Contactez-nous
Chat en direct avec un représentant Tek. Service disponible de 9 h à 17 h, CET jours ouvrables.
Appelez-nous au
Disponible de 9 h à 17 h CET jours ouvrables.
Télécharger
Télécharger des manuels, des fiches techniques, des logiciels, etc. :
Feedback
MSO Série 4 B
Fiche technique de l´oscilloscope à signaux mixtes
Plus d’informations
- Oscilloscope à signaux mixtes MSO série 4 B
- Assistance produit
- Découvrez d'autres modèles Oscilloscope
Lire en ligne :

Le MSO Série 4 B mis établit une nouvelle norme en matière de performances, de capacités d'analyse et d'expérience utilisateur globale concernant les oscilloscope de laboratoire. Il est idéal pour le débogage et la validation des systèmes intégrés et convertisseurs de puissance. La seconde génération de cet instrument inclut une nouvelle plateforme de traitement, qui multiplie sa réactivité par plus de deux et accélère considérablement les mesures et les transferts de données, avec une prise en charge complète des opérations et du contrôle à distance. Les modèles sont disponibles avec 4 ou 6 entrées FlexChannel® pour une grande visibilité des conceptions. L'échantillonnage 12 bits haute résolution offre des mesures précises sur un affichage HD 13,3 pouces au contraste plus élevé. Et l'analyse du spectre synchronisée et multi-voie facilite la recherche de bruit résiduel et les mesures RF. Ces performances de mesure exceptionnelles sont associées à une interface utilisateur primée intuitive qui permet d'obtenir rapidement des résultats précis.
Spécifications des performances clés
Des voies d'entrée
- 4 ou 6 entrées FlexChannel®
- Chaque FlexChannel offre :
- Un signal analogique qui peut être affiché sous forme de vue de signal, de vue Spectre ou les deux en même temps
- Huit entrées logiques numériques avec une sonde logique TLP058
Bande passante (toutes les voies analogiques)
- 200 MHz, 350 MHz, 500 GHz, 1 GHz, 1,5 GHz (mise à niveau possible)
Fréquence d'échantillonnage (toutes les voies analogiques/numériques)
- Temps réel : 6,25 G éch./s
Nombre d'échantillons (toutes les voies analogiques/numériques)
- 31,25 millions de points en standard (62,5 millions de point avec la mise à niveau en option)
Taux de capture de signaux
- > 500 000 signaux/s
Résolution verticale
- 12 bits ADC
- Jusqu'à 16 bits en mode Haute résolution
Types de déclenchement standard
- Front, Largeur d'impulsion, Petite impulsion, Délai d'attente, Fenêtre, Logique, Etablissement et Maintien, Temps de montée/descente, Bus parallèle, Séquence, Déclenchement visuel, Vidéo (en option), Représentation RF/Temps (en option)
- Déclenchement auxiliaire ≤ 300 Vrms (déclenchement sur front uniquement)
Analyse standard
- Curseurs : Forme d'onde, Barres V, Barres H, Barres V&H
- Mesures : 36
- Vue Spectre : analyse du domaine de fréquences avec commandes indépendants pour les domaines de fréquence et les domaines temps
- FastFrame™ : mode d'acquisition à mémoire segmentée avec une vitesse maximum de déclenchement > 5 000 000 de signaux par seconde
Tracés : Evolution chronologique, Histogramme et Spectre
- Fonctions mathématiques : arithmétique basique sur la forme d'onde, FFT et éditeur d'équations avancé
- Recherche : sur n'importe quel critère de déclenchement
Analyse en option
- Vue Spectre avancée
- Représentations RF/temps, déclencheurs, spectrogrammes et capture I&Q
- Test masque/limite
- Analyse et mesure de puissance avancées
- Analyse électrique triphasée (modèle à 6 voies uniquement)
Décodage, analyse et déclenchement de protocole en option
I2C, SPI, eSPI, I3C, RS-232/422/485/UART, SPMI, SMBus, CAN, CAN FD, LIN, FlexRay, SENT, PSI5, CXPI, USB 2.0, eUSB2, Ethernet, EtherCAT, Audio, MIL-STD-1553, ARINC 429, Spacewire, NRZ, Manchester, SVID, SDLC, 1 fil, MDIO et NFC
Générateur de fonctions arbitraires (en option et mise à niveau possible)
- Génération de signal 50 MHz
- Types de forme d'onde : arbitraire, sinusoïdale, carré, impulsion, rampe, triangle, niveau DC, gaussienne, Lorentz, montée/descente exponentielle, sin(x)/x, bruit aléatoire, demi-sinus verse, cardiaque
Voltmètre numérique (gratuit avec l'enregistrement du produit)
- Mesures de tension RMS DC+AC, DC, AC 4 digits
Compteur de fréquence de déclenchement (gratuit avec l'enregistrement du produit)
- 8 digits
Affichage
- 13,3 pouces (338 mm), montage à liaison optique
- Résolution haute définition (1 920 x 1 080)
- Ecran tactile capacitif (multipoint)
Connectivité
- USB 2.0 Hôte, USB 3.0 Hôte, Appareil USB 2.0 (6 ports) ; LAN (Ethernet Base-T 10/100/1000) ; HDMI ; Nécessite une connexion à écran haute définition (résolution 1 920 x 1 080)
Garantie
- Garantie standard de 1 an,
Dimensions
- H 286,99 mm (11,299 pouces) x L 405 mm (15,9 pouces) x P 155 mm (6,1 pouces)
- Poids : MSO44B : < 7,3 kg (16 livres) ; MSO46B : < 7,5 kg (16,55 livres)
Ne laissez plus jamais un nombre de voies insuffisant ralentir votre processus de vérification et de débogage !
L'oscilloscope MSO Série 4 B offre une visibilité améliorée sur les systèmes complexes grâce à des modèles à quatre et six voies, avec un écran à liaison optique 13,3 pouces haute définition (1 920 x 1 080) offrant un contraste et un angle de vue de qualité supérieure. Nombre d'applications, telles que les systèmes embarqués, les appareils électroniques à alimentation triphasée, les équipements électroniques automobiles, la conception d'alimentations électriques et les convertisseurs de puissance DC-DC, nécessitent d'observer plus de quatre signaux analogiques, afin de vérifier et de caractériser les performances de l'appareil, et de résoudre les problèmes système complexes.
La plupart des ingénieurs se sont déjà retrouvés dans une situation de débogage d'un problème particulièrement complexe, souhaitant bénéficier d'une meilleure visibilité sur le système et d'un contexte plus large, avec malheureusement un oscilloscope limité à deux ou quatre voies analogiques. L'utilisation d'un deuxième oscilloscope va de pair avec un travail supplémentaire d'alignement des points de déclenchement, la difficulté à déterminer la relation de synchronisation entre les deux écrans et un casse-tête documentaire.
Et si vous imaginiez qu'un oscilloscope de six voies coûtait 50 % de plus qu'un instrument à quatre voies, vous serez agréablement surpris de découvrir que le surcoût n'est que de 20 % environ pour les modèles à six voies et. Les voies analogiques supplémentaires sont en outre rapidement rentabilisées, en vous permettant de terminer vos projets actuels et futurs dans les temps.

La technologie FlexChannel® offre une flexibilité optimale et une visibilité élargie sur le système.
Le modèle MSO Série 4 B réinvente la définition d'un oscilloscope à signal mixte (MSO). La technologie FlexChannel permet d'utiliser chaque entrée de voie comme une seule voie analogique, huit entrées logiques numériques (avec la sonde logique TLP058) ou des vues analogiques et spectrales simultanées avec des commandes d'acquisition indépendantes pour chaque domaine. Imaginez la flexibilité et les possibilités de configuration que cela représente !
Avec un modèle FlexChannel à six entrées, vous pouvez ainsi configurer six signaux analogiques et aucun signal numérique. Ou cinq signaux analogiques et huit numériques. Ou quatre signaux analogiques et 16 signaux numériques, trois analogiques et 24 numériques, etc. Vous pouvez modifier la configuration à tout moment en ajoutant ou en supprimant simplement les sondes logiques TLP058, de façon à avoir toujours le nombre de voies numériques souhaité.

Les modèles d'oscilloscope MSO précédents imposaient des compromis, du fait que les voies numériques présentaient des fréquences d'échantillonnage plus faibles ou des longueurs d'enregistrement plus courtes que les voies analogiques. Le modèle MSO Série 4 B permet un niveau d'intégration inédit des voies numériques. Les voies numériques partagent la même fréquence d'échantillonnage (jusqu'à 6,25 Géch./s) et la même longueur d'enregistrement (jusqu'à 62,5millions de points) que les voies analogiques.



Fonctionnalité d'affichage du signal sans précédent
Le remarquable écran 13,3" (338 mm) est le plus grand de sa classe. Cet écran à la résolution optimale Full HD (1 920 x 1 080) vous permet d'afficher simultanément un grand nombre de signaux, tout en laissant de la place pour les mesures et analyses critiques.
La zone d'affichage a été optimisée afin de garantir un espace vertical maximum pour les formes d'onde. La barre Results (Résultats) située à droite de l'écran peut être masquée pour afficher les formes d'onde en pleine largeur.

