與我們聯絡
與 Tek 業務代表即時對談。 上班時間:上午 6:00 - 下午 4:30 (太平洋時間)
請致電
與 Tek 業務代表即時對談。 上班時間:上午 8:30 - 下午 5:30 (太平洋時間)
下載
下載手冊、產品規格表、軟體等等:
意見回饋

優異的規格
輸入通道
- 4 個、6 個或 8 個 FlexChannel® 輸入通道
- 每個 FlexChannel 提供:
- 可以顯示為波形檢視的一個類比訊號,頻譜檢視,或兩者同時提供
- TLP058 探棒的八個數位邏輯輸入
頻寬 (所有類比通道)
- 350 MHz,500 MHz,1 GHz,2 GHz (可升級)
取樣率 (所有類比/數位通道)
- 即時:6.25 GS/s
- 內插:500 GS/s
記錄長度 (所有類比/數位通道)
- 62.5 點標準 (125 M 點選配升級)
波形擷取率
- >500,000 波形/s
垂直解析度
- 12 位元 ADC
- 在高解析度模式中高達 16 位元
標準觸發類型
- 邊緣、脈波寬度、矮波、逾時、視窗、邏輯、設定/保持、上升/下降時間、並列匯流排、順序、視覺觸發
標準分析
- 游標:波形、垂直線條、水平線條、水平加垂直線條
- 量測:36
- 頻域檢視:具頻域和時域獨立控制的頻域分析
- FastFrameTM:具有最大觸發率 >5,000,000 個波形/秒的分段記憶體擷取模式
- 繪圖:時間趨勢、分佈圖和頻譜
- 數學運算:基本波形數學運算、快速傅立葉轉換和進階方程式編輯器
- 搜尋:依任何觸發準則來搜尋
- 抖動:TIE 和相位雜訊
選配分析
- 進階抖動和眼圖分析
- 進階電源量測和分析
選配串列匯流排觸發、解碼和分析
- I2C、SPI、I3C、RS-232/422/485/UART、SPMI、CAN、CAN FD、LIN、FlexRay、SENT、USB 2.0、乙太網路、I2S、LJ、RJ、TDM、MIL-STD-1553、ARINC429
選配串列相容性測試
- 乙太網路、USB 2.0、車用乙太網路、
任意/函數產生器
- 50 MHz 波形產生
- 波形類型:任意、正弦波、方波、脈波、斜波、三角形、直流層、高斯、羅倫茲、指數上升/衰減波、Sin(x)/x、隨機雜訊、Haversine 波、Cardiac 波
數位電壓計1
- 4 位數交流 RMS、直流和直流+交流 RMS 電壓量測
觸發計頻器1
- 8 位數
顯示器
- 15.6 英吋 (396 公釐) 彩色 TFT
- 高解析度 (1,920 x 1,080)
- 電容性 (多點觸控) 觸控式螢幕
連接能力
- USB 主機 (7 埠)、USB 3.0 裝置 (1 埠)、LAN (10/100/1000 Base-T 乙太網路;相容於 LXI)、顯示埠、DVI-D、視訊輸出
e*Scope®
- 使用網路連接透過標準的網頁瀏覽器,從遠端檢視和控制示波器
標準探棒
- 每個通道有一支 10 MΩ 被動電壓探棒,電容性負載小於 4 pF
保固
- 具有選配的全方位保護方案的 3 年標準保固
尺寸
- 12.2 英吋 (309 公釐) H x 17.9 英吋 (454 公釐) W x 8.0 英吋 (204 公釐) D
- 重量:<25 磅(11.4 公斤)
1註冊產品即可免費獲得。
千萬別因為通道不夠,又讓驗證和偵錯程序變慢!
5 系列 MSO 提供四個、六個和八個通道的型號,配備 15.6 英吋高解析度 (1,920 x 1,080) 大螢幕,讓您更清楚觀察複雜的系統。在許多應用上,例如嵌入式系統、三相電力電子裝置、汽車電子裝置和直流對直流電源轉換器,需要觀察超過四個的類比訊號,才能驗證和判斷裝置效能,並針對難解的系統問題進行偵錯。
大部分工程師在回想起對特別困難的問題進行偵錯時,會想要有更好的系統可視性和環境,但他們所使用的示波器都只有兩個或四個類比通道。使用第二個示波器需要費力調準觸發點、難以判斷兩個面板的時序關係,還有書面記錄方面的難題。
{或許您以為六個 和八個通道的示波器,成本會比四個通道的示波器高出 50% 或 100%但您將會很驚喜地發現,六個通道的型號成本只比四個通道的型號高出 ~25%,而八個通道的型號成本也只比四個通道的型號高出 ~67%。額外的類比通道可讓您如期完成目前和未來的專案,很快就能回收成本。

三相馬達啟動後會進行電壓量測,顯示三相位輸入電壓。
FlexChannel®技術可發揮最大彈性和更廣的系統可見性
5 系列 MSO 重新定義何謂混合訊號示波器 (MSO)。FlexChannel 科技讓每個通道輸入用作單一類比或八個數位邏輯輸入 (具 TLP058 邏輯探棒) 或具各域獨立擷取控制的類比和頻譜同步檢視 。想像一下這種彈性和組態。
八個 FlexChannel 的型號讓您配置儀器來檢查八個類比訊號,而不檢查數位訊號。或者,七個類比和八個數位訊號。或者,六個類比和 16 個數位訊號、五個類比和 24 個數位訊號,依此類推。您可隨時新增或移除 TLP058 邏輯探棒來變更組態,以維持正確的數位通道數目。

FlexChannel 技術可發揮最大的彈性。根據您接上的探棒類型,每個輸入可配置成單一類比通道,或八個數位通道。
上一代 MSO 需要取捨,因為相較於類比通訊,數位通道的取樣率較低或記錄長度較短。4 系列 MSO5 系列 MSO 將數位通道提升到更高的整合層次。數位通道一樣擁有高取樣率 (高達 6.25 GS/s) 和長記錄長度 (長達 125 ) 類比通道的點位。

TLP058 提供八個高效能數位輸入。請依需要連接足夠的 TLP058 探棒,最多可形成 64 個數位通道。

通道 2 有一支 TLP058 邏輯探棒連接至 DAC 的八個輸入。請注意綠色和藍色的色彩編碼,一是綠色,零是藍色。通道 3 的另一支 TLP058 邏輯探棒正在探測驅動 DAC 的 SPI 匯流排。白色邊緣表示下次擷取時若放大或改為更快的掃描速度,即可取得較高頻資訊。

FlexChannel 輸入通道不僅提供類比和數位,也包括「頻譜檢視」。此項 Tektronix 專利技術讓您同步查看所有類比訊號的類比和頻譜檢視,並具備各域的獨立控制。示波器頻域分析前所未有地如使用頻譜分析儀般簡單,且保留將頻域活動與其他時域現象產生關聯的功能。
前所未有的訊號檢視功能
5 系列 MSO 中驚人的 15.6 吋 (396 公釐) 顯示器是業界 中最大的顯示器,顯示區域比配備 10.4 吋 (264 公釐) 顯示器的示波器大一倍。這也是解析度最高的螢幕,達到 Full HD 解析度 (1,920 x 1,080),可讓您一次看到許多訊號,有充裕的空間可顯示重要讀數和分析。
檢視區域經過最佳設計,以確保有最大的垂直空間可顯示波形。右側的結果列可以隱藏,讓波形視檢視善用面板的全部寬度。

堆疊顯示模式可讓您輕鬆看到所有波形,同時在每個輸入維持最大的 ADC 解析度,以獲得最精確的量測。
5 系列 MSO 首創革命性的「堆疊」顯示模式。以往,示波器會在相同方格圖中重疊所有的波形,讓你不得不做出取捨:
為了看見每個波形,您必須垂直縮放並排列每個波形,以免重疊。每個波形都會佔用可用 ADC 的一小部分範圍,導致量測較不精確。
為了準確量測,您需要縮放並排列每個波形來填滿整個螢幕。波形彼此重疊,結果難以區別個別波形的訊號細節
新的「堆疊」顯示不必再這樣犧牲。建立和移除波形時,就會自動新增和移除額外的水平波形「切片」(額外的方格圖)。每個切片都代表波形的完整 ADC 範圍。所有波形在外觀上彼此隔開,但仍使用完整的 ADC 範圍,達到最大的可視性和準確度。且這一切都會隨著新增或移除波形而自動完成!在堆疊顯示模式透過拖放螢幕底部設定列的通道和波形標籤,可以輕鬆地將通道重新排序。也可以在切片內重疊通道群組,簡化對訊號的視覺比較。
5 系列 MSO 的龐大顯示器也提供足夠的檢視區域,不僅為了訊號,還能呈現繪圖、量測結果表、匯流排解碼表等等。您可以輕鬆地縮放和搬移各種視圖,以符合您的應用需求。

檢視三個類比通道、八個數位通道、一個解碼的序列匯流排波形、一個解碼的串列封包結果表、四個量測、一個量測分佈圖、含統計值的量測結果表,以及搜尋序列匯流排事件 - 全都同時進行!
極易使用的使用者介面讓您專心處理手邊的工作
設定列 - 重要參數和波形管理
沿著面板底部的設定列中,有一系列「徽章」會顯示波形和示波器作業參數。設定列可讓您立即存取最常用的波形管理工作。只要點選一下就可以:
- 開啟通道
- 新增數學運算波形
- 新增參考波形
- 新增匯流排波形
- 啟用選配的整合式任意/函數產生器 (AFG)
- 啟用選配的整合式數位電壓計 (DVM)
結果列 - 分析和量測
面板右邊的結果列讓您點選一下,就能立即存取最常用的分析工具,例如游標、量測、搜尋、量測和匯流排解碼結果表、繪圖及註釋。
DVM、量測和搜尋結果標籤都顯示在結果列中,完全不佔用波形檢視區域。若要有更大的波形檢視區域,您可以將結果列隱藏,然後隨時都可重現。

只要點兩下面板上感興趣的項目,即可存取組態功能表。本例中點兩下觸發標籤來開啟「觸發」組態功能表。
徹底實現觸控互動
多年來,示波器已有觸控式螢幕,只不過觸控式介面一直都是另外添購。5 系列 MSO 的 15.6 英吋面板配備電容性觸控螢幕,是業界第一個真正觸控設計的示波器使用者介面。
您在手機和平板電腦上所使用,以及期待觸控裝置上應有的觸控互動表現,5 系列 MSO 都可支援。
- 將波形左/右或上/下拖曳可調整水平和垂直位置,或平移縮放視圖
- 捏合和張開,可依水平或垂直方向來變更刻度或縮放
- 將項目拖到垃圾桶即可刪除
- 手指從右側撥進來可顯示結果列,從上方撥下來可存取面板左上角的功能表
滑順、反應靈敏的前面板控制可讓您以熟悉的旋鈕和按鈕來調整,您還可以加進滑鼠或鍵盤當作第三種互動方法。

就像使用手機和平板電腦一樣,與電容性觸控螢幕互動。
前面板控制的具體細節
在傳統的示波器正面,面板和控制各佔大約一半面積。5 系列 MSO 面板約佔儀器正面的 85%。為了達成此比例,經過簡化的前面板只保留重要的控制以求直覺化的操作,而減少了功能表按鈕,讓功能可直接透過面板上的物件來操作。
不同色彩的 LED 光環代表觸發源和垂直刻度/位置旋鈕指派。較大的專用「執行/停止」和「單次序列」按鈕特別放在右上方,其他功能全部都可以透過專用前面板按鈕來操作,例如強制觸發、觸發斜率、觸發模式、預設值設定、自動設定及快速儲存功能。

