±[ (1,5 % der absoluten Offset-Spannungseinstellung) + 1 mV]
Fügen Sie einen Unsicherheitswert von 3 mV für jede Änderung von 10 °C oberhalb einer Umgebungstemperatur von 25 °C hinzu
Digitaler Spannungsmesser (DVM)
- Messtypen
DC, ACeff+DC, ACeff, Triggerfrequenzzähler
- Spannungsauflösung
- 4 Stellen
- Spannungsgenauigkeit
- DC:
±((1,5% * |Messwert - Offset - Position|) + (0,5% * |(Offset - Position)|) + (0,1 * Volt/Div))
Leistungsabfall um 0,100 %/°C von |Messwert - Offset - Position| über 30 °C
Signal ±5 Skalenteile ab Bildschirmmitte
- AC:
± 3% (40 Hz bis 1 kHz) ohne Oberwellen außerhalb des Bereichs 40 Hz bis 1 kHz
AC, typisch: ± 2 % (20 Hz bis 10 kHz)
Bei AC-Messungen müssen die vertikalen Eingangskanal-Einstellungen erlauben, dass das Vpp-Eingangssignal 4 bis 10 Skalenteile umfasst und auf vollständig auf dem Bildschirm zu sehen ist
Triggerfrequenzzähler
- Auflösung
8-stellig
- Genauigkeit
±(1 Zähler + Zeitbasisgenauigkeit * Eingangsfrequenz)
Das Signal muss mindestens 8 mVppoder 2 div. aufweisen, je nachdem, welcher Wert größer ist.
- Maximale Eingangsfrequenz
10 Hz bis maximale Bandbreite des analogen Kanals
Das Signal muss mindestens 8 mVppoder 2 div. aufweisen, je nachdem, welcher Wert größer ist.
Prozessorsystem
- Host-Prozessor
- Intel i5-4400E, 2,7 GHz, 64-Bit, Dual-Core-Prozessor
- Interner Speicher
- ≥ 80 GB. Formfaktor ist eine 80-mm-m.2-Karte mit einer SATA-3-Schnittstelle
- Betriebssystem
- Closed Embedded OS. Kein Zugriff auf OS-Dateisystem.
Eingangs-/Ausgangsanschlüsse
- DisplayPort-Anschluss
Ein 20-poliger DisplayPort-Anschluss; für die Übertragung der Bildschirmdaten vom Oszilloskop an einen externen Monitor oder Beamer.
- DVI-Anschluss
29-poliger DVI-I-Anschluss für die Übertragung der Bilddaten auf dem Display des Oszilloskops an einen externen Monitor oder Projektor.
- VGA
DB-15-Steckbuchse für die Übertragung der Bilddaten des Oszilloskopdisplays an einen externen Monitor oder Beamer
- Tastkopfkompensator-Signal, typisch
- Verbindung:
- Anschlüsse rechts unten an der Front des Geräts
- Amplitude:
- 0 V bis 2,5 V
- Frequenz:
- 1 kHz
- Quellenimpedanz:
- 1 kΩ
- Externer Referenzeingang
- Das zeitbasierte System kann auf ein externes 10 MHz Referenzsignal phasengeregelt werden.
Für den Referenztakt gibt es zwei Bereiche.
Das Instrument kann einen Referenztakt von 10 MHz ±2 ppm oder einen Referenztakt von 10 MHz ±1 kppm mit einer geringereren Genauigkeit akzeptieren.
- USB-Schnittstelle (Host, Geräteanschlüsse)
USB-Hostanschlüsse am vorderen Bedienfeld: Zwei USB-2.0-Highspeed-Anschlüsse, ein USB-3.0-Superspeed-Anschluss
USB-Hostanschlüsse an der Rückwand: Zwei USB-2.0-Highspeed-Anschlüsse, ein USB-3.0-Superspeed-Anschluss
USB-Geräteanschluss an der Rückwand: Ein USB-3.0-Superspeed-Geräteanschluss bietet USBTMC-Unterstützung und Übertragungsgeschwindigkeiten von bis zu 800
- Ethernet-Schnittstelle
- 10/100/1000 MB/s
- Aux-Ausgang
BNC-Anschluss auf der Rückseite. Der Ausgang kann für die Bereitstellung eines positiven oder negativen Impulsausgangssignals beim Triggern des Oszilloskops, eines internen Referenztaktausgangs des Oszilloskops oder eines AFG-Synchronisationsimpulses konfiguriert werden
Merkmal Grenzwerte Vaus (HI) ≥ 2,5 V unterbrochener Schaltkreis; ≥ 1,0 V bei einer Last von 50 Ω zur Erdung Vaus (LO) ≤ 0,7 V bei einer Last von ≤ 4 mA; ≤ 0,25 V bei einer Last von 50 Ω zur Erdung
- Kensington-Schloss
- Der Sicherheitsschlitz auf der Rückseite ist für ein Kensington-Schloss vorgesehen