L'oscilloscope MSO Série 4 B propose un nouveau mode d'affichage empilé révolutionnaire. Historiquement, les oscilloscopes ont toujours présenté tous les signaux les uns sur les autres, dans le même réticule, imposant de délicates gymnastiques :
Pour que chaque signal soit visible, vous devez donc ajuster l'échelle verticalement et positionner chaque signal de façon à ce qu'ils ne se chevauchent pas. Chaque signal utilise un faible pourcentage de la plage ADC disponible, ce qui donne des mesures moins précises.
Pour garantir la précision des mesures, vous devez ajuster l'échelle verticalement et positionner chaque signal de façon à ce qu'il couvre la totalité de l'écran. Les signaux se chevauchent, ce qui rend difficile de distinguer les détails de chacun.
Le nouveau mode d'affichage empilé élimine toutes ces contraintes. Il ajoute et supprime automatiquement des « tranches » horizontales de signal (réticules supplémentaires) à mesure que les signaux sont créés et supprimés. Chaque tranche couvre la totalité de la plage ADC du signal. Les signaux sont visuellement séparés les uns des autres, tout en couvrant la totalité de la plage ADC, offrant une visibilité et une précision optimales. Et tout se fait automatiquement, à mesure que les signaux sont ajoutés ou supprimés ! Les voies peuvent facilement être réorganisées en mode d'affichage empilé en glissant et déposant les vignettes des voies et des formes d'onde dans la barre des paramètres en bas de l'écran. Vous pouvez également superposer des groupes de voie dans une tranche, afin de simplifier la comparaison visuelle des signaux.
Le très écran du modèle offre également un espace d'affichage pour les éléments annexes aux signaux : les tracés, les tableaux de résultats de mesure, les tableaux de décodage de bus, et bien plus encore. Vous pouvez en outre facilement redimensionner et déplacer les différentes vues, en fonction de vos besoins.

Une interface utilisateur particulièrement simple qui vous permet de vous concentrer sur la tâche à accomplir
Barre Settings (Paramètres) : principaux paramètres et gestion du signal
Les paramètres de signaux et de fonctionnement de l'oscilloscope s'affichent dans une série de « vignettes », situées dans la barre Settings (Paramètres) placée en bas de l'écran, sur toute la longueur. La barre Settings (Paramètres) permet un accès immédiat aux principales fonctions de gestion du signal. D'une simple pression du doigt, vous pouvez ainsi :
- Activer des voies
- Ajouter des signaux mathématiques
- Ajouter des signaux de référence
- Ajouter des signaux de bus
- Activer le générateur de fonctions arbitraires (AFG) intégré (en option)
- Activer le voltmètre numérique (DVM) intégré (en option)
Barre Results (Résultats) : analyse et mesures
La barre Results (Résultats) située à droite de l'écran permet d'accéder instantanément aux outils d'analyse les plus courants, tels que les curseurs, les mesures, les recherches, les tableaux de résultats de mesure et de décodage bus, les tracés et les notes.
Les vignettes de voltmètre, de mesure et de résultats de recherche s'affichent dans la barre Results (Résultats), sans encombrer la zone d'affichage du signal, le cas échéant. Pour agrandir cette zone d'affichage, il est cependant possible de masquer la barre Results (Résultats), puis de la rappeler dès qu'elle est nécessaire.

Une interaction tactile enfin au point !
Cela fait des années que les oscilloscopes sont dotés d'écrans tactiles, mais cette fonction a toujours été un ajout après-coup. Sur le modèle MSO Série 4 B, l'écran tactile capacitif de a été intégré pour offrir la première interface d'oscilloscope véritablement conçue pour un fonctionnement tactile.
Vous retrouvez ainsi sur votre instrument des interactions tactiles similaires à celles des téléphones et des tablettes, ce qu'on peut attendre d'un appareil tactile.
- Faites glisser les formes d'onde vers la gauche/droite ou vers le haut/bas, afin d'ajuster leur position horizontale et verticale ou d'effectuer un panoramique sur une vue zoomée.
- Rapprochez ou écartez vos doigts pour changer d'échelle ou effectuer un zoom avant/arrière, dans le sens horizontal ou vertical.
- Faites glisser les éléments vers la corbeille ou faites-les glisser hors de l'écran pour les supprimer
- Faites glisser votre doigt de droite à gauche pour afficher la barre Results (Résultats) masquée ou de haut en bas pour accéder aux menus situés dans le coin supérieur gauche de l'écran.
Les commandes réactives et simples de la face avant vous permettent d'effectuer les réglages souhaités à l'aide des boutons et molettes habituels. Vous pouvez également ajouter une souris ou un clavier, pour un troisième mode d'interaction. 
Taille de police variable
Depuis toujours, les interfaces utilisateur des oscilloscopes ont été conçues avec des tailles de police fixes pour optimiser l'affichage des signaux et des mesures. Cette configuration est idéale lorsque tous les utilisateurs disposent des mêmes préférences d'affichage, mais ce n'est pas le cas. Les utilisateurs passent beaucoup de temps à regarder des écrans et Tektronix en a bien conscience. L'oscilloscope MSO Série 4 B offre à l'utilisateur la possibilité de modifier la taille de police et de la réduire jusqu'à 12 points ou de l'augmenter jusqu'à 20 points. Lorsque vous ajustez la taille de la police, l'interface utilisateur se met à l'échelle de façon dynamique afin que vous puissiez facilement choisir la meilleure taille pour votre application.


Un vrai souci du détail dans les commandes de la face avant
Traditionnellement, la face avant d'un oscilloscope est composée pour moitié d'un écran d'affichage et pour moitié de commandes. Cependant, l'écran de l'oscilloscope MSO Série 4 B représente 75 % de la face avant de l'instrument. Pour obtenir une telle configuration, la face avant a été rationalisée de manière à ne conserver que les commandes essentielles, nécessaires à une utilisation simple et intuitive, avec un nombre réduit de boutons de menu permettant d'accéder directement aux autres fonctions grâce à des objets sur l'écran.
Des voyants LED à code couleur entourent d'un ruban lumineux les boutons de commande, indiquant la source de déclenchement, ainsi que la position/l'échelle verticale. De larges boutons dédiés Run/Stop (Démarrer/Arrêter) et Single Sequence (Séquence unique) sont visibles et accessibles en haut à droite de l'appareil. D'autres fonctions sont également accessibles sur le panneau de commande avant, à l'aide de boutons dédiés : Force Trigger (Forcer le déclenchement), Trigger Slope (Pente de déclenchement), Trigger Mode (Mode de déclenchement), Default Setup (Configuration par défaut), Auto-set (Réglage auto) et Quick-save (Enregistrement rapide).
Des performances hors norme
Technologie à phosphore numérique avec capture rapide de signaux FastAcq™
Pour déboguer un problème de conception, vous devez d'abord l'identifier. La technologie à phosphore numérique avec FastAcq offre un aperçu rapide du fonctionnement réel de votre système. Grâce à sa vitesse d'acquisition de signaux élevée (supérieure à 500 000 signaux par seconde), vous avez davantage de chances de pouvoir visualiser les problèmes rares qui se produisent dans les systèmes numériques : petites impulsions, parasites, problèmes de temporisation, etc. Pour améliorer la visibilité de ces événements rares, l'intensité variable permet d'indiquer la fréquence des phénomènes transitoires rares par rapport aux caractéristiques normales des signaux.

Meilleure résolution verticale du secteur
L'oscilloscope MSO Série 4 B offre les performances nécessaires pour capturer les signaux qui vous intéressent, tout en minimisant les effets du bruit indésirable lorsque vous souhaitez capturer des signaux de haute amplitude en visualisant les plus petits détails du signal. L'instrument est centré sur des convertisseurs analogique-numérique 12 bits (ADC) offrant une résolution verticale 16 fois supérieure à celle des convertisseurs traditionnels 8 bits.
Le nouveau mode haute résolution applique un filtre matériel à réponse impulsionnelle finie (FIR) novateur, basé sur la fréquence d'échantillonnage sélectionnée. Ce filtre FIR maintient la bande passante la plus élevée possible pour cette fréquence d'échantillonnage, tout en empêchant le crénelage et en éliminant le bruit au niveau des convertisseurs ADC et des amplificateurs de l'oscilloscope au-delà de la bande passante utilisable pour la fréquence d'échantillonnage sélectionnée. Le mode Haute résolution offre toujours au moins 12 bits de résolution verticale et peut atteindre 16 bits aux fréquences d'échantillonnage ≤125 Méch./s.
Les nouveaux amplificateurs frontaux à faible bruit améliorent votre capacité à résoudre les détails les plus fins du signal.

Déclenchement
La détection d'une défaillance dans un appareil est seulement la première étape. Vous devez ensuite capturer l'événement qui permettra d'identifier son origine. Le modèle MSO Série 4 B propose une palette complète de déclenchements évolués, tels que :
- Petite impulsion
- Logique
- Largeur de pulse
- Fenêtre
- Temps de maintien
- Temps de montée/temps de descente
- Violation du Setup et Hold
- Paquet série
- Données parallèles
- Séquence
- Vidéo
- Déclenchement visuel
- RF/Temps (en option)
Grâce à une longueur d'enregistrement allant jusqu'à 62,5 millions de points , vous pouvez capturer de nombreux événements intéressants, voire des milliers de paquets série, au cours d'une seule acquisition, offrant une résolution élevée pour zoomer sur des détails précis du signal et enregistrer des mesures fiables.

Déclenchement visuel - Recherche rapide du signal souhaité
La recherche du cycle correct d'un bus complexe peut prendre des heures de collecte et de tri de milliers d'acquisitions pour un événement intéressant. Définir un déclenchement qui isole l'événement souhaité accélère les tâches de débogage et d'analyse.
Le déclenchement visuel étend les capacités de déclenchement de l'instrument en balayant toutes les acquisitions de formes d'onde et en les comparant à des zones à l'écran (formes géométriques). Vous pouvez créer un nombre illimité de zones à l'aide d'une souris ou d'un écran tactile et diverses formes (triangles, rectangles, hexagones ou trapèzes) peuvent être utilisées pour indiquer le comportement de déclenchement recherché. Une fois que ces formes sont créées, elles peuvent être modifiées de façon interactive pour créer des formes personnalisées et des conditions de déclenchement idéales. Une fois que plusieurs zones sont définies, une équation logique booléenne peut être utilisée pour configurer des conditions de déclenchement à l'aide de fonctionnalités d'édition à l'écran.

En se déclenchant uniquement sur les événements de signal les plus importants, le déclenchement visuel permet de gagner des heures de capture et de recherche manuelle dans les acquisitions. En quelques secondes ou minutes, vous pouvez trouver les événements importants et terminer vos tâches de débogage et d'analyse. Le déclenchement visuel fonctionne même sur plusieurs voies, ce qui étend son utilité aux tâches complexes de dépannage et de débogage du système.