高效的直覺式前面板提供重要控制的同時,依然留有充足空間給 龐大的 15.6 吋高解析度顯示器。
是否需要 Windows - 由您選擇
5 系列 MSO 是第一款 您選擇是否要內建 Microsoft Windows™ 作業系統的示波器。打開儀器底部的通路板就會看到固態硬碟 (SSD) 的連線。沒有 SSD 時,儀器開機後會成為專用的示波器,無法執行或安裝其他程式。
有 SSD 時,儀器會以開放式 Windows10 組態開機,可讓您將示波器應用程式最小化,並存取 Windows 桌面,然後您就可以在示波器上安裝並執行額外的應用程式。您也可以連接其他螢幕來延伸桌面。
不論是否執行 Windows,示波器運作起來完全相同,有相同的外觀和使用感覺及 UI 互動。
需要更高的通道密度嗎?
我們也提供具有低階外形尺寸的 5 系列 MSO - MSO58LP。5 系列 MSO 低階型具有八個 1GHz 輸入通道和輔助觸發輸入,高度為 2U 的套件且具有 12 位元的 ADC,於需要極高通道密度的應用領域,設定全新的效能標準。

體驗效能差異
5 系列 MSO 具備高達 2 GHz 的類比頻寬、6.25 GS/s 的取樣率、標準 62.5 M 點的記錄長度,以及 12 位元的類比至數位轉換器,效能足夠讓您擷取最佳訊號逼真度的波形,而解析度可讓您看見微小波形的細節。
數位螢光技術的 FastAcq™ 高速波形擷取
若要除錯設計問題,首先必須知道問題在哪裡。數位螢光技術搭配 FastAcq 可讓您快速深入瞭解裝置的實際作業。其快速波形擷取率 (大於每秒 500,000 個波形),極可能讓您發現數位系統中常見的偶發問題:矮波脈波、突波、時序問題等等。為了進一步增強罕見事件的可視性,強度等級可表示相對於正常的訊號特性,罕見暫態訊號的發生頻率。

FastAcq 的高波形擷取率,可讓您發現數位設計中常見的偶發問題。
業界頂尖垂直解析度
當您需要擷取高振幅訊號,又想看到微小訊號的細節時, 5 系列 MSO 的效能可讓您擷取特定訊號,並盡可能避免被討厭的雜訊所影響。5 系列 MSO 的核心是 12 位元類比至數位轉換器 (ADC),提供的垂直解析度是傳統 8 位元 ADC 的 16 倍。
新的高解析度模式會根據所選取的取樣率,套用透過硬體設定的獨特有限脈衝響應 (FIR) 濾波器。FIR 濾波器會盡力為該取樣率保持最大頻寬,同時避免頻疊,針對所選取的取樣率,還會從示波器放大器和 ADC 移除高於可用頻寬的雜訊。高解析度模式一定會提供至少 12 位元的垂直解析度,在 ≤125 MS/s 取樣率之下,將會一路擴充至 16 位元的垂直解析度。
新的低雜訊前端放大器,更進一步改進了 5 系列 MSO 解析精細訊號細節的能力。

5 系列 MSO 的 12 位元 ADC,再結合新的高解析度模式,打造業界頂尖的垂直解析度。
觸發
發現裝置故障只是第一步。接下來,您必須擷取感興趣的事件以查明原因。 5 系列 MSO 提供一組完整的進階觸發器,包括:
- 矮波
- 邏輯
- 脈波寬度
- 視窗
- 逾時
- 上升/下降時間
- 設定與違反時間保持
- 串列封包
- 並列資料
- 序列
- 視覺觸發
有了長達 125 M 點 的記錄長度,單次便能擷取許多感興趣的事件甚至數以千計的串列封包,但仍保有高解析度來放大精細訊號細節,並記錄可靠的量測。

各種觸發類型和觸發功能表中的即時線上說明,可讓您比以往更輕鬆地隔離感興趣的事件。
視覺觸發 – 迅速找到目標訊號
若要找到複雜匯流排的正確週期,需要花數小時收集並分類數千筆目標事件的擷取資料。定義隔離所需事件的觸發器,可加快偵錯和分析工作。
視覺觸發可徹底掃描所有波形擷取資料,並與螢幕區域 (幾何形狀) 比較,擴充儀器的觸發功能。您可以使用滑鼠或觸控螢幕建立有限的區域,並可用各種形狀 (三角形、長方形、六角形或梯形) 指定所需觸發行為。建立形狀後,便可加以互動編輯,建立自訂形狀與理想觸發條件。定義多個形狀後,可使用布林邏輯方程式,以螢幕式編輯功能設定複雜觸發條件。

視覺觸發區隔出特定事件,僅擷取想查看的事件可節省時間。
視覺觸發僅在最重要的訊號事件觸發,可節省數小時的擷取工作,並手動搜尋擷取資料。分秒之間就能找到關鍵事件,完成除錯和分析工作。視覺觸發也可作用於多個通道,將用途延伸至複雜的系統疑難排解與偵錯工作。

多通道觸發。視覺觸發區域可以與跨多個通道的事件相關聯,例如在通道 1 上的特定脈衝寬度以及在通道 2 上指定的位元模式觸發。
準確的高速探測
5 系列 MSO 每台隨附的 TPP 系列被動電壓探棒,都提供通用型探棒的所有優點 - 高動態範圍、彈性連線選項和強韌的機械設計,同時提供主動式探棒的效能。高達 1 GHz 的類比頻寬可讓您看見訊號中高頻率的分量,極低的 3.9 pF 電容性負載會將電路上的副作用降到最低,也更能接受較長的接地引線。
可選購的低衰減 (2X) 版 TPP 探棒可用於測量低電壓。不同於其他低衰減被動式探棒,TPP0502 具備高頻寬 (500 MHz) 與低電容性負載 (12.7 pF)。

5 系列 MSO 的每個通道都附有一支 TPP0500B (350 MHz、500 MHz 型號) 或 TPP1000 (1 GHz、2 GHz 型號) 探棒。
TekVPI 探棒介面
TekVPI®探棒介面設定在探測時易於使用的標準。除了介面提供的安全、可靠連線外,許多 TekVPI 探棒還具備狀態指示器與控制項,以及補償盒上面就有的探棒功能表按鈕。此按鈕會在示波器畫面上顯示探棒功能表,以及探棒的所有相關設定與控制。TekVPI 介面可直接裝上目前的探棒,不需要另外的電源供應器。TekVPI 探棒可透過 USB 或 LAN 遠端控制,讓 ATE 環境中有更多元的解決方案。5 系列 MSO 提供高達 80 W 的電源給前面板接頭,足以啟動所有連接的 TekVPI 探棒,不需要額外的探棒電源供應器。
IsoVu™ 隔離量測系統
到目前為止,共模干擾會使工程師設計、偵錯、評估和最佳化時有「盲點」。設計換流器、最佳化電源供應、測試通訊連結、量測電流分流器阻抗的電壓、進行 EMI 或 ESD 問題偵錯,或是嘗試消除您測試設定裡的接地迴路,它是最佳工具。
Tektronix 革命性的 IsoVu 技術使用光學通訊和光纖傳電來達致完整的伽凡尼隔離。當結合配有 TekVPI 介面的 5 系列 MSO,它就是第一款 - 也是唯一一款 - 能夠準確解決高頻寬、差動訊號的量測系統,在大共模電壓下提供如下特性:
完整的伽凡尼隔離
最高 1 GHz 頻寬
100 MHz 下提供 100 萬比 1 (120 dB) 的共模互斥比
於全頻寬下提供 10,000 比 1 (80 dB) 的共模互斥比
最高 2,500 V 差動動態範圍
60 kV 共模電壓範圍

Tektronix TIVM 系列 IsoVu™ 量測系統提供伽凡尼隔離量測解決方案,以在出現大共模電壓時,利用頻寬內同級最佳共模互斥效能,精確地解析高頻寬、最高可達 2,500 Vpk 的差動訊號。
全方位分析可讓您快速洞察
基本波形分析
需要仔細分析,才能確保原型的效能符合模擬,且符合專案的設計目標,包括從簡單地檢查上升時間和脈波寬度開始,再擴及分析複雜的功率耗損、區別系統時脈的差異,以及調查雜訊源。
5 系列 MSO 提供一套綜合的標準分析工具,包括:
- 波形和螢幕為主的游標
- 36 種自動量測。量測結果包括記錄中的所有例證、能夠瀏覽各個事件,以及立即看到記錄中的最小值或最大值結果
- 基本波形數學
- 基本快速傅立葉轉換分析
- 進階波形運算,包括以濾波器和變數來任意編輯方程式
- FastFrame™ 分段記憶體可讓您以單次記錄擷取多個觸發事件,消除目標事件之間的大型時間差距,有效利用示波器的擷取記憶體。您能夠以個別或疊圖方式檢視並量測區段。
量測結果表提供量測結果的綜合統計檢視,涵蓋目前擷取和所有擷取的統計值。

使用自動量測來描繪電源供應器啟動時的特徵。
瀏覽及搜尋
若無正確且合適的搜尋工具,要在長波形記錄中找出感興趣的事件將會耗費許多時間。現今的記錄長度動輒有數百萬個資料點,要找出事件,真的必須瀏覽數千個訊號活動畫面。
5 系列 MSO 以其創新的 Wave Inspector®控制鈕提供業界最全方位的搜尋和波形瀏覽功能。這些控制項可加速您記錄的取景和縮放。有了獨特的飛梭 (force-feedback) 系統,只需幾秒即可從記錄的一端移到另一端。或者,直接在面板上利用直觀的拖曳和捏合/張開手勢,即可在冗長記錄中調查感興趣的區域。
「Search」(搜尋) 功能可讓您自動搜尋長時間擷取記錄中的使用者定義事件。所有發生的事件都會以搜尋標記反白,只要在前面板或面板上的搜尋徽章使用「Previous」(上一個,←) 與「Next」(下一個,→) 按鈕,即可輕鬆瀏覽所有事件。搜尋類型包括邊緣、脈波寬度、逾時、矮波、視窗、邏輯、設定和保持、上升/下降時間,以及並列/串列匯流排封包內容。您可以依喜好盡量定義夠多的獨特搜尋。
您也可以利用搜尋徽章上的「最小值」和「最大值」按鈕,快速跳到搜尋結果的最小值和最大值。

稍早,FastAcq 指出數位資料串流中出現矮波脈波,並建議進一步調查。在這段長達 20 ms 的擷取過程中,搜尋 1 指出擷取中有大約 37,500 個上升緣。搜尋 2 (同時執行) 指出擷取中有六個矮波脈波。
串列通訊協定觸發和分析 (選配)
在除錯期間,觀察一或多個串列匯流排的流量,以便追蹤通過系統的活動流程,可能會有寶貴的價值。手動將單一串列封包解碼就需要好幾分鐘,更遑論長時間的擷取過程中會有數以千計的封包。
而且,假設您知道透過串列匯流排傳送特定指令時,就會發生您嘗試擷取的特定事件,那如果可以在該事件上觸發,不是更好嗎?可惜,這不像單純指定邊緣或脈波寬度觸發那麼輕鬆。