- LXI
Klasse: LXI 2016
Version: 1.5
Stromversorgung
- Strom
- Leistungsaufnahme
360 W, max.
- Versorgungsspannung
- 100 - 240 V ±10 % bei 50 bis 60 Hz
115 V ±10 % bei 400 Hz
Physische Eigenschaften
- Abmessungen
Höhe: 87,3 mm
Breite: 432 mm
Tiefe: 605,7 mm
Passt in Gestelle mit einer Tiefe von 60,69 cm (24 Zoll) bis 81,28 cm (32 Zoll)
- Gewicht
13,34 kg
- Kühlung
- Um die ausreichende Kühlung sicherzustellen, müssen auf der linken und rechten Seite des Geräts mindestens 50,8 mm Platz gelassen werden. Luft strömt von links nach rechts durch das Gerät.
- Gestelleinbau
- 2U-Gestelleinbausatz ist als Standardkonfiguration enthalten
Umgebungsspezifikationen
- Temperatur
- Betrieb
- +0 °C bis +50 °C
- Lagerung
-20 °C bis +60 °C
- Feuchte
- Betrieb
5 bis 90 % relative Luftfeuchtigkeit bei maximal +40 °C
5 % bis relative Luftfeuchtigkeit über +40 °C bis zu +50 °C, nicht kondensierend
- Lagerung
5 bis 90 % relative Luftfeuchtigkeit (% RH) bei maximal +60 °C, nicht kondensierend
- Höhe über NN
- Betrieb
- Bis zu 3.000 m
- Lagerung
- Bis zu 12.000 m
EMV, Umwelt und Sicherheit
- Gesetzliche Bestimmungen
CE-Kennzeichen für die europäische Union und CSA-Zulassung für USA und Kanada
RoHS-konform
Software
- Software
- IVI-Treiber
Stellt eine Standardschnittstelle zur Geräteprogrammierung für gängige Anwendungen wie LabVIEW, LabWindows/CVI, Microsoft .NET und MATLAB bereit. Kompatibel mit Python, C/C++/C# und viele andere Sprachen über VISA.
- e*Scope®
Ermöglicht die Steuerung des Oszilloskops über eine Netzwerkverbindung mit einem standardmäßigen Webbrowser. Geben Sie einfach die IP-Adresse oder den Netzwerknamen des Oszilloskops ein. Daraufhin wird eine Internetseite im Browser geöffnet. Sie können Einstellungen, Signale, Messungen und Bildschirmdarstellungen übertragen und speichern oder Änderungen an Einstellungen auf dem Oszilloskop direkt über den Webbrowser vornehmen.
- LXI-Webschnittstelle
Ermöglicht den Anschluss an das Oszilloskop über einen standardmäßigen Internet-Browser. Geben Sie einfach die IP-Adresse oder den Netzwerknamen des Oszilloskops in die Adressleiste des Browsers ein. Die Webschnittstelle ermöglicht die Anzeige von Gerätestatus und -konfiguration, Status und Änderung von Netzwerkeinstellungen sowie die Gerätesteuerung über die webbasierte Fernsteuerungsfunktion e*Scope. Alle Web-Interaktionen entsprechen den Anforderungen der LXI-Spezifikation, Version 1.5.
- Programmierbeispiele
Die Programmierung mit den Plattformen der Serie 5 und 6 ware noch nie einfacher. Mit einer Programmieranleitungund einer GitHub-Website haben Sie viele Befehle und Beispiele, mit denen Sie Ihr Instrument aus der Ferne sehr schnell programmieren können. Siehehttps://github.com/tektronix/Programmatic-Control-Examples.
Bestellinformationen
Arbeiten Sie die folgenden Schritte durch, um die passenden Geräte und Optionen für Ihre Messanforderungen auszuwählen.