Sonde de à haut débit précise
Les sondes de tension passives de la série TPP offrent tous les avantages des sondes universelles, tels qu'une large plage dynamique, des options de connexion flexibles et une conception mécanique robuste, tout en offrant les performances des sondes actives. La bande passante analogique jusqu'à 1 GHz vous permet d'afficher les composantes haute fréquence de vos signaux, tandis que la charge capacitive extrêmement faible de 3,9 pF minimise les effets indésirables pour vos circuits et supporte plus facilement les grandes longueurs de câble de masse.
De plus, une version 2X à faible atténuation des sondes TPP est disponible en option pour mesurer les basses tensions. Contrairement aux autres sondes passives à faible atténuation, la sonde TPP0502 est dotée d'une bande passante élevée (500 MHz), ainsi que d'une faible charge capacitive (12,7 pF).

Interface de la sonde TekVPI
L'interface de la sonde TekVPI® est une référence en matière de simplicité d'utilisation. Nombre de sondes TekVPI, outre leur connexion fiable et sûre, sont équipées de voyants d'état et de commandes, ainsi que d'un bouton de menu pour sonde situé directement sur le boîtier de compensation. Ce bouton affiche un menu de sonde sur l'écran de l'oscilloscope, avec tous les réglages et commandes correspondant à la sonde. L'interface TekVPI permet la connexion directe des sondes de courant sans alimentation séparée. Les sondes TekVPI peuvent se commander à distance par interface USB ou via un réseau local (LAN), offrant ainsi des solutions polyvalentes pour les systèmes de test automatique. L'oscilloscope MSO Série 4 B offre jusqu'à 80 W de puissance pour les connecteurs de la face avant, une puissance suffisante pour alimenter toutes les sondes TekVPI connectées sans avoir besoin d'une alimentation complémentaire.
IsoVu™ : système de mesure isolé
Que ce soit pour concevoir un onduleur, optimiser une alimentation électrique, tester des voies de communication, effectuer des mesures sur une résistance shunt, déboguer des problèmes d'EMI ou d'ESD, ou encore tenter d'éliminer des boucles de terre dans votre installation de test, les ingénieurs ont souvent dû jusqu'à présent avancer en aveugle dans leurs tâches de conception, de débogage, d'évaluation et d'optimisation, du fait des interférences en mode commun.
La technologie révolutionnaire IsoVu de Tektronix utilise les communications optiques et l'alimentation par la fibre pour garantir une isolation galvanique totale. En la combinant au modèle MSO Série 4 B et à son interface TekVPI, vous obtenez le premier et unique système de mesure capable de résoudre avec précision les signaux différentiels à bande passante élevée, en présence de tensions de mode commun importantes, avec les caractéristiques suivantes :
- Isolation galvanique totale
- Bande passante jusqu'à 1 GHz
- Réjection de mode commun 1 million pour 1 (120 dB) à 100 MHz
- Réjection de mode commun 10 000 pour 1 (80 dB) en bande passante maximale
- Plage dynamique différentielle jusqu'à 2 500 V
- Plage de tension de mode commun 60 kV

Mesure de tension fenêtre côté alimentation avec IsoVu
L'image suivante montre une comparaison de la tension fenêtre côté alimentation pour une sonde différentielle standard et pour une sonde à isolation optique. Pour les deux, à l'état passant et bloqué, on constate des sur-oscillations haute fréquence sur la fenêtre après le franchissement de la région du seuil par la fenêtre du périphérique. En raison du couplage entre la fenêtre et la boucle d'alimentation, des sur-oscillations sont à prévoir. Cependant, dans le cas de la sonde différentielle, les sur-oscillations présentent une amplitude largement supérieure à celles mesurées par la sonde à isolation optique. Cela est probablement dû à la tension de référence changeante qui induit des courants de mode commun dans la sonde et un artefact d'une sonde différentielle standard. Si la forme d'onde mesurée par la sonde différentielle semble dépasser la tension de fenêtre maximale du périphérique, la mesure plus précise de la sonde à isolation optique montre clairement que le périphérique est conforme aux spécifications. Les concepteurs d'applications utilisant des sondes différentielles pour les mesures de tension de fenêtre doivent faire preuve de prudence, car il peut être impossible de distinguer la connexion et l'artefact du système de mesure montré ici d'une violation réelle des caractéristiques nominales du périphérique. Cet artefact de mesure peut pousser le concepteur à augmenter la résistance de la fenêtre afin de ralentir la transitoire de commutation et de réduire les sur-oscillations. Cependant, cela augmenterait de façon inutile les pertes dans le périphérique SiC. C'est pourquoi il est essentiel de disposer d'un système de mesure qui reflète de façon précise la dynamique réelle du périphérique, afin de concevoir le système de façon adaptée et d'optimiser les performances. 
Analyse complète pour des résultats rapides
Analyse de signaux de base
Pour vérifier que les performances de votre prototype sont conformes aux simulations et répondent aux objectifs de conception du projet, une analyse minutieuse est nécessaire, qui peut aller d'un simple contrôle des temps de montée et des largeurs d'impulsion à une analyse avancée des pertes de puissance, la caractérisation des horloges système et la recherche des sources de bruit.
Le modèle MSO Série 4 B propose une palette complète d'outils d'analyse standard, qui incluent :
- Des curseurs à l'écran et sur les signaux
- 36 mesures automatisées : les résultats de mesure incluent toutes les instances dans l'enregistrement, la possibilité de naviguer d'une occurrence à la suivante et une visualisation immédiate du résultat minimum ou maximum trouvé dans l'enregistrement
- Un signal mathématique de base
- Une analyse FFT de base
- Une fonction de signal mathématique avancée, comprenant la modification des équations arbitraires avec des filtres et des variables
- Vue Spectre, analyse du domaine de fréquences avec commandes indépendantes pour les domaines temporel et de fréquence
- La mémoire segmentée de FastFrame™ vous permet d'optimiser l'utilisation de la mémoire d'acquisition de l'oscilloscope en capturant plusieurs événements de déclenchement dans un seul enregistrement tout en éliminant les larges intervalles de temps entre les événements intéressants. Visualisez et mesurez les segments individuellement ou superposés.
Les mesures d'amplitude et de temps standard annotent l'affichage du signal avec barres et des marqueurs visuels pour indiquer les informations correspondantes. Les tableaux de résultats de mesure fournissent des vues statistiques complètes sur les résultats, pour l'acquisition en cours comme pour l'ensemble des acquisitions.

Légendes
- Remarque : permet de saisir et de positionner une zone de texte sur l'écran.
- Flèche : permet de saisir et de positionner une zone de texte, puis d'ajouter une flèche vers un emplacement spécifique à l'écran.
- Rectangle : permet d'écrire du texte et de définir une zone spécifique à l'écran indiquée par une fenêtre redimensionnable.
- Signet : permet de créer un affichage dynamique à une heure spécifique correspondant à un point de déclenchement. Cet affichage inclut du texte, l'amplitude du signal, les unités du signal, ainsi qu'une ligne et une cible indiquant le point de référence du signet.
La documentation des résultats et des méthodes de test est essentielle lorsqu'il s'agit de partager des données au sein d'une équipe, de recréer une mesure à une date ultérieure ou de fournir un rapport au client. En quelques clics tactiles sur l'écran, vous pouvez créer autant de légendes personnalisées que nécessaire, ce qui vous permet de documenter les détails spécifiques de vos résultats de test. Vous pouvez personnaliser le texte, l'emplacement, la couleur, la taille de la police et la police de chaque légende.

Navigation et recherche
La détection d'un événement digne d'intérêt sur un long enregistrement de signal peut prendre du temps si vous ne disposez pas des bons outils de recherche. Comme les longueurs d'enregistrement actuelles dépassent le million de points de données, la localisation de votre événement peut consister à faire défiler des milliers d'écrans d'activité de signal.
L'oscilloscope MSO Série 4 B offre les fonctionnalités de navigation et de recherche les plus complètes du marché, avec les nouvelles commandes Wave Inspector®. Ces commandes accélèrent le déplacement et l'agrandissement de votre enregistrement. Au moyen d'un système unique d'angle de rotation, vous passez d'une extrémité de votre enregistrement à l'autre en quelques secondes seulement. Vous pouvez également utiliser la fonction tactile intuitive Glisser et Rapprocher/Agrandir pour examiner les zones qui vous intéressent dans un enregistrement long.
La fonction Search (Recherche) vous permet de rechercher automatiquement des événements définis par l'utilisateur sur l'ensemble d'une longue acquisition. Toutes les occurrences d'un événement sont signalées par des marques de recherche et sont facilement accessibles à l'aide des boutons Précédent (←) et Suivant (→) situés sur la face avant ou via la vignette Search (Recherche) sur l'écran. Les types de recherche incluent : front, largeur de pulse, temps de maintien, runt, fenêtre, logique, setup et hold, temps de descente/de montée et contenu de paquet de bus parallèle/série. Vous pouvez créer autant de recherches individuelles que vous le souhaitez.
Vous pouvez également accéder rapidement à la valeur minimum ou maximum des résultats de recherche, en utilisant les boutons Min et Max de la vignette Search (Recherche).