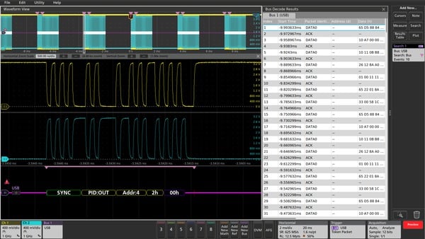
在 USB 全速串列匯流排上觸發。匯流排波形會提供與時間相關的解碼封包內容,包括起始、同步、PID、位址、終點、CRC、資料值與停止,而匯流排解碼表會顯示整個擷取中的所有封包內容。
5 系列 MSO 提供一組強大的工具,可搭配嵌入式設計中最常見的串列匯流排使用,包括 I2C、SPI、I3C、RS-232/422/485/UART、SPMI、CAN、CAN FD、LIN、FlexRay、SENT、USB LS/FS/HS、乙太網路 10/100、音訊 (I2S/LJ/RJ/TDM)、MIL-STD-1553 和 ARINC 429。
串列通訊協定搜尋可讓您在一長串擷取的串列封包中搜尋,找出含有特定封包內容的串列封包。找到的事件都會以搜尋標記反白。若要快速切換標記,只需在前面板或結果列的搜尋標籤中,按下「Previous」(上一個,←) 與「Next」(下一個,→) 按鈕。
針對串列匯流排而說明的工具,也適用於並列匯流排。5 系列 MSO 的標準會支援並列匯流排。並列匯流排的寬度可達到 64 位元 ,也可能包含類比和數位通道的組合。
串列通訊協定觸發可讓您在特定封包內容上觸發,包括封包起始、特定位址、特定資料內容、唯一識別碼和錯誤。
匯流排波形會提供構成匯流排之個別訊號 (時脈、資料、晶片啟用等) 的高層級組合檢視,這讓識別封包開始點與結束點,以及識別子封包元件,例如位址、資料、識別碼、CRC 等,變得更為容易。
匯流排波形會與其他所有顯示的訊號按時間排列,可讓您在待測試中系統的各種元件之間,輕鬆量測時序關係。
匯流排解碼表會為擷取中的所有解碼封包提供表格式視圖,與您在軟體清單看到的很像。封包會以時間戳記標記,並以直欄並排的方式列出每個元件 (位址、資料等)。
相容性應用程式 (選配)
嵌入式設計人員關注的重點區域為測試各種嵌入式和介面技術的相容性。這可確保裝置在 Plugfests 通過標誌認證,並成功達成與其他相容裝置一起使用的互通性。
對於高速串列標準的相容性測試規格,例如 USB、乙太網路、記憶體、螢幕和 MIPI,由個別的協會或管理團體所制定。Tektronix 與這些協會密切合作,以示波器為基礎開發了相容性應用解決方案,不僅專注於提供通過/失敗結果,也藉由抖動和時序分析等相關測量工具對故障設計進行偵錯,從而更深入瞭解任何故障原因。
這些自動相容性解決方案建立於提供下列項目的訊框上:
- 根據規格的完整測試範圍。
- 使用最佳化擷取的快速測試時間,及根據自訂設定的測試順序。
- 根據之前所得訊號的分析,讓測試中的裝置 (DUT) 可以在擷取完成後自設定中斷連線。對於在不同示波器上所獲得,或在遠端實驗室擷取到的的波形也可以進行分析,可促進合作的測試環境。
- 可選購的擷取期間訊號驗證,可確保擷取到正確訊號。
- 額外參數量測,可用於設計偵錯。
- 自訂的眼圖遮罩測試,可用於深入瞭解設計邊限。
- 多種格式的詳細報告,具有設定資訊、結果、邊限、波形螢幕擷取以及繪圖影像。

TekExpress USB 2.0 自動相容性測試設定功能表。
頻譜檢視

直觀的頻譜分析儀控制像是中心頻率、頻距和解析度頻寬 (RBW),獨立於時域控制,提供頻域分析的簡易設定。每個 FlexChannel 類比通道都可使用頻譜檢視,實現多通道混合域分析。
透過檢視頻域中一個或多個訊號較容易偵錯問題。示波器已包括基於數學運算的快速傅立葉轉換 (FFT) 數十年,以期回應這項需求。不過 FFT 卻因為兩大主因而難以使用,為人詬病。
首先,在執行頻域分析時,通常會想到一般頻譜分析儀所具備的控制,如中心頻率、頻距和解析度頻寬 (RBW)。但使用 FFT 時,您卻受制於傳統示波器控制,例如取樣率、記錄長度和時間/格,並須要自行在腦中轉換,以獲得你在頻域尋找的檢視。
第二,FFT 由提供類比時域檢視的相同擷取系統所驅動。當您進行類比檢視的擷取設定最佳化時,卻得不到您要的頻域檢視。獲得滿意的頻域檢視時,類比檢視卻又不如理想。使用數學運算 FTT,幾乎無法兼具時域和頻域的最佳檢視。
頻譜檢視則改變了這一切。Tektronix 的專利技術在每個 FlexChannel 後方,同時提供時域的抽取器和頻域的數位降頻器。兩個不同的擷取路徑,讓您同步觀測輸入訊號的時域和頻域檢視,且各域的擷取皆可獨立設定。其他製造上聲稱提供各種容易使用的「頻譜分析」套件,但卻出現上述的限制。只有「頻譜分析」能夠同時讓使用變得無比簡單,並實現時域及頻域的最佳同步檢視。

頻譜時間限制計算 FFT 的時間範圍。在時域檢視中以長方形小圖像表示,調整其位置即可提供與時域波形之時間相關性。最適合用於混合域分析。最多達 11 個的自動峰值標記提供每個峰值的頻率和振幅值。參考值標記永遠是顯示的最高峰值並以紅色表示。
抖動分析
5 系列 MSO 已無接縫整合 DPOJET Essentials 抖動與眼圖分析軟體套件,它可擴充示波器的功能,以單擊即時擷取對連續時脈和資料週期進行量測。如此一來即可量測主要的抖動和時序分析參數 (如時間間隔誤差、相位雜訊),對潛在的系統時序問題進行特性分析。
時間趨勢圖和分佈圖繪製等分析工具可迅速顯示時序參數於特定時間內的變化,頻譜分析則可迅速顯示抖動和調變來源的確切頻率和振幅。
選項 5-DJA 可增加額外的抖動分析功能,更能描繪裝置效能的特徵。31 個額外的量測提供完善的抖動與眼圖分析及抖動分解演算法,可讓您在現今的高速串列、數位和通訊系統設計中,找出訊號完整性問題及其相關訊號源。選配 5-DJA 也為自動通過/失敗測試提供眼圖遮罩測試。

獨特的「抖動摘要」幾秒內就能提供裝置效能的完整檢視。
電源分析 (選配)
5 系列 MSO 也已將選配的 5-PWR/SUP5-PWR 電源分析套件整合至示波器的自動量測系統,以提供快速且可重複的電源品質、輸入電容、涌入電流、諧波、切換損失、安全工作區 (SOA)、調變、漣波、磁性量測、效率、振幅與時序量測扭轉率 (dv/dt 和 di/dt) 、控制迴路響應 (波德圖) 和電源抑制比 (PSRR)。
自動量測透過輕觸按鈕即可最佳化量測品質和重複性,不需要外部電腦或複雜的軟體設定。

功率分析量測可顯示各種波形和繪圖。
符合需求的設計
連接能力
5 系列 MSO 提供數個連接埠,可用於將儀器連接至網路、直接連接至電腦或其他測試設備。
正面有兩個 USB 2.0 和一個 USB 3.0 主機埠,背面還有四個 USB 主機埠 (兩個 2.0、兩個 3.0),可讓您輕鬆將螢幕擷取畫面、儀器設定與波形資料傳輸至 USB 大量儲存裝置。USB 滑鼠和鍵盤也可以連接至 USB 主機埠,以方便控制儀器和輸入資料。
背板的 USB 裝置埠很適合從電腦遙控示波器。
儀器背面的標準 10/100/1000BASE-T 乙太網路 埠,可讓您輕鬆連接網路,並提供 LXI Core 2011 的相容性。
儀器背面的 DVI-D、顯示埠和 VGA 埠可讓您將螢幕匯出至的外部監視器或投影機。

將 5 系列 MSO 連接至設計環境其餘部分時所需要的 I/O。
可改善合作的遠端操作
想要與遠方的設計團隊攜手合作嗎?
嵌入式 e*Scope®功能可利用標準的 Web 瀏覽器,透過網路連線快速控制示波器。只需輸入示波器的 IP 位址或網路名稱,瀏覽器中將出現一個網頁。從遠端控制示波器,彷彿親臨現場一樣。或者,您也可以利用 Microsoft Windows Remote Desktop™ 功能,直接連接至示波器來從遠端控制。
隨附業界標準的 TekVISA™ 通訊協定介面,可讓您使用和強化用於資料分析和文件記錄的 Windows 應用程式。隨附 IVI-COM 儀器驅動程式,可從外部電腦使用 LAN 或 USBTMC 連線,輕鬆與示波器通訊。

e*Scope 支援利用常用的網頁瀏覽器,輕鬆從遠端檢視和控制。
任意/函數產生器 (AFG)
5 系列 MSO 包含一個選配的整合式任意/函數產生器,非常適合模擬設計中的感應器訊號或增加雜訊以對訊號進行邊際測試。整合式函數產生器可針對正弦波、方波、脈衝波、斜波/三角波、直流、雜訊、sin(x)/x (正弦) 、高斯、羅倫茲、指數上升/下降、半正弦波和心電波等,提供高達 50 MHz 的預定義波形輸出。任意波形產生器提供了 128 k 點的記錄長度,可從內部檔案位置或 USB 大容量儲存裝置載入已儲存的波形。5 系列 MSO 與 Tektronix ArbExpress 的 PC 式波形建立和編輯軟體相容,讓您可快速又輕鬆地建立複合波形。
數位電壓計 (DVM) 和觸發計頻器
5 系列 MSO 包含整合式 4 位數數位電壓計 (DVM) 和 8 位數觸發計頻器。任何類比輸入皆可使用已連接供通用示波器使用的相同探棒,以作為電壓計的來源。對於您所觸發的觸發事件,計數器提供非常精確的頻率讀數。DVM 和觸發計頻器都是免費提供,在您註冊產品時就會啟動。
加強型安全性選項
選配的 5 -SEC 加強型安全性選項可提供可啟用/停用所有儀器之 I/O 連接埠與韌體升級的受密碼保護。此外,選項 5 -SEC 也可透過確保清除內部記憶體的所有設定和波形資料,以符合美國國家工業安全計畫操作手冊 (NISPOM) DoD 5220.22-M 第 8 章的需求,以及美國國防安全局 NISPOM 範疇內分類系統認證和認可手冊,提供最高的安全性層級。這確保您可以自信地將儀器移至安全區域外。
即時協助
5 系統 MSO 附有許多實用的資源,讓您快速找到問題的解答,不必查閱手冊或瀏覽網站:
- 許多功能表都使用圖形和說明文字,可讓您快速一覽功能概要。
- 所有功能表的右上角都有問號圖示,可讓您直接跳到整合式輔助說明系統中適用於該功能表的部分。
- 「輔助說明」功能表包含簡短的使用者介面教學課程,讓新的使用者在幾分鐘內很快就能開始操作儀器。