Schritt 1
- Beginnen Sie mit der Auswahl des Modells.
Modell Anzahl der Kanäle LPD64 4
Jedes Modell umfasst Installierte Befestigungen für den Gestelleinbau Installations- und Sicherheitshandbuch (übersetzt in Englisch, Französisch, Deutsch) Integrierte Hilfe Netzkabel Kalibrierungszertifikat zur Dokumentation der Rückverfolgbarkeit auf die Messstandards der nationalen Metrologieinstitute und ISO9001/ISO17025-Qualitätssystemregistrierung Ein-jährige Gewährleistung für alle Teile und Arbeiten an dem Instrument.
Schritt 2
- Konfigurieren Sie Ihr Niedrigprofil-Digitalisierer, indem Sie die erforderliche Analogkanalbandbreite wählen
- Wählen Sie eine der folgenden Bandbreitenoptionen aus. Sie können es später durch den Erwerb eines Aufrüstsatzes aufrüsten.
Bandbreitenoption Bandbreite 6-BW-1000 1 GHz 6-BW-2500 2.5 GHz 6-BW-4000 4 GHz 6-BW-6000 6 GHz 6-BW-8000 8 GHz
Schritt 3
- Gerätefunktionen hinzufügen
- Gerätefunktionen können mit dem Gerät zusammen oder später als Upgrade-Kit bestellt werden.
Instrumentenoption Integrierte Funktionen 6-RL-2 Erweitern Sie die Aufzeichnungslänge von 125 Mio. Punkte/Kanal auf 250 Mio. Punkte/Kanal 6-AFG Arbiträr-/Funktionsgenerator hinzufügen
Schritt 4
- Optionen Funktionen für serielle Bus-Triggerung, Dekodierung und Suche hinzufügen
- Wählen Sie die serielle Unterstützung, die Sie brauchen, aus diesen seriellen Analyseoptionen aus. Bei Bedarf können Sie später mit einem Upgrade-Kit aufrüsten.
Instrumentenoption Unterstützte serielle Busse 6-SRAERO Luft- und Raumfahrt (MIL-STD-1553, ARINC 429) 6-SRAUDIO Audio (I2S, LJ, RJ, TDM) 6-SRAUTO Fahrzeug (CAN, CAN FD, LIN, FlexRay und CAN symbolische Decodierung) 6-SRAUTOEN1 100BASE-T1 serielle Ethernet-Fahrzeuganalyse 6-SRAUTOSEN Fahrzeugsensor (SENT) 6-SRCOMP Computer (RS-232/422/485/UART) 6-SREMBD Integriert (I2C, SPI) 6-SRENET Ethernet (10BASE-T, 100BASE-TX) 6-SRI3C MIPI I3C (nur I3C-Decodierung und Suche) 6-SRPM Leistungsmanagement (SPMI) 6-SRSPACEWIRE serielle Spacewire-Analyse 6-SRUSB2 USB (USB2.0 LS, FS, HS)
Schritt 5
- Optionale Speicheranalyse hinzufügen
Geräteoption Erweiterte Analyse 6-DBDDR3 DDR3- und LPDDR3-Debuggen und Analyse
Schritt 6
- Optionale Analysefunktionen hinzufügen
Geräteoption Erweiterte Analyse 6-DJA Erweiterte Jitter- und Augenanalyse 6-PWR Leistungsmessung und Analyse 6-DPM Digitales Energiemanagement 6-SV-RFVT Spektrumansicht RF im Vergleich zur Zeitanalyse und Remote-IQ-Datenübertragung 6-SV-BW-1 Erhöhung der Spektrumansicht-Erfassungsbandbreite auf 2 GHz 6-PAM3 PAM3-Analyse
Schritt 7
- Zubehör hinzufügen
Optionales Zubehör Beschreibung 020-3180-xx Labor-Umrüstsatz einschließlich vier (4) Gerätefüßen und Gurtgriff 016-2139-xx Hartschalenkoffer mit Griff und Rädern für den einfachen Transport 003-1929-xx SMA 8-lb-Drehmomentschlüssel für das Anschließen von SMA-Kabeln 174-6211-xx 2x passende SMA-Kabel (innerhalb von 1 pS) 174-6212-xx 4x passende SMA-Kabel (innerhalb von 1 pS) 174-6215-00 Leistungsverteiler, 2-Wege, 50 Ohm, DC-18 GHz 174-6214-00 Leistungsverteiler, 4-Wege, 50 Ohm, DC-18 GHz GPIB-Ethernet-Adapter Bestellen Sie Modell 4865B (GPIB-Ethernet-Instrumentenschnittstelle) direkt bei ICS Electronics