Masque et test des valeurs limites (en option)
Que vous vous concentriez sur l'intégrité du signal ou sur la mise en place de conditions de réussite ou d'échec pour la production, le test de masque est un outil efficace pour caractériser le comportement de certains signaux dans un système. Créez rapidement des masques personnalisés en dessinant des segments de masque à l'écran. Adaptez un test à vos besoins spécifiques et définissez les mesures à prendre lorsqu'un coup de masque est enregistré, ou lorsqu'un test complet est réussi ou a échoué.
Le test des valeurs limites est un moyen intelligent de surveiller le comportement à long terme des signaux, vous aidant à caractériser une nouvelle conception ou à confirmer les performances du matériel lors des tests des lignes de production. Les tests des valeurs limites comparent votre signal actif à une version idéale ou de « référence » de ce même signal, avec des tolérances verticales et horizontales définies par l'utilisateur.
Vous pouvez facilement adapter un test de masque ou de valeurs limites à vos besoins spécifiques en
- attribuant une durée à plusieurs signaux limite
- en définissant un seuil de violation qui indiquera si le test a échoué
- en comptant les violations/échecs et en reportant les informations statistiques
- en définissant des actions en cas de violations, d'échec ou de réussite du test

Analyse et décodage de protocole (en option)
Lors des opérations de débogage, il peut être très utile de suivre le flux d'activité sur l'ensemble d'un système, en observant le trafic au niveau d'un ou de plusieurs bus série. Si plusieurs minutes peuvent être nécessaires pour décoder manuellement un paquet série unique, imaginez le temps qu'il faudrait pour les milliers de paquets d'une longue acquisition ?
De plus, en sachant que l'événement qui vous intéresse et que vous tentez de capturer a lieu lors de l'envoi d'une commande donnée sur un bus série, ne souhaiteriez-vous pas pouvoir effectuer le déclenchement sur cet événement ? Malheureusement, cela n'est pas aussi simple qu'un déclenchement spécifié sur un front ou une largeur d'impulsion.

L'oscilloscope MSO Séries 4 B offre une solide palette d'outils pour travailler sur les bus série les plus couramment utilisés dans les systèmes embarqués : I2C, SPI, eSPI, I3C, RS-232/422/485/UART, SPMI, SMBus, CAN, CAN FD, LIN, FlexRay, SENT, PSI5, CXPI, USB LS/FS/HS, eUSB2.0, Ethernet 10/100, EtherCAT, Audio (I2S/LJ/RJ/TDM), MIL-STD-1553, ARINC 429, Spacewire, NRZ, Manchester, SVID, SDLC, 1 fil, MDIO et NFC.
La recherche de protocole vous permet d'effectuer une recherche au sein d'une longue acquisition de paquets série, afin de trouver ceux présentant le contenu que vous avez spécifié. Chaque occurrence est mise en évidence par un marqueur de recherche. Pour naviguer rapidement entre les marqueurs, il vous suffit d'appuyer sur les boutons Précédent ( ← ) et Suivant ( → ) situés sur la face avant ou via la vignette Search (Recherche) de la barre Results (Résultats).
Les outils décrits pour les bus série fonctionnent également avec les bus parallèles. La prise en charge des bus parallèles est proposée de série sur l'instrument. Les bus parallèles peuvent aller jusqu'à 48 bits de largeur et inclure une combinaison de voies analogiques et numériques.
- Le déclenchement sur protocole série vous permet d'effectuer le déclenchement sur la base d'un contenu de paquet spécifique, par exemple le début du paquet, des adresses spécifiques, un contenu de données spécifique, des identifiants uniques et des erreurs.
- Les signaux de bus offrent une vue combinée de haut niveau pour les signaux individuels (horloge, données, autorisation du circuit, etc.) qui composent votre bus, facilitant ainsi l'identification du début et de la fin des paquets et celle des sous-paquets, comme l'adresse, les données, l'identificateur, le contrôle de redondance cyclique, etc.
- Le signal de bus est aligné temporellement sur tous les autres signaux affichés, permettant de mesurer facilement la relation de synchronisation entre les différentes parties du système testé.
- Les tableaux de décodage de bus offrent une vue tabulaire de l'ensemble des paquets décodés sur une acquisition, assez similaire à un listing logiciel. Les paquets sont horodatés et répertoriés consécutivement dans des colonnes pour chaque composant (adresse, données, etc.).
Décodage et analyse NFC (en option)
Il est souvent difficile d'évaluer les marges de performances des conceptions NFC, en raison de l'incapacité à représenter le résultat au niveau du protocole jusqu'au niveau du signal paramétrique. Cela signifie que des passages marginaux peuvent entraîner des défaillances plus tard dans le flux de test, en particulier lorsque les conceptions sont sujettes aux problèmes d'interférences et d'intégrité du signal provoqués par des compromis en matière de conception ou des appareils électroniques à proximité. Cela nécessite alors un débogage chronophage de plusieurs instruments tels qu'un analyseur de protocole et un analyseur de signal RF.
L'option Décodage et recherche de protocole NFC sur le MSO Série 4 B permet aux utilisateurs d'afficher la transaction de la liaison NFC et de suivre le résultat à chaque étape de la manipulation du signal en standard, du niveau du protocole jusqu'au niveau signal fondamental, afin de comprendre exactement les performances offertes par votre puce, balise, lecteur ou périphérique mobile NCF.
Les transactions NFC peuvent être longues. L'option logicielle utilise de façon unique les données provenant du DDC matériel utilisé pour l'affichage du spectre, ce qui permet de réduire le temps de transfert d'économiser de la mémoire, et ainsi de capturer et analyser des centaines de millisecondes ou même de secondes de données du signal.
En outre, étant donné que les signaux I/O ne sont pas toujours disponibles pour le sondage et le déclenchement depuis l'appareil testé, le déclenchement sur l'enveloppe RF elle-même est également difficile, en raison du petit indice de modulation du NFC. La vue Spectre vous permet de déclencher sur l'enveloppe 13,56 MHz avec des représentations RF/temps et des déclencheurs, ce qui est aussi une fonction présente uniquement sur cet instrument.
Cette capacité simplifie la validation immédiate de la conception et offre également un outil de débogage puissant dans un instrument unique en cas de défaillance.

Vue Spectre
Il est souvent plus facile de déboguer un problème en affichant un ou plusieurs signaux dans le domaine de fréquences. Les oscilloscopes intègrent depuis des décennies des FFT mathématiques, dans le but de répondre à ce besoin précis. Cependant, les FFT sont reconnues être difficiles à utiliser pour deux raisons principales.
D'abord, lorsque vous effectuez des analyses de domaine de fréquences, vous pensez aux commandes, telles que la fréquence centrale, la plage et la bande passante de résolution (RBW) comme vous les trouveriez normalement sur un analyseur de spectre. Vous utilisez alors une FFT, là où vous êtes bloqué par des commandes habituelle d'oscilloscope, comme la fréquence d'échantillonnage, la longueur d'enregistrement et la plage de temps/division, et vous devez effectuer toutes les translations mentales pour essayer d'obtenir la vue que vous recherchez dans le domaine de fréquence.
Cependant, les FFT (transformées de Fourier) sont prises en charge par le même système d'acquisition que celui chargé de délivrer la vue de domaine temps analogique. Lorsque vous optimisez les paramètres d'acquisition pour la vue analogique, la vue du domaine temps n'est alors plus celle que vous souhaiteriez. A l'inverse, si la vue du domaine temps est correcte, votre vue analogique ne l'est plus. Avec des FFT basées sur une fonction mathématique, il est donc quasi impossible d'obtenir une vue optimisée dans les deux domaines.
La vue Spectre résout ce problème. La technologie brevetée de Tektronix offre un décimateur pour le domaine temps et un convertisseur-abaisseur numérique (DDC) pour le domaine de fréquences, derrière chaque FlexChannel. Les deux chemins d'acquisition vous permettent d'observer simultanément la vue du domaine temps et la vue du domaine de fréquences pour le signal d'entrée, avec des paramètres d'acquisition indépendants pour chaque domaine. Les autres fabricants proposent diverses offres d'« analyse spectrale » qui se targuent d'être simples d'utilisation, mais qui en réalité présentent les limitations décrites précédemment. Seule la vue Spectre offre à la fois une simplicité d'utilisation exceptionnelle et la capacité de proposer simultanément une vue optimale de chacun des domaines.
Traditionnellement, pour effectuer des mesures RF telles que la puissance de voie RF (CHP), le rapport ACLR (Adjacent Channel Leakage Ratio - rapport de fuite de voie adjacente) et la bande passante occupée (OBW), un analyseur de spectre ou de signal dédié ou un logiciel analyseur de spectre était nécessaire. Ce matériel ou logiciel supplémentaire entraîne une augmentation des coûts et de la complexité. Disponibles de série avec vue Spectre, les mesures RF intégrées sur chaque voie permettent aux utilisateurs de gagner du temps, de la place, et de faire des économies, tout en ayant la possibilité de valider l'émetteur RF CHP, ACPR et OBW directement sur l'oscilloscope.
En outre, le DDC réduit considérablement la fréquence d'échantillonnage requise pour résoudre un signal par rapport à un FFT conventionnel, car cela devient une fonction de la plage plutôt qu'une fréquence centrale. Cela permet de réduire la taille des fichiers, d'améliorer la résolution de fréquence, d'augmenter les fréquences de mise à jour du spectre, et ainsi d'obtenir une solution plus réactive et plus précise capable de capturer des dizaines de secondes de données du spectre.