整合式輔助說明可快速解答您的問題,不必查閱手冊或上網查詢。
規格
除非另有註明,否則所有規格均有保證。除非另有註明,否則所有規格皆適用於所有機型。
機型概況
| MSO54 | MSO56 | MSO58 | |
|---|---|---|---|
| FlexChannel 輸入通道 | 4 | 6 | 8 |
| 類比通道數上限 | 4 | 6 | 8 |
| 數位通道上限 (使用選配邏輯探棒) | 32 | 48 | 64 |
| 頻寬 (計算而得的上升時間) | 350 MHz (1.15 ns)、500 MHz (800 ps)、1GHz (400 ps)、2GHz (225 ps) | ||
| 直流增益準確度 | < 2 GHz 型號: 50 Ω:±1.0%,(≤ 1mV/格時為 ±2.0%) 全幅的 ±0.5%,(設定為 1mV/格和 500μV/格時為全幅的 ±1.0%) 1 MΩ:±1.0%,(≤ 1 mV/格時為 ±2.0%) 全幅的 ±0.5%,(設定為 1mV/格和 500μV/格時為全幅的 ±1.0%) 2 GHz 型號: 50 Ω:±1.2%,(≤ 1 mV/格時為 ±2.0%) 全幅的 ±0.6%,(設定為 1mV/格和 500μV/格時為全幅的±1.0%) 1 MΩ:±1.0%,(≤ 1 mV/格時為 ±2.0%) 全幅的 ±0.5%,(設定為 1mV/格和 500μV/格時為全幅的 ±1.0%) | ||
| ADC 解析度 | 12 位元 | ||
| 垂直解析度 | 8 位元 @ 6.25 GS/s 12 位元 @ 3.125 GS/s 13 位元 @ 1.25 GS/s (高解析度) 14 位元 @ 625 MS/s (高解析度) 15 位元 @ 312.5 MS/s (高解析度) 16 位元 @ ≤125 MS/s (高解析度) | ||
| 取樣率 | 所有類比/數位通道為 6.25 GS/s (160 ps 解析度) | ||
| 記錄長度 (標準) | 所有類比/數位通道為 62.5 M 點 | ||
| 記錄長度 (購配) | 所有類比/數位通道為 125 M 點 | ||
| 波形擷取率 | >500,000 wfms/秒 | ||
| 任意/函數產生器 (選配) | 13 個預先定義的波形類型,提供高達 50 MHz 的輸出 | ||
| DVM | 4 位數 DVM (註冊產品即可免費獲得) | ||
| 觸發計頻器 | 8 位數計頻器 (註冊產品即可免費獲得) | ||
垂直系統 - 類比通道
- 頻寬選擇
- 50 Ω:20 MHz、250 MHz 和您型號的全頻寬值
1 MΩ:20 MHz、250 MHz、500 MHz
- 輸入耦合
- 直流、交流
- 輸入阻抗
50 Ω ± 1%
1 MΩ ± 1%,13.0 pF ± 1.5 pF (< 2 GHz 型號)
1 MΩ ± 1%,14.5 pF ± 1.5 pF (2 GHz 型號)
- 輸入靈敏度範圍
- 1 MΩ
- 500 µV/格至 10 V/格,依 1-2-5 順序
- 50 Ω
- 500 µV/格 至 1 V/格,依 1-2-5 順序
- 附註:500 μV/格 是 1mV/格 的 2X 數位縮放
- 最大輸入電壓
50 Ω:5 VRMS,峰值 ≤ ±20 V (DF ≤ 6.25%)
1 MΩ:300 VRMS,CAT II
1 MΩ 從 4.5 MHz 至 45 MHz 時衰減 20 dB/十進位;
從 45 MHz 至 450 MHz 時衰減 14 dB/十進位;> 450 MHz,5.5VRMS
- 有效位元 (ENOB),典型
- 2 GHz 型號,高解析度模式,50 Ω,10 MHz 輸入和全螢幕 90%
頻寬 ENOB 1 GHz 7.0 250 MHz 7.8 20 MHz 8.7
- 隨機雜訊,RMS,典型
- 2 GHz 型號,高解析度模式 (RMS)
2 GHz 型號 50 Ω 1 MΩ V/div 1 GHz 250 MHz 20 MHz 500 MHz 250 MHz 20 MHz ≤1 mV/格 1 66.8 μV 66.8 μV 27.2 μV 208 μV 117 μV 64.6 μV 2 mV/格 2 96.9 μV 77.5 μV 28.5 μV 224 μV 117 μV 66.7 μV 5 mV/格 3 202 μV 108 μV 37.4 μV 238 μV 133 μV 68.7 μV 10 mV/div 275 μV 147 μV 56.1 μV 277 μV 173 μV 83.6 μV 20 mV/div 469 μV 251 μV 106 μV 416 μV 278 μV 125 μV 50 mV/div 1.10 mv 589 μV 253 μV 916 μV 620 μV 271 μV 100 mV/div 2.75 mV 1.47 mV 602 μV 1.90 mV 1.36 mV 603 μV 1 V/div 18.4 mV 10.8 mV 4.68 mV 20.3 mV 14.6 mV 6.54 mV
- 1 GHz、500 MHz、350 MHz 型號,高解析度模式 (RMS)
< 2 GHz 型號 50 Ω 1 MΩ V/div 1 GHz 500 MHz 350 MHz 250 MHz 20 MHz 500 MHz 350 MHz 250 MHz 20 MHz ≤1 mV/格 4 254 μV 198 μV 141 μV 118 μV 70.0 μV 189 μV 143 μV 118 μV 64.8 μV 2 mV/div 255 μV 198 μV 143 μV 121 μV 70.4 μV 194 μV 145 μV 121 μV 66.0 μV 5 mV/div 262 μV 202 μV 150 μV 133 μV 72.8 μV 196 μV 152 μV 130 μV 69.6 μV 10 mV/div 283 μV 218 μV 169 μV 158 μV 79.8 μV 212 μV 167 μV 154 μV 78.2 μV 20 mV/div 357 μV 273 μV 222 μV 223 μV 102 μV 269 μV 214 μV 223 μV 104 μV 50 mV/div 677 μV 516 μV 436 μV 460 μV 196 μV 490 μV 410 μV 480 μV 207 μV 100 mV/div 1.61 mV 1.23 mV 1.02 mV 1.04 mV 464 μV 1.16 mV 964 μV 1.05 mV 475 μV 1 V/div 13.0 mV 9.88 mV 8.41 mV 8.94 mV 3.77 mV 13.6 mV 10.6 mV 11.1 mV 5.47 mV
1在 50 Ω 時,≤1 mV/格的頻寬上限為 175 MHz。
2在 50 Ω 時,2 mV/格的頻寬上限為 350 MHz。
3在 50 Ω 時,5 mV/格的頻寬上限為 1.5 GHz。
4在 50 Ω 時,500 μV/格的頻寬上限為 250 MHz。
5在 50 Ω 時,1 mV/格的頻寬上限為 175 MHz。
6在 50 Ω 時,2 mV/格的頻寬上限為 350 MHz。
7在 50 Ω 時,5 mV/格的頻寬上限為 1.5 GHz。
- 位置範圍
- ±5 格
- 偏移範圍,最大值
- 2 GHz 型號
伏特/格設定 最大偏移範圍,50Ω 輸入 500 µV/格 - 50 mV/格 ±1 V 51 mV/格 - 99 mV/格 ± (-10 * (伏特/格設定) + 1.5 V) 100 mV/div - 500mV/div ±10 V 501 mV/div - 1V/div ± (-10 * (伏特/格設定) + 15 V) 伏特/格設定 最大偏移範圍,1MΩ 輸入 500 µV/格 - 63 mV/格 ±1 V 64 mV/格 - 999 mV/格 ±10 V 1 V/格 - 10 V/格 ±100 V - ≤ 1 GHz 型號
伏特/格設定 最大偏移範圍 50 Ω 輸入 1 MΩ 輸入 500 µV/格 - 63 mV/格 ±1 V ±1 V 64 mV/格 - 999 mV/格 ±10 V ±10 V 1 V/格 - 10 V/格 ±10 V ±100 V
- 偏移準確度
±(0.005 X | 偏移 - 位置 | + 直流平衡)
- 串音 (通道隔離),典型
具有相同伏特/格設定的任兩個通道為 ≥ 200:1 到額定頻寬
- 直流平衡
0.1 格,含直流 - 50 Ω 示波器輸入阻抗 (50 Ω BNC 終止)
1 mV/格時為 0.2 格,含直流 - 50 Ω 示波器輸入阻抗 (50 Ω BNC 終止)
500 μV/格時為 0.4 格,含直流 - 50 Ω 示波器輸入阻抗 (50 Ω BNC 終止)
0.2 格,含直流 - 1 MΩ 示波器輸入阻抗 (50 Ω BNC 終止)
500 µV/格時為 0.4 格,含直流 - 1 MΩ 示波器輸入阻抗 (50 Ω BNC 終止)

垂直系統 - 數位通道
- 通道的數目
- 每台安裝的 TLP058 為 8 個數位輸入 (D7-D0) (換取一個類比通道)
- 垂直解析度
- 1 位元
- 最大輸入切換速度
500 MHz
- 最小可偵測脈波寬度,典型
1 奈秒
- 臨界值
- 每個數位通道有一個臨界值
- 臨界值範圍
- ±40 V
- 臨界值解析度
- 10 mv
- 臨界值精確度
± [100 mV + 校驗之後臨界值設定的 3%]
- 輸入磁滯,典型
- 探棒頭為 100 mV
- 輸入動態範圍,典型
- Fin ≤ 200 MHz 為 30 Vpp,Fin > 200 MHz 為 10 Vpp
- 絕對最大輸入電壓,典型
±42 伏特峰值
- 最小電壓擺幅,典型
400 mV 峰對峰
- 輸入阻抗,典型
- 100 kΩ
- 探棒負載,典型
- 2 pF
水平系統
- 時基範圍
- 200 ps/格 至 1,000 s/格
- 取樣率範圍
1.5625 S/s 至 6.25 GS/s (即時)
12.5 GS/s 至 500 GS/s (內插)
- 記錄長度範圍
- 標準
- 單一取樣增量中為 1 k 點至 62.5 M 點
- 選項 5-RL-125M
- 125 M 點
- 最高取樣率的最大期限
10 ms (標準) 或 20 ms (選配)
- 時基延遲時間範圍
- -10 分格至 5000 s
- 偏移校正範圍
125 ns 到 +125 ns,解析度為 40 ps
- 時基準確度
任何 ≥1 ms 的時間間隔中為 ±2.5 x 10-6
說明 規格 原廠公差 ±5.0 x10-7 。校驗時,任何 ≥1 ms 的時間間隔內為23 °C 周圍溫度 溫度穩定性 ±5.0 x10-7 。在作業溫度下測試 晶體老化 ±1.5 x 10-6 。在 1 年期間內,25 °C 時的頻率公差變更
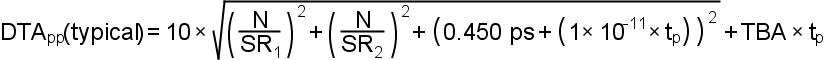
- 差值時間測量準確度


