Frage:
Why isn’t the TPP1000 (Tektronix Passive Probe 1GHz) compatible with my scope?
Antwort:
Short answer is that if your scope doesn’t have the notched key that allows the probe to connect, then the TPP probe requires a different termination resistance than what your scope can provide.

Long answer is that traditionally, passive probes (industry standard) require a scope to have 1 megaohm termination. If you’re unfamiliar with what a termination resistor is; the scope’s termination is a resistor internal to the scope where the ADC (Analog-to-Digital Converter) samples the analog signal.

A passive probe that has specifications indicating 10MΩ Input Impedance and 10X attenuation means that the device being probed will view 10 megaohms loading and the signal that reaches the scope will be attenuated (amplitude shrunk) by a factor of 10.

The scopes ADC measures the signal across the 1 megaohm resistor connected to the scopes ground. The probe has 9 megaohm resistance at the head of the probe. This creates a voltage divider network where the voltage at the 1 megaohm termination resistance is 1/10 the voltage measured at the probe head.

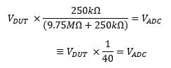
The TPP1000 probe has 9.75 Megaohms resistance at the tip. If the total impedance is 10 megaohms, that means the scope must have 250k Ohm impedance. A voltage divider of 10 megaohm with 250k Ohm resistance in the scope would give 40 times attenuation and not 10 as the datasheet defines.

Tektronix modern oscilloscopes use a more sophisticated system. The input ASIC on the front end of today’s scopes have a trans-impedance amplifier (TIA) designed around a 1 megaohm expected input impedance. If the total resistance is 10 megaohm from the probe and scope combined, that will decrease the current to the ASIC 10 times more than the 1 megaohm expected impedance; hence is a 10:1 attenuation. Likewise, a TPP0502 with a net probe-tip input resistance of 2MΩ is a “2X” attenuating probe.

Diese FAQs beziehen sich auf:
Produktreihe MDO3000 MDO4000 Mixed-Signal-Oszilloskop MSO/DPO5000B
Produkt:
FAQ-ID 467701
Alle FAQs ansehen »