Visualisation des variations du signal RF (en option)
Les traces de domaine temporel RF facilitent la compréhension de ce qui se produit avec un signal RF variable. Il existe trois représentations RF provenant des données I et Q sous-jacentes de la vue Spectre :
- L'amplitude : l'amplitude instantanée du spectre par rapport au temps.
- La fréquence : la fréquence instantanée du spectre, relative à la fréquence centrale par rapport au temps.
- La phase : la phase instantanée du spectre, relative à la fréquence centrale par rapport au temps
Il est possible d'activer/désactiver indépendamment chaque représentation et d'afficher les trois simultanément.
Les données sont stockées sous la forme d'échantillons I&Q (en phase et quadrature), et une synchronisation précise est maintenue entre les données du domaine temps et les données I&Q.
Lorsque les représentations RF/temps sont activées, les données I&Q peuvent être capturées et exportées vers le fichier pour une analyse plus poussée dans des applications tierces.
Avec la fréquence sur l'axe X, le temps sur l'axe Y et le niveau de puissance indiqué par des variations de couleur, l'affichage du spectrogramme (inclus avec l'option RFVT) permet de mieux comprendre les changements d'amplitude du signal et le contenu de fréquence au fil du temps, en vous permettant de voir où et quand se produisent les changements d'activité spectrale. Cela en fait l'outil idéal pour afficher le tendances des données spectrales, comme lors du diagnostic de signaux parasites complexes, de sauts de fréquence, multi-voie et dynamiques.
Le spectrogramme offre les avantages suivants :
- Capacité de voir la totalité de l'activité du spectre sur une plage données, et acquisition immédiate, sans devoir spécifier la superposition FTT ou le temps de spectre ;
- Comparaison rapide du spectre à différents moments grâce à des curseurs dépendants du temps et jusqu'à trois représentations de spectre superposées ;
- Zoom par pincement sur les activités spectrales qui vous intéressent avec une résolution d'affichage et une superposition FFT optimisées automatiquement ;
- Ajustement de la fréquence centrale, de la plage, de la RBW et de l'amplitude de la gamme de couleur selon vos besoins pour afficher tous les signaux qui vous intéressent ;
- Affichage simultané des tendances sur un spectre multi-voie ou contigu en activant des spectrogrammes sur chaque voie disponible de l'oscilloscope et en définissant indépendamment la fréquence centrale et la mise à l'échelle de l'amplitude.


Déclenchement sur des variations dans le signal RF (en option)
Que vous ayez besoin de trouver la source d'interférence électromagnétique ou de comprendre le comportement d'un oscillateur commandé par tension (VCO), les déclenchements matériels pour les RF/Temps permettent d'isoler, de capturer et de comprendre facilement le comportement du signal RF. Déclenchement sur le front, les largeurs d'impulsion et comportement du délai d'attente de l'amplitude RF par rapport au temps et fréquence RF par rapport au temps.
Analyse de puissance (option)
L'oscilloscope MSO Série 4 B intègre également le package facultatif d'analyse de puissance dans le système de mesure automatique de l'oscilloscope pour permettre une analyse rapide et répétable de la mesure qualité de la puissance, de la capacité d'entrée, du courant de démarrage, des harmoniques, de la perte de commutation, de la zone de fonctionnement sûr, de la modulation, de l'ondulation, des mesures efficaces de l'amplitude et de la synchronisation, ainsi que de la vitesse de montée (dv/dt et di/dt).
L'automatisation des mesures optimise la qualité et la répétabilité de ces dernières sur simple pression d'un bouton, sans avoir besoin d'un ordinateur externe ou de configurer un logiciel complexe.
Le logiciel d'analyse de puissance avancé (en option) fournit toutes les mesures données par le logiciel d'analyse de puissance ainsi que les mesures magnétiques, le diagramme de Bode de la réponse de boucle de commande et le taux de réjection de l'alimentation (PSRR). Consultez la section « Informations commerciales » pour obtenir plus d'informations.

Analyse électrique triphasée (en option)

Les mesures et l'analyse des systèmes d'alimentation triphasés sont par nature plus complexes que celles des systèmes monophasés. Bien que les oscilloscopes puissent capturer des signaux de tension et de courant à des fréquences d'échantillonnage élevées, des calculs supplémentaires sont nécessaires pour générer des mesures de puissance clés à partir des données. La solution triphasée basée sur un oscilloscope capture les signaux de tension et de courant triphasés à des fréquences d'échantillonnage plus élevées et avec des longueurs d'enregistrement plus élevée, grâce au mode d'acquisition HiRes jusqu'à 16 bits. En outre, la solution triphasée génère les résultats clés du test d'alimentation grâce à des mesures automatisées. Les convertisseurs de puissance basés sur la Modulation de largeur d'impulsion (MLI) peuvent compliquer les mesures, car il est très important d'extraire des croisements du zéro précis pour les signaux MLI. Il est donc recommandé aux concepteurs d'utiliser un oscilloscope comme outil de test pour la validation et le dépannage.
Ce logiciel est conçu spécifiquement pour automatiser l'analyse de puissance qui simplifie les mesures de puissance triphasée importantes sur les systèmes MLI, et permet aux ingénieurs de comprendre plus rapidement leurs conceptions. La solution d'analyse triphasée de Tektronix permet aux ingénieurs de concevoir des systèmes triphasés plus performants, et de tirer pleinement parti de l'interface utilisateur avancée, de six voies d'entrée analogiques et du mode « Haute rés. » (16 bits) de l'instrument. Cette solution offre des résultats rapides, précis et répétables pour les mesures électriques prises en charge. Elle peut également être configurée pour mesurer la tension CD sur les convertisseurs AC triphasés, tels que ceux utilisés dans les véhicules électriques.

Fonctions principales et spécifications :
- Analyse précise des signaux MLI triphasés ;
- Diagrammes de phaseur basés sur l'oscilloscope uniques indiquant les relations entre Vrms, IRMS, VMAG, IMAG et la phase en un coup d'œil pour les paires de câblage configurées ;
- Débogage des conceptions triphasées en affichant la tension d'entrée/sortie du lecteur et les signaux de courant dans le domaine temps en même temps que le diagramme de phaseur ;
- La fonction de réglage automatique triphasée configure l'oscilloscope pour obtenir des paramètres horizontal, vertical, de déclenchement et d'acquisition optimaux pour l'acquisition de signaux triphasés ;
- Mesure d'harmoniques triphasées conformément à la norme IEEE-519 ou selon des limites personnalisées ;
- Ajout et configuration rapides des mesures depuis l'interface avec glisser-déposer intuitive sur le MSO Série 4 B ;
- Analyse de conceptions triphasées d'inverseur et automobiles pour la topologie DC-AC ;
- Affichage du signal de qualificateur de front filtré par MLI pendant l'analyse ;
- Affichage des résultats de test par enregistrement ou par mode de cycle pendant l'analyse pour des mesures spécifiques ;
- Prise en charge des tracés de Tendance temporelle et de Tendance d'acquisition pour des mesures spécifiques ;
- Prise en charge de la conversion mathématique de Ligne-à-ligne vers Ligne-à-neutre pour des câblages spécifiques.
Présentation des mesures
L'analyse triphasée sur le MSO Série 4 B automatise les mesures électriques clés, qui sont regroupées en trois catégories :
- Analyse d'entrée
- Analyse de sortie
- Analyse d'ondulation
Chaque section inclut des mesures clés, essentielles pour les applications triphasées.
Test d'impulsions doubles à large bande interdite (en option)
L'application Test d'impulsions doubles à large bande interdite offre des mesures de large bande interdite précises qui facilitent l'utilisation du périphérique et la validation de système. Elle permet de tester des périphériques SiC ou GaN, mais aussi Si MOSFET et IGBT. L'application est compatible avec toutes les sondes VPI de Tektronix, et lorsqu'elle est utilisée avec les sondes IsoVu™ de Tektronix, elle permet de découvrir tous les artefacts cachés des périphériques SiC ou GaN au niveau du circuit. L'application offre des mesures automatisées conformes au normes JEDEC et CEI. Elle offre des fonctionnalités uniques, telles que l'analyse par cycle avec annotation, une flexibilité avec des paramètres personnalisés au niveau de référence, des points d'intégration configurables et une présélection de l'alimentation qui peut être définie en fonction des conceptions de l'équipement (appareil) testé.
Les mesures suivantes sont effectuées :
- Paramètres de commutation côté bas et mesures de rétablissement inversé de diode côté haut
- Paramètres de commutation côté bas et côté haut

Conçu pour répondre à vos besoins
Connectivité
L'oscilloscope MSO Série 4 B est doté de divers ports que vous pouvez utiliser pour connecter l'instrument à un réseau, directement à un PC ou à un autre appareil de test.
- Trois ports USB 2.0 à l'avant et trois ports USB 2.0 Hôte supplémentaires situés à l'arrière facilitent le transfert des captures d'écran, des réglages de l'instrument et des données des signaux vers un périphérique de stockage USB. Vous pouvez également brancher une souris et un clavier sur les ports USB hôte, pour la saisie de données et le contrôle de l'instrument.
- Le port USB du panneau arrière est utile pour contrôler l'oscilloscope à distance depuis un PC.
- Le port Ethernet standard 10/100/1000BASE-T arrière, compatible LXI Core 2011, permet de connecter facilement l'instrument à des réseaux.
- Le port HDMI situé à l'arrière de l'instrument vous permettent de dupliquer l'affichage de l'instrument sur un écran ou un projecteur externe avec une résolution de 1 920 x 1 080.
Fonctionnement à distance pour améliorer la collaboration
Vous souhaitez collaborer avec une équipe de conception travaillant à l'autre bout du monde ?
Il vous suffit de saisir l'adresse IP ou le nom de l'oscilloscope sur le réseau et une page Web s'ouvre dans le navigateur. Vous contrôlez ensuite l'oscilloscope à distance, de la même manière qu'en direct, via l'écran tactile intégré.
L'interface de protocole standard TekVISA™ est intégrée, vous permettant d'utiliser et d'améliorer les applications Windows d'analyse des données et de documentation. Les pilotes d'instrumentation IVI-COM sont également inclus pour faciliter la communication avec l'oscilloscope via un réseau local ou des connexions USBTMC, depuis un PC externe.
Analyse basée sur un PC et connexion à distance à votre oscilloscope
Bénéficiez de la capacité d'analyse d'un oscilloscope primé sur votre PC. Analysez les formes d'onde partout, à tout moment. La licence de base permet d'afficher et d'analyser les formes d'onde, d'effectuer de nombreux types de mesures et de décoder les bus série les plus courant, le tout en accédant à votre oscilloscope à distance. Les options de licence avancée ajoutent des capacités supplémentaires, telles que l'analyse sur plusieurs oscilloscopes, des options supplémentaires de décodage des bus série, et des mesures de puissance.