(假設高斯濾波器響應所造成的邊緣形狀)
針對指定之儀器設定和輸入訊號計算差值時間量測準確度 (DTA) 的公式,假設為奈奎斯特 (Nyquist) 頻率以上的無意義訊號內容,其中:
SR 1= 量測中第 1點周圍的扭轉率 (第1個邊緣)
SR 2= 量測中第2點周圍的扭轉率 (第2個邊緣)
N = 輸入-參照保證雜訊限制 (VRMS)
TBA = 時基準確度或參考頻率錯誤
t p= 差值時間量測期間 (秒)
- 光圈不確定性
期間 ≤100ms 的量測為 ≤ 0.450 ps + (1 * 10-11* 量測期間)RMS
- 類比通道之間的延遲,全頻寬,典型
任兩個通道的輸入阻抗設為 50 Ω,且直流耦合等於伏特/格或高於 10 mV/格時為 ≤ 100 ps
- 類比和數位 FlexChannel 之間的延遲,典型
- 使用與示波器頻寬相符的 TLP058 和被動探棒,且未套用頻寬限制時為 < 1 ns
- 任兩個數位 FlexChannel 之間的延遲,典型
- 320 ps
- 一個數位 FlexChannel 的兩個位元之間的延遲,典型
- 160 ps
觸發系統
- 觸發模式
- 自動、一般與單次
- 觸發耦合
直流、高頻排斥 (衰減 > 50 kHz)、低頻排斥 (衰減 < 50 kHz)、雜訊排斥 (降低靈敏度)
- 觸發延滯範圍
- 0 奈秒至 10 秒
- 觸發抖動,典型
取樣模式和邊緣類型觸發下 ≤ 5 psRMS
邊緣類型觸發和 FastAcq 模式下 ≤ 7 psRMS
非邊緣類型觸發模式下 ≤ 40 psRMS
- 邊緣類型觸發靈敏度,直流耦合,典型
通道 範圍 規格 1 MΩ 通道 (所有型號) 0.5 mV/格至 0.99 mV/格 從直流到儀器頻寬為 5 mV ≥ 1 mV/div 5 mV 或 0.7 格較大者從直流到 500 MHz 或儀器 BW 較小者,以及 6 mV 或 0.8 格從 > 500 MHz 到儀器頻寬 50 Ω 通道,1GHz,500MHz,350MHz 型號 5.6 mV 或 0.7 格較大者從直流到 500 MHz 或儀器 BW 較小者,以及 7 mV 或 0.8 格從 > 500 MHz 到儀器頻寬 50 Ω 通道,2GHz 型號 0.5 mV/格至 0.99 mV/格 從直流到儀器頻寬為 3.0 格 1 mV/格至 9.98 mV/格 從直流到儀器頻寬為 1.5 格 ≥ 10 mV/格 從直流到儀器頻寬為 < 1.0 格 市電頻率 固定
- 觸發位準範圍
訊號源 範圍 任何通道 距螢幕中央 ±5 格 市電頻率 固定為約線路電壓的 50% 此規格適用於邏輯和脈波臨界值。
- 觸發計頻器
8 位數 (註冊產品即可免費獲得)
- 觸發類型
- 邊緣:
- 任一通道上正、負,或任一斜率。耦合包括直流、交流、雜訊排斥、高頻排斥和低頻排斥
- 脈衝寬度:
在正脈波或負脈波的寬度上觸發。事件可為時間或邏輯限定
- 逾時:
- 在指定時段內維持為高、低或任一的事件上觸發。事件可為邏輯限定
- 矮波:
- 穿越第一臨界值,但未在再次穿越第一臨界值之前穿越第二臨界值的脈衝上進行觸發。事件可為時間或邏輯限定
- 視窗:
- 在兩個臨界值 (可由使用者調整) 所定義的視窗上,當事件進入、離開、停留在內或停留在外時觸發。事件可為時間或邏輯限定
- 邏輯:
- 當邏輯碼型為真、為否或與時脈邊緣同時發生時觸發。針對所有定義為高、低或任意的輸入通道所指定的碼型 (AND、OR、NAND、NOR)。為真的邏輯碼型可為時間限定
- 設定∕保持:
- 任何輸入通道的時脈和資料之間,設定時間與保持時間違反兩者都出現時觸發
- 上升/下降時間:
- 高或低於指定脈衝邊緣速率的觸發。斜率可為正向、負向或兩者任一。事件可為邏輯限定
- 序列:
當 A 觸發在 C 事件上重設之後,在 B 事件發生 X 時間或發生 N 個事件時觸發。一般而言,A 和 B 觸發事件可設為任何觸發類型,但有幾個例外情形:不支援邏輯限定條件,如果 A 事件或 B 事件設為「設定/保持」,則另一個必須設為「邊緣」,且不支援乙太網路 和高速 USB (480 Mbps)
- 視覺觸發
- 可掃描所有波形擷取資料,並與螢幕區域 (幾何形狀) 比較,取得標準觸發資格。可以使用「In」(輸入)、「Out」(輸出) 或「Don't Care」(無關) 作為各區域的限定值來定義無限數量區域。可以使用視覺觸發區域的任意組合來定義布林運算式,以進一步限定存儲到擷取記憶體中的事件。形狀包括矩形、三角形、梯形、六角形,以及使用者定義形狀。
- 並列匯流排:
- 在並列匯流排資料值上進行觸發。並列匯流排可以是 1 到 64 位元 (從數位和類比通道) 的大小。支援二進位和十六進位基數
- I2C 匯流排 (選項 5 -SREMBD):
- I2C 匯流排上的 Start (起始)、Repeated Start (重複起始)、Stop (停止)、Missing ACK (ACK 遺失)、Address (位址,7 或 10 位元)、Data (資料) 或 Address and Data (位址和資料) 觸發,高達 10 Mb/秒
- SPI 匯流排 (選項 5 -SREMBD):
- SPI 匯流排上的 Slave Select (從屬選擇)、Idle Time (閒置時間) 或 Data (資料,1-16 個字) 觸發,高達 20Mb/秒
- RS-232/422/485/UART 匯流排 (選項 5 -SRCOMP):
- Start Bit (起始位元)、End of Packet (封包結束)、Data (資料) 和 Parity Error (同位檢查錯誤) 觸發,高達 15 Mb/秒
- CAN 匯流排 (選項 5 -SRAUTO):
- CAN 匯流排上的 Start of Frame (訊框起始)、Type of Frame (訊框類型,資料、遠端、錯誤或超載)、Identifier (識別碼)、Data (資料)、Identifier and Data (識別碼及資料)、End of Frame (訊框結束)、Missing Ack (ACK 遺失) 及 Bit Stuff Error (位元填塞錯誤) 觸發,高達 1 Mb/秒
- CAN FD 匯流排 (選項 5 -SRAUTO):
- CAN FD 匯流排上的訊框起始、訊框類型 (資料、遠端、錯誤、超載)、識別碼 (標準或延伸)、資料 (1-8 位元組)、識別碼和資料、訊框結尾、錯誤 (遺失確認、位元填塞錯誤、FD 形狀錯誤、任何錯誤) 觸發,高達 16 Mb/秒
- LIN 匯流排 (選項 5 -SRAUTO):
- LIN 匯流排上的 Sync (同步)、Identifier (識別碼)、Data (資料)、Identifier and Data (識別碼與資料)、Wakeup Frame (喚醒訊框)、Sleep Frame (睡眠訊框)、Error (錯誤) 觸發,高達 1 Mb/秒
- FlexRay 匯流排 (選項 5 -SRAUTO):
- FlexRay 匯流排上的 Start of Frame (訊框起始)、Indicator Bits (指示位元,一般、負載、Null、同步、啟動)、Frame ID (訊框識別碼)、Cycle Count (週期計數)、Header Fields (標頭欄位,指示位元、識別碼、負載長度、標頭 CRC 及週期計數)、Identifier (識別碼)、Data (資料)、Identifier and Data (識別碼與資料)、End Of Frame (訊框終點) 及 Error (錯誤) 觸發,高達 10 Mb/秒
- SENT 匯流排 (選項 5 -SRAUTOSEN)
- 封包啟動、快速通道狀態與資料、快速通道訊息 ID 與資料,及 CRC 錯誤觸發
- SPMI 匯流排 (選項 5 -SRPM):
- 時序啟動條件、重設、睡眠、關機、喚醒、驗證、主要讀取、主要寫入、註冊讀取、註冊寫入、延伸註冊讀取、延伸註冊寫入、延伸註冊讀取 (長)、延伸註冊寫入 (長)、裝置描述項阻隔主要讀取、裝置描述項從屬裝置讀取、註冊 0 寫入、轉移匯流排所有權及同位元錯誤觸發
- USB 2.0 LS/FS/HS 匯流排 (選項 5 -SRUSB2):
- USB 匯流排上的 Sync (同步)、Reset (重設)、Suspend (暫停)、Resume (恢復)、End of Packet (封包結束)、Token (Address) Packet (代符 (位址) 封包)、Data Packet (資料封包)、Handshake Packet (交握封包)、Special Packet (特殊封包) 及 Error (錯誤) 觸發,高達 480 Mb/秒
- 乙太網路匯流排 (選項 5 -SRENET):
- 10BASE-T 及 100BASE-TX 匯流排上的「訊號起始」、「MAC 位址」、「MAC Q 標籤」、「MAC 長度/類型」、「MAC 資料」、「IP 標頭」、「TCP 標頭」、「TCP/IPV4 資料」、「封包結束」和「FCS (CRC) 錯誤」觸發
- 音訊 (I2S、LJ、RJ、TDM) 匯流排 (選項 5 -SRAUDIO):
- 在文字選取、圖框同步或資料上進行觸發。I2S/LJ/RJ 的最大資料傳輸速率為 12.5 Mb/秒。TDM 的最大資料速率為 25 Mb/秒
- MIL-STD-1553 匯流排 (選項 5 -SRAERO):
- MIL-STD-1553 匯流排上的同步、指令 (傳輸/接收位元、同位檢查、子位址/模式、文字計數/模式計數、RT 位址)、狀態 (同位檢查、訊息錯誤、儀器、服務要求、已接收廣播指令、忙碌、子系統旗標、動態匯流排控制接受、終端旗標)、資料、時間 (RT/IMG) 和錯誤 (同位檢查錯誤、同步錯誤、Manchester 錯誤、非連續資料) 觸發
- ARINC 429 匯流排 (選項 5 -SRAERO):
- ARINC 429 匯流排上的文字啟始、標籤、資料、標籤和資料、文字結束和錯誤 (任何錯誤、同位檢查錯誤、文字錯誤、差距錯誤) 觸發,高達 1Mb/秒
擷取系統
- 取樣
- 擷取取樣值
- 峰值偵測
- 在所有掃描速度下擷取最窄 640 ps 的突波
- 平均值
- 從 2 個到 10,240 個波形
- 包封
- 最少至最多包封可反映隨多次擷取所累積的「波峰偵測」資料
- 高解析度
對每個取樣率套用唯一的有限脈衝響應 (FIR) 濾波器,將會盡力為該取樣率保持最大頻寬,同時避免頻疊,針對所選取的取樣率,還會從示波器放大器和 ADC 移除高於可用頻寬的雜訊。
高解析度模式一定會提供至少 12 位元的垂直解析度,在 ≤125 MS/s 取樣率之下,將會一路擴充至 16 位元的垂直解析度。
- FastAcq®
FastAcq 可擷取 >500,000 wfms/s,將儀器的動態訊號分析與偶發事件擷取能力最佳化 (一個通道作用中;所有通道作用中為 >100K wfms/s)。