www.icselect.com/gpib_instrument_intfc.html
Schritt 8
- Netzkabeloption auswählen
Netzkabeloption Beschreibung A0 Netzstecker für Nordamerika (115 V, 60 Hz)
Inklusive Mechanismus zur Arretierung des Netzkabels am InstrumentA1 Universeller Netzstecker für Europa (220 V, 50 Hz) A2 Netzstecker für Großbritannien (240 V, 50 Hz) A3 Netzstecker für Australien (240 V, 50 Hz) A5 Netzstecker für die Schweiz (220 V, 50 Hz) A6 Netzstecker für Japan (100 V, 50/60 Hz) A10 Netzstecker für China (50 Hz) A11 Netzstecker für Indien (50 Hz) A12 Netzstecker für Brasilien (60 Hz) A99 Kein Netzkabel
Schritt 9
- Erweiterte Service- und Kalibrierungsoptionen hinzufügen
Serviceoption Beschreibung G3 Gold-Service-Plan für drei Jahre. Umfasst Express-Reparaturen bei sämtlichen Gerätefehlern wie ESD- und EOS-Schäden, Anspruch auf ein Leihgerät während der Reparatur bzw. auf einen Vorab-Austausch zur Verringerung von Ausfallzeiten und privilegierten Zugang zum Kundendienst u. v. m. G5 Gold-Service-Plan für fünf Jahre. Umfasst Express-Reparaturen bei sämtlichen Gerätefehlern wie ESD- und EOS-Schäden, Anspruch auf ein Leihgerät während der Reparatur bzw. auf einen Vorab-Austausch zur Verringerung von Ausfallzeiten und privilegierten Zugang zum Kundendienst u. v. m. R3 Auf 3 Jahre verlängerte Standardgarantie. Ersatzteile, Arbeitsleistungen sowie nationaler Versand innerhalb von 2 Tagen inbegriffen. Schnellere Reparaturzeiten als ohne Vereinbarung garantiert. Bei allen Reparaturen sind eine Kalibrierung und Aktualisierungen inbegriffen. Problemloser Service – ein Anruf genügt. R5 Standardgarantie auf 5 Jahre verlängert. Ersatzteile, Arbeitsleistungen sowie nationaler Versand innerhalb von 2 Tagen inbegriffen. Schnellere Reparaturzeiten als ohne Vereinbarung garantiert. Bei allen Reparaturen sind eine Kalibrierung und Aktualisierungen inbegriffen. Problemloser Service – ein Anruf genügt. C3 Kalibrierungsservice für 3 Jahre. Im Leistungsumfang enthalten sind die rückführbare Kalibrierung bzw. Funktionsüberprüfung bei empfohlenen Kalibrierungen. Mit Erstkalibrierung plus Kalibrierungsservice für 2 Jahre. C5 Kalibrierungsservice für 5 Jahre. Im Leistungsumfang enthalten sind die rückführbare Kalibrierung bzw. Funktionsüberprüfung bei empfohlenen Kalibrierungen. Mit Erstkalibrierung plus Kalibrierungsservice für 4 Jahre. D1 Kalibrierungsdatenbericht D3 Kalibrierungsdatenbericht für 3 Jahre (mit Option C3) D5 Kalibrierungsdatenbericht für 5 Jahre (mit Option C5)
Funktions-Upgrades nach dem Kauf
- Fügen Sie zukünftig Funktionsupgrades hinzu
- Die Produkte der Serie 6 bieten viele Möglichkeiten für das einfache Hinzufügen von Funktionen nach dem Kauf. Lizenzen für einen einzelnen Knoten können optionale Funktionen permanent an einem einzelnen Produkt aktiviert werden. Dank Floating-Lizenzen können lizenzaktivierte Optionen einfach zwischen kompatiblen Instrumenten übertragen werden.