Les principales fonctionnalités du logiciel d'analyse PC TekScope comprennent :
- Les sessions de rappel de l'oscilloscope Tektronix et les fichiers de forme d'onde des équipements fabriqués par Tektronix et d'autres fournisseurs ;
- Les formats de fichier des signaux pris en charge incluent .wfm, .isf, .csv, .h5, .tr0, .trc, et .bin ;
- Connexion à distance aux MSO Séries 4/5/6 de Tektronix pour une acquisition des données en temps réel ;
- Le partage de données à distance avec vos collègues pour leur permettre d'effectuer une analyse et des mesures comme s'ils se trouvaient devant l'oscilloscope ;
- La synchronisation des signaux de plusieurs oscilloscopes en temps réel ;
- La réalisation d'une analyse avancée même si votre oscilloscope n'est pas équipé du logiciel d'analyse PC TekScope.
Espace de travail de test et de mesure collaboratif TekDrive
Grâce à TekDrive, chargez, stockez, organisez, recherchez, téléchargez et partagez le type de fichier que vous souhaitez à partir de tout périphérique connecté. TekDrive est intégré en natif dans l'instrument pour un partage et un rappel fluides des fichiers. Aucune clé USB n'est requise. Analysez et explorez les fichiers standard tels que .wfm, .isf, .tss et .csv directement dans un navigateur, avec des visionneuses de signal interactives et fluides. TekDrive est conçu spécialement pour l'intégration, l'automatisation et la sécurité.

Générateur de fonctions arbitraires (AFG)
Cet instrument comprend un générateur de fonctions arbitraires intégré en option, parfait pour simuler les signaux de capteurs dans une étude ou ajouter du bruit aux signaux afin d'effectuer des tests aux limites. Ce générateur crée des signaux prédéfinis jusqu'à 50 MHz ayant les formes suivantes : Sinus, Carré, Impulsion, Rampe/triangle, DC, Bruit, Sin(x)/x (Sinc), Gaussien, Lorentz, Montée/descente exponentielle, Demi-sinus verse et Cardiaque. Le générateur AFG peut charger des enregistrements de signal jusqu'à 128 000 points à partir d'un emplacement interne ou d'un périphérique USB de stockage de masse.
La fonction AFG est compatible avec le logiciel sur PC de création et de modification des signaux Tektronix ArbExpress, qui accélère et facilite la création de signaux complexes.
Voltmètre numérique (DVM) et compteur de fréquences de déclenchement
Cet instrument comprend un voltmètre numérique (DVM) intégré à 4 chiffres et un compteur de fréquences de déclenchement à 8 chiffres. Toutes les entrées analogiques peuvent être la source du voltmètre avec les sondes déjà montées, pour une utilisation de l'oscilloscope en mode général. Le compteur de fréquences de déclenchement offre une mesure très précise de la fréquence de l'événement sur lequel le déclenchement est effectué.
Le voltmètre et le compteur de fréquences de déclenchement sont tous deux disponibles gratuitement et activés lorsque vous enregistrez votre instrument.
Une aide lorsque vous en avez besoin
L'instrument inclut diverses ressources utiles qui vous aideront à répondre rapidement aux questions que vous vous posez, sans avoir à consulter un manuel ou un site Web :
- Des images et des textes explicatifs sont utilisés dans de nombreux menus pour présenter rapidement les fonctionnalités.
- Tous les menus contiennent une icône en forme de point d'interrogation, en haut à droite de la fenêtre, qui vous permet d'accéder directement à la section correspondante dans l'aide système intégrée.
- Un court manuel de démonstration sur l'interface utilisateur est inclus dans le menu d'aide, pour aider les nouveaux utilisateurs à se familiariser en quelques minutes avec l'instrument.

Caractéristiques
Toutes les caractéristiques sont garanties et s'appliquent à tous les modèles, sauf indication contraire.
Présentation du modèle
| Modèle à 4 voies | Modèle à 6 voies | ||
|---|---|---|---|
| Entrées FlexChannel | 4 | 6 | |
| Nombre maximum de voies analogiques | 4 | 6 | |
| Nombre maximum de voies numériques (avec sondes logiques en option) | 32 | 48 | |
| Entrée de déclenchement auxiliaire | ≤300 V eff (Déclenchement sur front uniquement) | ||
| Bande passante (temps de montée calculé) | 200 MHz, 350 MHz, 500 MHz, 1 GHz, 1,5 GHz | ||
| Précision du gain DC | 50 Ω : ±1,0 %, (réglages ±2,5 % à 1 mV/Div et 500 µV/Div), déclassement à 0,100 %/°C au dessus de 30 °C | ||
| 1 MΩ et 250 kΩ: ±1,0 %, (réglages ± 2,0 % à 1 mV/Div et 500 µV/Div), déclassement à 0,100 %/°C au dessus de 30 °C | |||
| Résolution ADC | 12 bits | ||
| Résolution verticale | 8 bits à 6,25 G éch./s | ||
| 12 bits à 3,125 G éch./s | |||
| 13 bits à 1,25 G éch./s (haute rés.) | |||
| 14 bits à 625 M éch./s (haute rés.) | |||
| 15 bits à 250 M éch./s (haute rés.) | |||
| 16 bits à ≤125 M éch./s (haute rés.) | |||
| Fréquence d'échantillonnage | 6,25 G éch./s sur toutes les voies analogiques/numériques (résolution de 160 ps) | ||
| Longueur d'enregistrement (standard) | 31,25 millions de points sur toutes les voies analogiques/numériques | ||
| Longueur d'enregistrement (en option) | 62,5 millions de points sur toutes les voies analogiques/numériques | ||
| Taux de capture du signal, typique | > 500 000 signaux/s | ||
| Générateur de fonctions arbitraires (en option) | 13 types de signal prédéfinis avec une sortie jusqu'à 50 MHz | ||
| Voltmètre numérique (DVM) | DVM à 4 chiffres (gratuit avec l'enregistrement du produit) | ||
| Compteur de fréquence de déclenchement | Compteur de fréquences à 8 digits (gratuit avec l'enregistrement du produit) | ||
Système vertical
- Sélections de bandes passantes
50 Ω : 20 MHz, 250 MHz et la valeur de la bande passante totale de votre modèle
1 MHz, 20 MHz, 250 MHz, 500 MHz
- Couplage d'entrée
- DC, AC
- Impédance d'entrée
- 50 Ω ± 1 %
- 1 MΩ ± 1 % avec 13,0 pF ± 1,5 pF
- Plage de sensibilité d'entrée
- 1 MΩ
- 500 µV/div à 10 V/div, dans une séquence 1-2-5
- 50 Ω
- 500 µV/div à 1 V/div dans une séquence 1-2-5
- 500 μV/div correspond à 2 fois le zoom numérique de 1 mV/div ou à 4 fois le zoom numérique de 2 mV/div, suivant la configuration de la bande passante de l'instrument
- Tension d'entrée maximum
- 50 Ω : 5 Vefficace, avec crêtes ≤ ± 20 V (rapport cyclique ≤ 6,25 %)
- 1 MΩ : 300 Vrms
- Déclassement de 20 dB/décade entre 4,5 MHz et 45 MHz ; déclassement de 14 dB entre 45 MHz et 450 MHz. Au-delà de 450 MHz, 5,5 Vrms
- Nombre de bits effectifs (ENOB), standard
- Mode Haute résolution, 50 Ω, entrée 10 MHz avec plein écran à 90 %
Bande passante ENOB 1,5 GHz 7,1 1 GHz 7,6 500 MHz 7,9 350 MHz 8,2 250 MHz 8,2 20 MHz 8,9
- Bruit aléatoire, efficace, standard
- Tous les modèles sauf 1,5 GHz, mode Haute résolution (efficace), 50 Ω, standard
V/div 1 GHz 500 MHz 350 MHz 250/200 MHz 20 MHz 1 mV/div 280 μV 210 μV 150 μV 125 μV 75 μV 2 mV/div 280 μV 210 μV 150 μV 125 μV 75 μV 5 mV/div 300 μV 230 μV 185 μV 135 μV 75 μV 10 mV/div 330 μV 260 μV 220 μV 160 μV 80 μV 20 mV/div 420 μV 350 μV 270 μV 230 μV 110 μV 50 mV/div 800 μV 780 μV 570 μV 460 μV 200 μV 100 mV/div 1,65 mV 1,29 mV 1,04 mV 1,04 mV 480 μV 1 V/div 13,0 mV 10,0 mV 8,95 mV 8,95 mV 3,78 mV - Tous les modèles, mode Haute résolution (efficace), 1 MΩ, standard
V/div 500 MHz 350 MHz 250/200 MHz 20 MHz 1 mV/div 200 μV 150 μV 120 μV 70 μV 2 mV/div 210 μV 150 μV 120 μV 70 μV 5 mV/div 220 μV 160 μV 130 μV 70 μV 10 mV/div 230 μV 170 μV 150 μV 75 μV 20 mV/div 300 μV 230 μV 220 μV 100 μV 50 mV/div 550 μV 450 μV 450 μV 200 μV 100 mV/div 1,35 mV 1,00 mV 1,03 mV 480 μV 1 V/div 15,0 mV 11,5 mV 11,5 mV 5,80 mV
- Plage de positions
- ± 5 divisions
- Précision de décalage
- ± (0,010 X | décalage - position | + équilibre DC)
- Equilibre DC de 0,2 div (0,4 div en 500 μV/div)
- Diaphonie (isolement des voies), standard
- ≥ 200:1 jusqu'à la bande passante nominale, sur deux voies à réglage Volts/div équivalent
Système vertical - Voies numériques
- Nombre de voies
- 8 entrées numériques (D7-D0) par sonde TLP058 installée (échange contre une voie analogique)
- Résolution verticale
- 1 bit
- Largeur d'impulsion minimum détectable, standard
- 1 ns
- Seuils
- Un seuil par voie numérique
- Plage de seuil
- ±40 V
- Résolution de seuil
- 10 mV
- Précision du seuil
± [100 mV + 3 % de la définition du seuil après étalonnage]
- Hystérésis d'entrée, standard
- 100 mV à l'extrémité de la sonde
- Plage dynamique d'entrée, standard
- 30 Vpp pour Fin ≤ 200 MHz, 10 Vpp pour Fin > 200 MHz
- Tension d'entrée maximum absolue, standard
- ±42 V crête
- Commutation de tension minimum, standard
- 400 mV crête-à-crête
- Impédance d'entrée, standard
- 100 kΩ
- Charge de la sonde, standard
- 2 pF
Système horizontal
- Plage de la base de temps
- 20 ps/div à 1 000 s/div
- Plage de fréquences d'échantillonnage
- 1,5625 éch./s à 6,25 Géch./s (temps réel)
- 12,5 Géch./s à 500 Géch./s (interpolé)
- Plage de longueurs d'enregistrement
- Standard
- De 1 000 points à 31,25 millions de points sur des incréments d'échantillonnage simples
- Facultatif
- 62,5 millions de points
- Imprécision d'ouverture
- ≤ 0,450 ps + (10-11 * durée de la mesure)eff, pour les mesures dont la durée est ≤ 100 ms
- Précision de la base de temps
- ± 2,5 x 10-6 au-delà de tout intervalle de temps ≥1 ms
Description Spécification Tolérance d'usine ±5,0 x10-7 ; à l'étalonnage, 25 °C en température ambiante, pour tout intervalle ≥1 ms Stabilité thermique, standard ±5,0 x10-7 ; testé à la température de fonctionnement Vieillissement des cristaux ±1,5 x 10-6 ; la tolérance de fréquence change à 25 °C sur une période d'un an
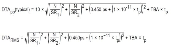
- Précision de la mesure de l'écart de temps, nominal