- 捲動模式
在處於自動觸發模式時,以由右至左的捲動動作和 40 ms/格和更慢的時基速度,在顯示畫面上捲動連續波形點。
- FastFrame™
將擷取記憶體分割為數個區段。
最大觸發率 >5,000,000 個波形/秒
最小訊框大小 = 50 點
訊框數上限:如果訊框大小 ≥ 1,000 點,訊框數上限 = 記錄長度 / 訊框大小。
如果訊框為 50 點,訊框數上限 = 950,000
波形量測
- 游標類型
- 波形、垂直線條、水平線條及水平加垂直線條
- 直流電壓測量準確度,平均擷取模式
量測類型 直流準確度 (以伏特數表示) ≥ 16 個波形的平均值 ±((直流增益準確度) * |讀數 - (偏移 - 位置)| + 偏移準確度 + 0.1 * V/格設定) 自相同示波器設定及周圍環境條件下所擷取 ≥16 個波形,其中任兩者間的差值電壓 ±(直流增益準確度 * |讀數| + 0.05 格)
- 自動量測
36 個且可顯示的數目不限,可顯示為個別量測徽章,或一起顯示在量測結果表中
- 振幅量測
振幅、最大值、最小值、峰對峰、正過衝、負過衝、平均值、RMS、交流 RMS、頂點、底和區域
- 時序量測
週期、頻率、單位間隔、資料速率、正脈波寬度、負脈波寬度、偏移、延遲、上升時間、下降時間、相位、上升扭轉率、下降扭轉率、爆叢寬度、正工作週期、負工作週期、時間外部位準、設定時間、保持時間、期間 N 期、高時間和低時間
- 自動抖動量測 (標準)
- TIE 和相位雜訊
- 量測統計
- 平均值、標準差、最大值、最小值和母體。目前擷取和所有擷取都會有統計值
- 參考位準
- 可指定以百分比或單位,顯示自動量測的使用者定義的參考位準。對於所有量測,參考位準可設為全域,而對每個量測,可設為依來源通道或訊號,或唯一
- 閘控
- 螢幕、游標、邏輯、搜尋或時間。指定要進行量測的擷取區域。閘路可設為全域 (影響設定為全域的所有量測) 或本機 (所有量測都可有唯一時間閘設定;螢幕、游標、邏輯和搜尋動作僅有一個本機閘路可用)。
- 量測繪圖
- 時間趨勢、分佈圖和頻譜繪圖適用於所有標準量測
- 抖動分析(選配 5-DJA) 增加下列項目:
- 量測
抖動摘要、TJ@BER、RJ- δδ、DJ- δδ、PJ、RJ、DJ、DDJ、DCD、SRJ、J2、J9、NPJ、F/2、F/4、F/8、眼圖高度、眼圖高度@BER、眼圖寬度、眼圖寬度@BER、眼圖高、眼圖低、Q 因數、位元高、位元低、位元振幅、直流共模、交流共模 (峰對峰)、差動交叉、T/nT 比、SSC 頻率偏移、SSC 調變率
- 量測繪圖
- 眼圖和抖動浴缸
- 眼圖遮罩測試
自動遮罩通過/失敗測試
- 電源分析 (選項 4-PWR)(選項 5-PWR) 增加下列項目:
- 量測
輸入分析 (頻率、VRMS、IRMS、電壓與電流波峰因數、實功率、視在功率、虛功率、功率因數、相位角、諧波、突波電流、輸入電容)
振幅分析 (週期振幅、週期頂點、週期底點、週期最大值、週期最小值、週期峰對峰)
時序分析 (週期 (period)、頻率、負工作週期、正工作週期、負脈衝寬度、正脈衝寬度)
切換分析 (切換損失、dv/dt、di/dt、安全工作區、RDSon)
磁性分析 (電感、I vs. Intg(V)、磁性損失、磁性屬性)
輸出分析 (線性漣波、切換漣波、效率、開啟時間、關閉時間)
頻率響應分析 (控制迴路響應波德圖、電源抑制比、阻抗)
- 量測繪圖
- 諧波長條圖、切換損失軌跡圖和安全工作區
- 數位電源管理 (選配 5-DPM) 增加下列項目:
- 量測
漣波分析 (漣波)
暫態分析 (過激,激發不足)
電源序列分析 (開啟,關閉)
波形數學運算
- 數學運算波形數
- 無限制
- 代數
- 對波形和常數進行加、減、乘、除
- 代數式
- 定義多種代數式,包括波形、純量、使用者可調整變數及參數量測結果。使用複雜的方程式對數學運算執行數學運算。例如 (Integral (CH1 - Mean(CH1)) X 1.414 X VAR1)
- 數學函數
- 反推、積分、微分、平方根、指數、Log 10、Log e、Abs、上限、下限、最小值、最大值、度數、弧度、Sin、Cos、Tan、ASin、ACos 和 ATan
- 關聯性
- 布林比較結果 >、<、≥、≤、= 和 ≠
- 邏輯
- AND、OR、NAND、NOR、XOR 和 EQV
- 濾波函數
- 使用者可定義濾波器。使用者指定內含濾波器係數的檔案
- 快速傅立葉轉換函數
- 頻譜振幅和相位,實際和假象 (imaginary) 頻譜
- 快速傅立葉轉換垂直單位
振幅:線性和對數 (毫瓦分貝數)
相位:度數、弧度和群延遲
- 快速傅立葉轉換窗函數
- Hanning、Rectangular、Hamming、Blackman-Harris、Flattop2、Gaussian、Kaiser-Bessel 和 TekExp
頻譜檢視
- 中心頻率
- 受儀器類比頻寬限制
- 頻距
- 18.6 Hz 至 312.5 MHz
1-2-5 序列的粗調
- 解析度頻寬 (RBW)
- 93 μHz 至 15.625 MHz
- 視窗類型和係數
視窗類型 係數 Blackman-Harris 1.90 平頂 2 3.77 Hamming 1.30 Hanning 1.44 Kaiser-Bessel 2.23 Rectangular 0.89
- 頻譜時間
- FFT 視窗係數 / RBW
- 參考位準
- 參考位準由類比通道伏特/格設定自動設定
設定範圍:-42 dBm 至 +44 dBm
- 垂直位置
- -100 格至 +100 格
- 垂直單位
- dBm 、dBµW、dBmV、dBµV、dBmA、dBµA
搜尋
- 搜尋次數
- 無限制
- 搜尋類型
搜尋很長的記錄,找出所有符合使用者指定準則的項目,包括邊緣、脈波寬度、逾時、矮波脈波、視窗違反、邏輯碼型、設定/保持違反、上升/下降時間,以及匯流排通訊協定事件。搜尋結果可在波形檢視中或結果表中檢視。
顯示器
- 顯示器類型
- 15.6 吋(395 公釐) TFT 液晶彩色顯示器
- 顯示器解析度
- 1,920 水平 × 1,080 垂直像素 (高解析度)
- 顯示模式
重疊:軌跡彼此重疊的傳統示波器螢幕
堆疊:每個波形放在自己切片內的顯示模式,可利用完整 ADC 範圍,但外觀上仍與其他波形隔開。也可以在切片內重疊通道群組,簡化對訊號的視覺比較。
- 縮放
- 所有波型和繪圖視圖中都支援水平和垂直縮放。
- 內插法
- Sin(x)/x 和線性
- 波形樣式
- 向量、點、可變持續累積和無限持續累積
- 方格圖
- 可移和固定方格圖,可選取柵 (極)、時間、完整和無
- 調色盤
- 正常和螢幕擷取反向
個別波形顏色可由使用者選擇
- 格式
- YT、XY 和 XYZ
- 當地語言使用者介面 andHelp
- 英文、日文、簡體中文
任意/函數產生器 (選配)
- 函數類型
- 任意、正弦波、方波、脈波、斜波、三角形、直流層、高斯、羅倫茲、指數上升/下降、sin(x)/x、隨機雜訊、Haversine 波、Cardiac 波
- 正弦波形
- 頻率範圍
- 0.1 Hz 至 50 MHz
- 頻率設定解析度
- 0.1 Hz
- 頻率準確度
- 130 ppm (頻率 ≤ 10 kHz),50 ppm (頻率> 10 kHz)
僅適用於正弦波、斜波、方波和脈波波形。
- 振幅範圍
- 20 mVpp 至 5 Vpp 進入 Hi-Z;10 mVpp 至 2.5 Vpp 進入 50 Ω
- 振幅平坦度,典型
1 kHz 時為 ±0.5 dB
< 20 mVpp振幅在 1 kHz 時為 ±1.5 dB
- 總諧波失真,典型
振幅 ≥ 200 mVpp進入 50 Ω 負載時為 1%
振幅 > 50 mV「且」< 200 mVpp進入 50 Ω 負載時為 2.5%
僅適用於正弦波形。
- 無寄生動態範圍,典型
40 dB (Vpp≥ 0.1 V);30 dB (Vpp≥ 0.02 V),50 Ω 負載
- 方波和脈波波形
- 頻率範圍
- 0.1 Hz 至 25 MHz
- 頻率設定解析度
- 0.1 Hz
- 頻率準確度
- 130 ppm (頻率 ≤ 10 kHz),50 ppm (頻率 > 10 kHz)
- 振幅範圍
- 20 mVpp 至 5 Vpp 進入 Hi-Z;10 mVpp 至 2.5 Vpp 進入 50 Ω
- 工作週期範圍
- 10% - 90% 或 10 ns 最小脈波,以較大者為準
開啟和關閉時都會套用最小脈波時間,所以頻率較高時會降低最大工作週期,以維持 10 ns 關閉時間
- 工作週期解析度
- 0.1%
- 最小脈波寬度,典型
- 10 ns。這是開啟或關閉期間的最小時間。
- 上升/下降時間,典型
- 5 ns, 10% - 90%
- 脈波寬度解析度
- 100 ps
- 過衝,典型
- 大於 100 mVpp 的訊號階為 < 6%
這會套用至正向轉換 (+過衝) 的過衝和負向 (-過衝) 轉換的過衝
- 不對稱,典型
- ±1% ±5 ns (在 50% 工作週期)
- 抖動,典型
- < 60 ps TIERMS,≥ 100 mVpp振幅,40%-60% 工作週期
- 斜波和三角波形
- 頻率範圍
- 0.1 Hz 至 500 kHz
- 頻率設定解析度
- 0.1 Hz
- 頻率準確性
- 130 ppm (頻率 ≤ 10 kHz),50 ppm (頻率 > 10 kHz)
- 振幅範圍
- 20 mVpp 至 5 Vpp 進入 Hi-Z;10 mVpp 至 2.5 Vpp 進入 50 Ω
- 變動對稱
- 0% - 100%
- 對稱解析度
- 0.1%
- 直流位準範圍
±2.5 V 進入 Hi-Z
±1.25 V 進入 50 Ω
- 隨機雜訊振幅範圍
20 mVpp至 5 Vpp進入 Hi-Z
10 mVpp至 2.5 Vpp進入 50 Ω
- Sin(x)/x
- 最高頻率
- 2 MHz
- 高斯脈波、Haversine 脈波和 Lorentz 脈波
- 最高頻率
- 5 MHz
- Lorentz 脈波
- 頻率範圍
- 0.1 Hz 至 5 MHz
- 振幅範圍
- 20 mVpp 至 2.4 Vpp 進入 Hi-Z
10 mVpp至 1.2 Vpp進入 50 Ω
- Cardiac 波
- 頻率範圍
- 0.1 Hz 至 500 kHz
- 振幅範圍
- 20 mVpp 至 5 Vpp 進入 Hi-Z
10 mVpp至 2.5 Vpp進入 50 Ω
- 任意
- 記憶體深度
- 1 至 128 k
- 振幅範圍
- 20 mVpp 至 5 Vpp 進入 Hi-Z
10 mVpp至 2.5 Vpp進入 50 Ω
- 重複率
- 0.1 Hz 至 25 MHz
- 取樣率
- 250 MS/s