Upgradefunktion Lizenzupgrade für einen einzelnen Knoten Floating-Lizenzupgrade Beschreibung Instrumentenfunktionen hinzufügen SUP6-AFG SUP6-AFG-FL Arbiträrfunktionsgenerator hinzufügen SUP6-RL-2 SUP6-RL-2-FL Erweiterte Aufzeichnungslänge auf 250Mio. Punkte/Kanal Protokollanalyse hinzufügen SUP6-SRAERO SUP6-SRAERO-FL Luft- und Raumfahrt –serielles Triggering und Analyse (MIL-STD-1553, ARINC 429) SUP6-SRAUDIO SUP6-SRAUDIO-FL serielles Audio-Triggering und Analyse (I2S, LJ, RJ, TDM) SUP6-SRAUTO SUP6-SRAUTO-FL serielles Fahrzeug-Triggering und Analyse (CAN, CAN FD, LIN, FlexRay und CAN – symbolische Decodierung) SUP6-SRAUTOEN1 SUP6-SRAUTOEN1-FL 100Base-T1 serielle Ethernet-Fahrzeuganalyse SUP6-SRAUTOSEN SUP6-SRAUTOSEN-FL serielles Fahrzeugsensor-Triggering und Analyse (SENT) SUP6-SRCOMP SUP6-SRCOMP-FL serielles Computer-Triggering und Analyse (RS-232/422/485/UART) SUP6-SREMBD SUP6-SREMBD-FL Integriertes serielles Triggering und Analyse (I2C, SPI) SUP6-SRENET SUP6-SRENET-FL serielles Ethernet-Triggering und Analyse (10Base-T, 100Base-TX) SUP6-SRI3C SUP6-SRI3C-FL MIPI I3C serielle Decodierung und Analyse SUP6-SRPM SUP6-SRPM-FL serielles Leistungsmanagement-Triggering und Analyse (SPMI) SUP6-SRSPACEWIRE SUP6-SRSPACEWIRE-FL serielle Spacewire-Analyse SUP6-SRUSB2 SUP6-SRUSB2-FL serielles USB-2.0-Triggering und Analyse (LS, FS, HS) Erweiterte Analyse hinzufügen SUP6-DJA SUP6-DJA-FL Erweiterte Jitter- und Augenanalyse SUP6-PWR SUP6-PWR-FL Erweiterte Leistungsmessungen und Analyse SUP6-DPM SUP6-DPM-FL Digitales Leistungsmanagement SUP6-SV-RFVT SUP6-SV-RFVT-FL Spektrumansicht RF im Vergleich zur Zeitanalyse SUP6-SV-BW-1 SUP6-SV-BW-1-FL Erhöhen Sie die Spektrumansicht-Erfassungsbandbreite auf 2 GHz SUP6-PAM3 SUP6-PAM3-FL PAM3-Analyse Speicheranalyse hinzufügen SUP6-DBDDR3 SUP6-DBDDR3-FL DDR3- und LPDDR3-Debuggen und Analyse Digitales Voltmeter hinzufügen SUP6-DVM N/A Digitales Voltmeter/Triggerfrequenzzähler (Kostenlos mit Produktregistrierung unter www.tek.com/register6mso)
Bandbreiten-Upgrades nach dem Kauf
- Bandbreiten-Upgrades zu einem späteren Zeitpunkt hinzufügen
Die analoge Bandbreite der Niedrigprofil-Digitalisierer-Produkte der Serie 6 kann nach dem Erwerb erweitert werden. Bandbreiten-Upgrades können auf Grundlage der aktuellen und gewünschten Bandbreite erworben werden. Alle Bandbreiten-Upgrades können vor Ort durch die Installation einer Softwarelizenz und der Anbringung eines Aufklebers an der Frontblende durchgeführt werden.
Modell für Upgrade Bandbreite vor Upgrade Bandbreite nach dem Upgrade Bestellen Sie dieses Bandbreiten-Upgrade LPD64 1 GHz 2,5 GHz SUP6LP-BW10T254 1 GHz 4 GHz SUP6LP-BW10T404 1 GHz 6 GHz SUP6LP-BW10T604 1 GHz 8 GHz SUP6LP-BW10T804 2,5 GHz 4 GHz SUP6LP-BW25T404 2,5 GHz 6 GHz SUP6LP-BW25T604 2,5 GHz 8 GHz SUP6LP-BW25T804 4 GHz 6 GHz SUP6LP-BW40T604 4 GHz 8 GHz SUP6LP-BW40T804 6 GHz 8 GHz SUP6LP-BW60T804