(en supposant la forme de front résultant de la réponse du filtre gaussien)
La formule pour calculer la précision de la mesure de temps Delta (DTA) pour la configuration et le signal d'entrée d'un instrument donné est disponible ci-dessous en supposant un signal insignifiant au dessus de la fréquence de Nyquist :
SR1 = vitesse de montée (1er front) à proximité du 1er point pour la mesure
SR2 = vitesse de montée (2nd front) à proximité du 2nd point pour la mesure
N = limite de bruit garantie référencée à l'entrée (Vefficace)
TBA = précision de la base de temps ou erreur de la fréquence de référence
t p = durée de mesure de l'écart de temps (sec)
- Durée maximum à la fréquence d'échantillonnage la plus élevée
- 5 ms (standard) ou 10 ms (en option)
- Plage de retard de la base de temps
- -10 divisions à 5 000 s
- Plage de compensation
- -125 ns à +125 ns avec une résolution de 40 ps (pour les modes d'acquisition Détection de crête et Enveloppe). -125 ns à +125 ns avec une résolution de 1 ps (pour tous les autres modes d'acquisition).
- Retard entre les voies analogiques, pleine bande passante, standard
≤ 100 ps pour deux voies, quelles qu'elles soient, avec impédance d'entrée définie sur 50 Ω, couplage DC avec valeur Volts/div équivalente ou supérieure à 10 mV/div
- Retard entre des voies numériques et analogiques FlexChannels, standard
- 3 ns lors de l'utilisation d'un TLP058 et d'une sonde passive correspondant à la bande passante de l'oscilloscope, sans limites de bande passante appliquées
- Retard entre deux voies numériques FlexChannels, standard
- 3 ns de bit 0 d'un FlexChannel à bit 0 de tout autre FlexChannel
- Retard entre deux bits de voie numérique FlexChannel, standard
- 160 ps
Système de déclenchement
- Modes de déclenchement
- Auto, Normal et Simple
- Couplage du déclenchement
DC, réjection HF (atténue les signaux >50 kHz), réjection BF (atténue les signaux <50 kHz) et réjection de bruit (réduit la sensibilité)
- Plage d'inhibition du déclenchement
- 0 ns à 20 secondes
- Sensibilité de déclenchement sur front, couplé DC, standard
Chemin Plage Spécification Chemin 1 MΩ (tous les modèles) 0,5 mV/div à 0,99 mV/div 4,5 div de DC à la bande passante de l'instrument ≥ 1 mV/div Valeur la plus élevée entre 5 mV ou 0,7 div Chemin 50 Ω, tous les modèles Valeur la plus élevée entre 5,6 mV ou 0,7 div pour les fréquences entre DC et 500 MHz ou la bande passante de l'instrument (valeur la plus basse) Valeur la plus élevée entre 7 mV ou 0,8 div pour les fréquences supérieures à 500 MHz (le cas échéant)
- Gigue de déclenchement, standard
- ≤ 7 pseff pour le mode échantillonnage et un déclenchement sur front
- Plages des niveaux de déclenchement
- Cette spécification s'applique aux seuils logique et impulsion.
Source Plage Toute voie ±5 div du centre de l'écran Entrée déclenchement auxiliaire, standard ±8 V Ligne Fixe à environ 50 % de la tension de ligne
- Types de déclenchement
- Front :
- Pente positive, négative ou indifférente sur n'importe quelle voie. Le couplage inclut DC, AC, réjection du bruit, réjection HF et réjection BF.
- Largeur d'impulsion :
Déclenchement possible sur la largeur d'impulsions positives ou négatives. L'événement peut être qualifié en temps ou en logique.
- Délai d'attente :
- Déclenchement sur un événement qui reste haut, bas ou l'un ou l'autre pendant une durée spécifiée. L'événement peut être qualifié en logique.
- Runt :
- Déclenchement sur une impulsion franchissant un seuil, mais ne parvenant pas à franchir un second seuil avant de franchir à nouveau le premier. L'événement peut être qualifié en temps ou en logique.
- Fenêtre :
- Déclenchement sur un événement qui entre, sort, reste à l'intérieur ou à l'extérieur d'une fenêtre définie par deux seuils réglables par l'utilisateur. L'événement peut être qualifié en temps ou en logique.
- Logique :
- Déclenchement lorsque le mot logique devient vrai, faux ou se produit simultanément avec un front d'horloge. Mot logique (AND, OR, NAND, NOR) spécifié pour toutes les voies d'entrée, définies comme haute, basse ou indifférente. Le mot logique devenant vrai peut être qualifié en temps.
- Setup et Hold :
- Déclenchement sur les violations de setup et hold entre une horloge et des données présentes sur une des voies d'entrée analogiques et numériques.
- Temps de montée / de descente :
- Déclenchement sur les fréquences de front d'impulsion supérieures ou inférieures à la vitesse spécifiée. La pente peut être positive, négative ou nulle. L'événement peut être qualifié en logique.
- Vidéo (option 4-VID) :
- Déclenchement sur toutes les lignes, paires, impaires ou toutes les trames des signaux vidéo NTSC, PAL et SECAM.
- Séquence :
- Déclenchement sur l'événement B X temps ou sur N après le déclenchement A avec remise à zéro à l'événement C. En général, les événements de déclenchement A et B peuvent être définis sur n'importe quel type de déclenchement, à quelques exceptions près : la qualification logique n'est pas prise en charge, si l'événement A ou B est défini sur Etablissement et maintien, l'autre doit être défini sur Front ; la liaison Ethernet et USB haut débit (480 Mbits/s) n'est pas prise en charge.
- Déclenchement visuel
- Qualifie les déclenchements standard en analysant toutes les acquisitions de signal et en les comparant aux zones affichées à l'écran (formes géométriques). Vous pouvez définir un nombre illimité de zones, en leur attribuant à chacune un qualificatif : Dedans, Dehors ou Sans importance. Vous pouvez définir une expression booléenne intégrant la combinaison de votre choix de zones de déclenchement visuel, afin de qualifier plus en détail les événements enregistrés dans la mémoire d'acquisition. Les formes disponibles incluent : rectangle, triangle, trapèze, hexagone et forme définie par l'utilisateur
- Bus parallèle :
- Déclenchement sur une valeur de données de bus parallèle. Le bus parallèle peut afficher une taille comprise entre 1 et 48 bits (à partir des voies numériques et analogiques). Les bases binaires et hexadécimales sont prises en charge
- Bus I2C (option 4-SREMBD) :
- Déclenchement sur départ, départ répété, arrêt, accusé de réception manquant, adresse (7 ou 10 bits), données ou adresse et données sur bus I2C jusqu'à 10 Mbits/s
- Bus I3C (option 4-SRI3C)
- Déclenchement au démarrage, démarrage répété, arrêt, adresse, données, I3C SDR Direct, I3C dDR Diffusion, Accusé de réc. manquant, erreur T-Bit, erreur d'adresse de diffusion, Hot-Join, redémarrage HDR, sortie HDR sur les bus I3C jusqu'à 10 Mbits/s
- Bus SPI (option 4-SREMBD) :
- Déclenchement sur SS (Slave Select), durée d'inactivité ou données (1 à 16 mots) sur bus SPI jusqu'à 20 Mbits/s
- Bus RS-232/422/485/UART (option 4-SRCOMP) :
- Déclenchement sur bit de début, fin de paquet, données et erreur de parité jusqu'à 15 Mbits/s
- Bus CAN (option 4-SRAUTO) :
- Déclenchement sur début de trame, type de trame (données, distant, erreur ou surcharge), identificateur, données, identificateur et données, fin de trame, accusé de réception absent et erreur de bourrage des bits sur bus CAN jusqu'à 1 Mbit/s
- Bus CAN FD (option 4-SRAUTO) :
- Déclenchement sur début de trame, type de trame (données, distant, erreur ou surcharge), identificateur (standard ou étendu), données, identificateur et données, fin du trame, erreur sur bus CAN FD jusqu'à 16 Mbits/s (accusé de réception. manquant, erreur de bourrage, erreur de formulaire FD, toute erreur)
- Bus LIN (option 4-SRAUTO) :
- Déclenchement sur synchro, identificateur, données, identificateur et données, trame de réveil, trame de veille et erreur sur bus LIN jusqu'à 1 Mbit/s
- Bus FlexRay (Option 4-SRAUTO) :
- Déclenchement sur début de trame, bits indicateurs (normal, charge, null, sync, démarrage), ID de trame, nombre de cycles, champs d'en-tête (bits indicateurs, identificateur, longueur de la charge, CRC d'en-tête et nombre de cycles), identificateur, données, identificateur et données, fin de trame et erreur sur bus FlexRay jusqu'à 10 Mbits/s
- Bus SENT (option 4-SRAUTOSEN) :
- Déclenchement sur début de paquet, données et statut de voie Fast, données et ID de message de voie et erreur CRC
- Bus SPMI (option 4-SRPM) :