- 訊號振幅精確度
- ±[ (峰對峰振幅設定的 1.5%) + (絕對直流偏移設定的 1.5%) + 1 mV ] (頻率 = 1 kHz)
- 訊號振幅解析度
1 mV (Hi-Z)
500 μV (50 Ω)
- 正弦波和斜波頻率準確度
1.3 x 10-4(頻率 ≤10 kHz)
5.0 x 10-5(頻率 >10 kHz)
- 直流偏移範圍
±2.5 V 進入 Hi-Z
±1.25 V 進入 50 Ω
- DC 偏移準確度
1 mV (Hi-Z)
500 μV (50 Ω)
- 直流偏移精確度
±[ (絕對偏移電壓設定的 1.5%) + 1 mV ]
從環境溫度 25 °C 開始,每改變 10 °C 會增加 3 mV 的不確定性
數位伏特錶 (DVM)
- 量測類型
直流、交流RMS+ 直流、交流RMS、
- 電壓解析度
- 4 位數
- 電壓準確度
- 直流:
±((1.5% * |讀取 - 偏移 - 位置|) + (0.5% * |(偏移 – 位置)|) + (0.1 * 伏特/格))
高於 30 °C 時衰減 |讀數 - 偏移 - 位置| 的 0.100%/°C
在距離螢幕中央 ±5 格內的訊號
- 交流:
± 2% (40 Hz 至 1 kHz) 且在 40Hz 至 1kHz 之外沒有諧波含量
交流,典型:± 2% (20 Hz 至 10 kHz)
進行交流量測時,輸入通道垂直設定必須能夠讓 VPP輸入訊號涵蓋 4 和 10 格之間的內容,且必須在螢幕上完全呈現
觸發計頻器
- 準確度
±(1 計數 + 時基準確度 X 輸入頻率)
訊號必須至少為 8 mVpp或 2 格,以較大者為準。
- 最大輸入頻率
10 Hz 至類比通道的最大頻寬
訊號必須至少為 8 mVpp或 2 格,以較大者為準。
- 解析度
8 位元
處理器系統
- 主機處理器
- Intel i5-4400E,2.7 GHz,64 位元,雙核心處理器
- 內部儲存
- ≥ 80 GB。外形規格是含 SATA-3 介面的 80 公釐 m.2 卡
- 作業系統
安裝了選項 5-WIN 的儀器:Microsoft Windows 10 1
1選項 5-WIN 不適用於 MSO58LP 儀器。
- 搭載 Microsoft Windows 10 OS 的固態硬碟 (SSD) (選項 5-WIN )
≥ 480 GB SSD。外形規格是含 SATA-3 介面的 2.5 英吋 SSD。此磁碟機可由客戶安裝,已內建 Microsoft Windows 10 Enterprise IoT 2016 LTSB (64 位元) 作業系統
輸入輸出埠
- DisplayPort 接頭
20 針 DisplayPort 接頭,可連接至外部顯視器或投影機來顯示示波器內容
- DVI 接頭
29 針 DVI-D 接頭,可連接外部監視器或投影機以顯示示波器畫面
- VGA
DB-15 母接頭,可連接至外部顯視器或投影機來顯示示波器內容
- 探棒補償器訊號,典型
- 連線:
- 接頭位於儀器的下方
- 振幅:
- 0 至 2.5 V
- 頻率:
- 1 kHz
- 電源阻抗:
- 1 kΩ
- 外部參考輸入
- 時基系統可對外部 10 MHz 參考訊號 (±4 ppm) 進行相位鎖定 。
- USB 介面 (主機、裝置埠)
前面板 USB 主機埠:兩個 USB 2.0 高速埠、一個 USB 3.0 超高速埠
背面板 USB 主機埠:兩個 USB 2.0 高速埠、兩個 USB 3.0 超高速埠
背面板 USB 裝置埠:一個 USB 3.0 超高速裝置埠,可支援 USBTMC
- 乙太網路介面
- 10/100/1000 Mb/秒
- 輔助輸出
背板 BNC 接頭。可配置輸出,在示波器觸發、內部示波器參考時脈輸出,或 AFG 同步脈波時,提供正或負脈波輸出
特性 限制 Vout (HI) ≥ 2.5 V 開放式電路;≥ 1.0 V 進入 50 Ω 負載至接地 Vout (LO) ≤ 0.7 V 進入 ≤ 4 mA 負載;≤0.25 V 進入 50 Ω 負載至接地
- Kensington 防盜鎖
- 背板安全插槽連接至標準 Kensington 防盜鎖
- LXI
等級:LXI Core 2011
版本:1.4
電源
- 電源
- 功率消耗
最大 400 瓦
- 來源電壓
- 100 - 240 V ±10% 時為 50 Hz 至 60 Hz
115 V ±10% 時為 400 Hz ±10%
外觀特性
- 尺寸
高度:支腳摺疊、提把向後時,12.2 英吋 (309 公釐)
高度:支腳摺疊、提把朝上時,14.6 英吋 (371 公釐)
寬度:兩端提把之間 17.9 英吋 (454 公釐)
長度:從支腳後端到旋鈕前端、提把朝上時,8.0 英吋 (205 公釐)
長度:支腳摺疊、提把向後時,11.7 英吋 (297.2 公釐)
- 重量
< 25 磅 (11.4 公斤)
- 冷卻
- 儀器右側 (從儀器正面看時) 和背面需要淨空 2.0 英吋 (50.8 公釐),冷卻效果才足夠
- 機架安裝配置
- 7U (可選配 RM5 框架組件)
環境規格
- 溫度
- 操作中
- +0 °C 至 +50 °C (32 °F 至 122 °F)
- 非操作中
-20 °C 至 +60 °C (-4 °F 至 140 °F)
- 濕度
- 操作中
在低於 +40°C 時為 5% 至 90% 的相對濕度 (% RH)
5% 至 55% 相對濕度之溫度超過 +40 °C、最高溫達 +50 °C,非冷凝溫度,而且必須符合最高濕球溫度 +39 °C
- 非操作中
在低於 +40 °C 時為 5% 至 90% 的相對濕度 (% RH)
5% 至 39% 相對濕度之溫度超過 +40 °C、最高溫達 +50 °C,非冷凝溫度,而且必須符合最高濕球溫度 +39 °C
- 高度
- 作業中
- 高達 3,000 公尺 (9,843 英呎)
- 非作業中
- 高達 12,000 公尺 (39,370 英呎)
EMC、環境和安全
- 法規
歐盟的 CE 標記,及美國和加拿大核淮的 UL
符合 RoHS 標準
軟體
- 軟體
- IVI 驅動程式
為 LabVIEW、LabWindows/CVI、Microsoft .NET 及 MATLAB 等常見應用軟體,提供了標準的儀器程式介面。透過 VISA 與 Python、C/C++/C# 和其他多種語言相容。
- e*Scope®
使用網路連接透過標準的網頁瀏覽器來控制示波器。只需輸入示波器的 IP 位址或網路名稱,瀏覽器中將出現一個網頁。您可直接從 Web 瀏覽器傳輸與儲存設定、波形、量測和螢幕影像,或進行即時控制變更示波器上的設定。
- LXI 網頁介面
只要在瀏覽器的位址列中,輸入示波器的 IP 位址或網路名稱,即可透過標準網頁瀏覽器連接至示波器。此種網頁介面可透過 e*Scope 網頁式遠端控制功能,檢視儀器狀態與配置、網路設定的狀態與修改,並進行儀器控制。所有網頁互動均符合 LXI Core (1.4 版) 規格。
訂購資訊
使用下列步驟選取符合量測需求的儀器和選項。
步驟 1
- 首先,根據您需要的 FlexChannel 輸入通道數目,選取 5 系列 MSO 型號。每個 FlexChannel 輸入通道皆支援 1 個類比或 8 個數位輸入訊號,並可交互使用。
機型 FlexChannel 數目 MSO54 4 MSO56 6 MSO58 8
每個機型包括 各 FlexChannel 一個被動式類比探棒: - 350 MHz 或 500 MHz 頻寬機型:TPP0500B 500MHz 探棒
- 1 GHz 或 2 GHz 頻寬機型:TPP1000 1GHz 探棒
安裝和安全手冊 (英文、日文和簡體中文版) 嵌入式說明 附有整合式配件包的前外蓋 滑鼠 電源線 校驗證書記載了國家計量機構 (NMI) 和 ISO9001/ISO17025 品質系統註冊的可追溯性 三年保固,含儀器的所有零件及人力。
一年保固,含隨附探棒的所有零件及人工
步驟 2
- 選取您需要的類比通道頻寬來配置示波器
- 立即選擇以下其中一個頻寬選項來選擇您需要的頻寬。您稍後可以購買升級選項來升級。
頻寬選項 頻寬 5-BW-350 350 MHz 5-BW-500 500 MHz 5-BW-1000 1 GHz 5-BW-2000 2 GHz
步驟 3
- 增加儀器功能
- 儀器功能可以隨儀器一起訂購,也可以稍後再以升級套件來訂購。
儀器選項 內建功能 5-RL-125M 將記錄長度延長至 125M 點/通道 5-WIN 1 新增具有 Microsoft Windows 10 作業系統授權的可卸式 SSD 5-AFG 新增任意/函數產生器 5-SEC 23 儀器解除機密和可啟用與停用所有 USB 和乙太網路連接埠與韌體升級之受密碼保護的加強型安全性。
1此選配與 5-SEC 選配不相容。
2此選配與 5-WIN 選配不相容。
3您必須在購買儀器的同時一併選購此選項。無法作為升級提供。
步驟 4
- 增加可選串列匯流排觸發、解碼和搜尋功能
- 立即從這些串列分析選項中選擇您需要的串列支援。您稍後可以購買升級套件來升級。
儀器選項 支援的串列匯流排 5-SRAERO 航太 (MIL-STD-1553、ARINC 429) 5-SRAUDIO 音訊 (I2S、LJ、RJ、TDM) 5-SRAUTO 汽車 (CAN、CAN FD、LIN、FlexRay 和 CAN 符號解碼) 5-SRAUTOSEN 汽車感應器 (SENT) 5-SRCOMP 電腦 (RS-232/422/485/UART) 5-SREMBD 嵌入式 (I2C、SPI) 5-SRENET 乙太網路 (10BASE-T、100BASE-TX) 5-SRI3C MIPI I3C (僅限 I3C 解碼和搜尋) 5-SRPM 電源量測 (SPMI) 5-SRUSB2 USB (USB2.0 LS、FS、HS) 1
1只有 ≥1 GHz 頻寬的型號才支援 USB 高速
步驟 5
- 增加選配串列匯流排相容性測試
- 立即從這些選項中選擇您需要的串列相容性測試套件。您稍後可以購買升級套件來升級。
儀器選項 支援的串列匯流排 5-CMAUTOEN 汽車乙太網路自動化相容性測試解決方案 (100BASE-T1 和 1000BASE-T1)。
須備有選配 5-WIN (具有 Microsoft Windows 10 作業系統授權的 SSD)
針對 1000BASE-T1 需要 ≥2 GHz 頻寬5-CMENET 乙太網路自動相容性測試解決方案 (10BASE-T/100BASE-T/1000BASE-T)。
須備有選配 5-WIN (具有 Microsoft Windows 10 作業系統授權的 SSD)
針對 1000BASE-T 需要 ≥1 GHz 頻寬5-CMUSB2 USB2.0 自動相容性測試解決方案。
須備有選配 5-WIN (具有 Microsoft Windows 10 作業系統授權的 SSD)
需要 TDSUSBF USB 測試治具
針對高速 USB 需要 ≥2 GHz 頻寬
步驟 6
- 增加選配分析能力
1此選配與 5-PS2 或 5-PS2FRA 選配不相容。
2此選配與 5-PWR 選配不相容。
3您必須在購買儀器的同時一併選購此選項。無法作為升級提供。
步驟 7
- 增加數位探棒
- 只要將 TLP058 邏輯探棒連接至 FlexChannel 輸入,即可將任何 FlexChannel 輸入通道配置為八個數位通道。您可以與儀器一起或單獨訂購 TLP058 探棒。
針對此儀器 訂購 若要新增 MSO54 1 至 4 支 TLP058 探棒 8 至 32 個數位通道 MSO56 1 至 6 支 TLP058 探棒 8 至 48 個數位通道 MSO58 1 至 8 支 TLP058 探棒 8 至 64 個數位通道
步驟 8
- 增加類比探棒和轉接器
- 增加其他建議的探棒和轉接器
建議的探棒/轉接器 說明 TAP1500 1.5 GHz TekVPI® 主動單端電壓探棒,±8 V 輸入電壓 TAP2500 2.5 GHz TekVPI® 主動單端電壓探棒,±4 V 輸入電壓 TAP3500 3.5 GHz TekVPI® 動單端電壓探棒,±4 V 輸入電壓 TAP4000 4 GHz TekVPI® 主動單端電壓探棒,±4 V 輸入電壓 TCP0030A 30 A 交流/直流 TekVPI® 電流探棒,120 MHz 頻寬 TCP0020 20 A 交流/直流 TekVPI® 電流探棒,50 MHz 頻寬 TCP0150 150 A 交流/直流 TekVPI® 電流探棒,20 MHz 頻寬 TRCP0300 30 MHz 交流電流探棒,250 mA 至 300 A TRCP0600 30 MHz 交流電流探棒,500 mA 至 600 A TRCP3000 16 MHz 交流電流探棒,500 mA 至 3000 A TDP0500 500 MHz TekVPI® 差動電壓探棒,±42 V 差動輸入電壓 TDP1000 1 GHz TekVPI® 差動電壓探棒,±42 V 差動輸入電壓 TDP1500 1.5 GHz TekVPI® 差動電壓探棒,±8.5 V 差動輸入電壓 TDP3500 3.5 GHz TekVPI® 差動電壓探棒,±2 V 差動輸入電壓 TDP4000 4 GHz TekVPI® 差動電壓探棒,±2 V 差動輸入電壓 TDP7704 4 GHz TriMode™ 電壓探棒 TDP7706 6 GHz TriMode™ 電壓探棒 TDP7708 8 GHz TriMode™ 電壓探棒 THDP0100 ±6 kV,100 MHz TekVPI® 高壓差動探棒 THDP0200 ±1.5 kV,200 MHz TekVPI® 高壓差動探棒 TMDP0200 ±750 V,200 MHz TekVPI® 高壓差動探棒 TPR1000 1 GHz,單端 TekVPI® 電軌探棒;包含一個 TPR4KIT 配件組 TPR4000 4 GHz,單端 TekVPI® 電軌探棒;包含一個 TPR4KIT 配件組 TIVH02 隔離探棒;200 MHz,±2500 V,TekVPI,3 公尺纜線 TIVH02L 隔離探棒;200 MHz,±2500 V,TekVPI,10 公尺纜線 TIVH05 隔離探棒;500 MHz,±2500 V,TekVPI,3 公尺纜線 TIVH05L 隔離探棒;500 MHz,±2500 V,TekVPI,10 公尺纜線 TIVH08 隔離探棒;800 MHz,±2500 V,TekVPI,3 公尺纜線 TIVH08L 隔離探棒;800 MHz,±2500 V,TekVPI,10 公尺纜線 TIVM1 隔離探棒;1 GHz,±50 V,TekVPI,3 公尺纜線 TIVM1L 隔離探棒;1 GHz,±50 V,TekVPI,10 公尺纜線 TPP0502 500 MHz,2X TekVPI® 被動電壓探棒,12.7 pF 輸出電容 TPP0850 2.5 kV,800 MHz,50X TekVPI® 高壓被動探棒 P6015A 20 kV,75 MHz 高壓被動探棒 TPA-BNC 1 TekVPI® 至 TekProbe™ BNC 轉接器 TEK-DPG TekVPI 偏移校正脈波產生器訊號源 067-1686-xx 功率諧波量測偏移校正和校驗治具
1建議將現有的 TekProbe 探棒連接至 5 系列 MSO 。
步驟 9
- 增加配件
- 增加旅遊或安裝配件
可選配件 說明 HC5 硬質攜帶箱 RM5 框架組件 GPIB 至乙太網路轉接器 直接向 ICS Electronics 訂購型號 4865B (GPIB 至乙太網路至儀器介面)
www.icselect.com/gpib_instrument_intfc.html
步驟 10
- 選取電源線選項
電源線選項 說明 A0 北美地區電源插頭 (115 V,60 Hz) A1 歐洲通用電源插頭 (220 V,50 Hz) A2 英國電源插頭 (240 V,50 Hz) A3 澳洲電源插頭 (240 V,50 Hz) A5 瑞士電源插頭 (220 V,50 Hz) A6 日本電源插頭 (100 V、50/60 Hz) A10 中國電源插頭 (50 Hz) A11 印度電源插頭 (50 Hz) A12 巴西電源插頭 (60 Hz) A99 無電源線
步驟 11
- 增加延長服務和校驗選項
服務選項 說明 T3 總計三年的保護方案,包含折舊或破損零件的維修或更換、意外損壞以及 ESD 或 EOS 預防性維護。包括 5 天的處理時間以及優先客戶支援服務。 T5 總計五年的保護方案,包含折舊或破損零件的維修或更換、意外損壞以及 ESD 或 EOS 預防性維護。包括 5 天的處理時間以及優先客戶支援服務。 R5 標準保固期可展期至 5 年。涵蓋零件、人工及國內 2 日運送。保證保固範圍以外的迅速維修時間。所有維修均包括校驗與更新。無繁瑣手續 - 一通電話立即處理。 C3 校驗服務 3 年。包括在適用情況下所建議校準的可追溯校準或功能驗證。測試範圍包括初始校正,外加 2 年的校正測試範圍。 C5 校驗服務 5 年。包括在適用情況下所建議校準的可追溯校準或功能驗證。測試範圍包括初始校正,外加 4 年的校驗測試範圍。 D1 校驗資料報告 D3 校驗資料報告 3 年 (含選項 C3) D5 校驗資料報告 5 年 (含選項 C5)
購買後的功能升級
- 日後新增功能升級
- 您可以在首次購買後輕鬆新增其功能。節點鎖定授權永久允許單一產品的選配功能。浮動授權可讓已啟用授權的選項,輕易地在相容的儀器之間移動。
升級功能 節點鎖定授權升級 浮動授權升級 說明 新增儀器功能 SUP5-AFG SUP5-AFG-FL 新增任意函數產生器 新增通訊協定分析 SUP5-SRAERO SUP5-SRAERO-FL 航太串列觸發和分析 (MIL-STD-1553、ARINC 429) SUP5-SRAUDIO SUP5-SRAUDIO-FL 音訊串列觸發和分析 (I2S、LJ、RJ、TDM) SUP5-SRAUTO SUP5-SRAUTO-FL 汽車串列觸發和分析 (CAN、CAN FD、LIN、FlexRay 和 CAN 符號解碼) SUP5-SRAUTOSEN SUP5-SRAUTOSEN-FL 汽車感應器串列觸發和分析 (SENT) SUP5-SRCOMP SUP5-SRCOMP-FL 電腦串列觸發和分析 (RS-232/422/485/UART) SUP5-SREMBD SUP5-SREMBD-FL 嵌入式串列觸發和分析 (I2C、SPI) SUP5-SRENET SUP5-SRENET-FL 乙太網路串列觸發和分析 (10Base-T、100Base-TX) SUP5-SRI3C SUP5-SRI3C-FL MIPI I3C 串列分析 SUP5-SRPM SUP5-SRPM-FL 電源量測串列觸發和分析 (SPMI) SUP5-SRUSB2 SUP5-SRUSB2-FL USB 2.0 串列匯流排觸發和分析 (LS、FS 和 HS) 新增進階分析 SUP5-DJA SUP5-DJA-FL 進階抖動和眼圖分析 SUP5-PWR SUP5-PWR-FL 進階電源量測和分析 SUP5-DPM SUP5-DPM-FL 數位電源管理t 新增數位電壓計 SUP5-DVM N/A 新增數位電壓計/觸發計頻器 (隨產品註冊免費附贈:www.tek.com/register5mso) 升級功能 升級 說明 新增 Windows 作業系統 SUP5-WIN 新增具有 Windows 10 作業系統的可卸式 SSD
購買後的頻寬升級
- 日後新增頻寬升級
您可以在首次購買後輕鬆升級產品的類比頻寬。頻寬升級可根據 FlexChannel 輸入通道數目、當前頻寬和所需的頻寬來購買。
達 1GHz 的頻寬升級,可藉由安裝軟體授權和新的前面板標籤於現場執行。若要升級至 2 GHz,則必須在 Tektronix 授權的服務中心進行安裝和校驗。
從 350 MHz 或 500 MHz 到 1 GHz 或 2 GHz 的頻寬升級,也包含每個儀器通道一個 TPP1000 1 GHz 被動式探棒。
升級機型 升級前頻寬 升級後頻寬 訂購此頻寬升級 MSO54 350 MHz 500 MHz SUP5-BW3T54 350 MHz 1 GHz SUP5-BW3T104 350 MHz 2 GHz SUP5-BW3T204 搭配選配 IFC 或 IFCIN 500 MHz 1 GHz SUP5-BW5T104 500 MHz 2 GHz SUP5-BW5T204 搭配選配 IFC 或 IFCIN 1 GHz 2 GHz SUP5-BW10T204 搭配選配 IFC 或 IFCIN MSO56 350 MHz 500 MHz SUP5-BW3T56 350 MHz 1 GHz SUP5-BW3T106 350 MHz 2 GHz SUP5-BW3T206 搭配選配 IFC 或 IFCIN 500 MHz 1 GHz SUP5-BW5T106 500 MHz 2 GHz SUP5-BW5T206 搭配選配 IFC 或 IFCIN 1 GHz 2 GHz SUP5-BW10T206 搭配選配 IFC 或 IFCIN MSO58 350 MHz 500 MHz SUP5-BW3T58 350 MHz 1 GHz SUP5-BW3T108 350 MHz 2 GHz SUP5-BW3T208 搭配選配 IFC 或 IFCIN 500 MHz 1 GHz SUP5-BW5T108 500 MHz 2 GHz SUP5-BW5T208 搭配選配 IFC 或 IFCIN 1 GHz 2 GHz SUP5-BW10T208 搭配選配 IFC 或 IFCIN