- Déclenchement sur condition de début de séquence, réinitialisation, veille, arrêt, activation, authentification, lecture maître, écriture maître, lecture de registre, écriture de registre, lecture de registre étendue, écriture de registre étendue, lecture de registre étendue longue, écriture de registre étendue longue, lecture maître de bloc descripteur d'appareil, lecture esclave de bloc descripteur d'appareil, écriture 0 de registre, propriété du bus de transfert et erreur de parité
- Bus USB 2.0 LS/FS/HS (option 4-SRUSB2) :
- Déclenchement sur synchro, réinitialisation, arrêt momentané, reprise, fin de paquet, paquet de jeton (adresse), paquet de données, paquet d'établissement de liaison, paquet spécial, erreur sur bus USB jusqu'à 480 Mbits/s.
- Bus Ethernet (option 4-SRENET) :
- Déclenchement sur début de trame, adresses MAC, Q-Tag MAC, longueur/type MAC, données MAC, en-tête IP, en-tête TCP, données TCP/IPV4, fin de paquet et erreur FCS (CRC) sur les bus 10BASE-T et 100BASE-TX.
- Bus audio (I2S, LJ, RJ, TDM) (option 4-SRAUDIO) :
- Déclenchement sur sélection de mot, synchronisation de trames ou données. Le débit maximal des données pour I2S/LJ/RJ est égal à 12,5 Mbits/s. Le débit maximal des données pour TDM est égal à 25 Mbits/s.
- Bus MIL-STD-1553 (option 4-SRAERO) :
- Déclenchement sur synchro, Commande (bit de transmission/réception, adresse secondaire/mode, compte de mots/compte de mode, adresse RT), Etat (parité, erreur de messages, instrumentation, demande d'entretien, commande de diffusion reçue, occupé, marqueur d'adresse secondaire, acceptation de contrôle de bus dynamique, marqueur terminal), Données, Temps (RT/IMG) et Erreur (erreur de parité, erreur de synchro, erreur Manchester, données non contiguës) sur bus MIL-STD-1553
- Bus ARINC 429 (option 4-SRAERO) :
- Déclenchement sur Début de mot, Libellé, Données, Libellé et données, Fin de mot et Erreur (toute erreur, erreur de parité, erreur de mot, erreur d'intervalle) sur bus ARINC 429 jusqu'à 1 Mbit/s
- Amplitude RF/Temps et fréquence RF/Temps (en option 4-SV-RFVT) :
- Déclenchement sur front, largeur d'impulsion et événements de délai d'attente
Système d'acquisition
- Echantillonnage
- Acquisition de valeurs échantillonnées.
- Détection de crête
- Capture les parasites aussi faibles que 640 ps à toutes les vitesses de balayage
- Moyennage
- De 2 à 10, 240 signaux
- Moyennage matériel rapide
- Mode d'acquisition permettant d'acquérir un grand nombre de moyennes dans un cours laps de temps. Le moyennage matériel rapide optimise le chemin d'acquisition, en réduisant l'erreur de troncature de la sauvegarde et en lissant les imperfections de non-linéarité sur l'échelle de précision grâce à une technique de tramage du décalage en option. Cette fonctionnalité est disponible via les commandes de l'interface de programmation.
- De 2 à 1 000 000 de signaux
- Vitesse de moyennage maximale = 32 000 signaux/s
- Enveloppe
- Enveloppe mini/maxi reflétant les données de détection de crête pour plusieurs acquisitions
- Haute résolution
Applique un filtre à réponse impulsionnelle finie (FIR) pour chaque fréquence d'échantillonnage qui maintient la bande passante la plus élevée possible pour cette fréquence d'échantillonnage, tout en empêchant le crénelage et en éliminant le bruit au niveau des convertisseurs ADC et des amplificateurs de l'oscilloscope au-delà de la bande passante utilisable pour la fréquence d'échantillonnage sélectionnée.
Le mode Haute résolution offre toujours au moins 12 bits de résolution verticale et peut atteindre 16 bits aux fréquences d'échantillonnage ≤ 125 Méch./s .
- FastAcq®
La fonction FastAcq optimise l'instrument pour l'analyse de signaux dynamiques et la capture d'événements rares en capturant plus de 500 000 signaux/s (une voie active ; >100 K signaux/s avec toutes les voies actives).
- Mode Défilement
- Fait défiler les échantillons séquentiels sur l'écran dans un mouvement horizontal de droite à gauche à des vitesses de base de temps de 40 ms/div et plus lentes en mode de déclenchement automatique.
- Mode Historique
- Utilisez la longueur d'enregistrement maximale, ce qui vous permet de capturer un grand nombre d'acquisitions déclenchées, d'arrêter lorsque vous remarquez quelque chose qui vous intéresse et de passer en revue rapidement toutes les acquisitions déclenchées stockées.
Le nombre d'acquisitions stockées disponibles dans l'historique est : (Longueur d'enregistrement maximale) / (paramètre de longueur d'enregistrement actuel).
- FastFrame™
Mémoire d'acquisition divisée en segments.
Vitesse de déclenchement maximum > 5 000 000 de signaux par seconde
Taille de trame minimum = 50 points
Nombre de trames maximum : pour une taille de trame ≥ 1 000 points, nombre maximum de trames = longueur d'enregistrement/taille de trame.
Pour des trames de 50 points, nombre de trames maximum = 1 500 000
Mesures de signaux
- Types de curseur
- Signal, Barres V, Barres H, Barres V et H et Polaire (tracés XY/XYZ uniquement)
- Précision de mesure de tension DC, mode d'acquisition moyennage
Type de mesure Précision DC (en volts) Moyenne sur ≥ 16 signaux ±((Précision du gain DC) * |mesure - (décalage - position) | + précision du décalage + 0,1 * Valeur V/div définie) Ecart en volts entre deux moyennes basses sur 16 signaux capturés ou plus dans les mêmes conditions ambiantes et de configuration d'oscilloscope ± (Précision du gain DC * | mesure | + 0,05 div)
- Mesures automatiques
- 36, que vous pouvez afficher en nombre illimité, soit sous forme de vignettes de mesure individuelles, soit collectivement dans un tableau de résultats de mesure
- Mesures d'amplitude
- Amplitude, Maximum, Minimum, Crête-à-crête, Suroscillation positive, Suroscillation négative, Moyenne, Valeur efficace, Valeur AC efficace, Haut, Base et Surface
- Mesures temporelles
- Période, Fréquence, Intervalle unité, Débit de données, Largeur d'impulsion positive, Largeur d'impulsion négative, Distorsion, Retard, Temps de montée, Temps de descente, Phase, Vitesse de montée, Vitesse de descente, Largeur de salve, Rapport cyclique positif, Rapport cyclique négatif, Niveau temporel extérieur, Temps d'établissement, Temps de maintien, Durée N périodes, Valeur temporelle élevée et Valeur temporelle faible, Temps restant jusqu'au minimum, Temps restant jusqu'au maximum
- Statistiques de mesure
- Moyenne, Ecart type, Maximum, Minimum et Population. Les statistiques sont disponibles sur l'acquisition en cours et sur l'ensemble des acquisitions.
- Niveaux de référence
- Des niveaux de référence personnalisés pour les mesures automatiques peuvent être spécifiés en pourcentage ou en unités. Les niveaux de référence peuvent être définis globalement pour l'ensemble des mesures, par voie ou signal source, ou pour chaque mesure individuelle.
- Fenêtrage
- Ecran, Curseurs, Logique, Recherche ou Temps. Indique la région où les mesures d'acquisition seront effectuées. L'option Fenêtrage peut être définie sur Mondial (affecte l'ensemble des mesures ainsi configurées) ou Local (toutes les mesures peuvent posséder un paramètre Fenêtre de temps individuel ; une seule fenêtre Local est disponible pour les actions Ecran, Curseurs, Logique et Recherche).
- Tracés de mesure
- Histogramme, Evolution chronologique et Spectre
- Limites de mesure
- Test réussi/échoué pour les limites configurables par l'utilisateur sur des valeurs de mesure. Action sur événement pour les échecs de valeurs de mesure inclut Enregistrer la capture d'écran, Enregistrer le signal, Demande de service (SRQ) et Arrêter les acquisitions
- L'analyse électrique triphasée (option 4-3PHASE) ajoute les éléments suivants :
- Mesures
Analyse d'entrée (Qualité de la puissance, Harmoniques, Tension d'entrée, Courant d'entrée, Puissance d'entrée)
Analyse de l'ondulation (Ondulation de ligne, Ondulation de commutation)
Analyse de sortie (Diagramme de phaseur)
- Tracés de mesure
Graphique en barre des harmoniques, Diagramme de phaseur
- L'analyse de puissance (option 4-PWR-BAS) et l'analyse de puissance avancée (option 4-PWR) ajoute les éléments suivants :
- Mesures
Analyse d'entrée (fréquence, Vrms, Irms, facteurs de crête de tension et de courant, puissance réelle, puissance apparente, puissance réactive, facteur de puissance, angle de phase, harmoniques, courant de démarrage, capacité d'entrée)
Analyse d'amplitude (amplitude de cycle, sommet de cycle, base de cycle, maximum de cycle, minimum de cycle, crête-à-crête de cycle)
Analyse du temps (période, fréquence, rapport cyclique négatif, rapport cyclique positif, largeur d'impulsion négative, largeur d'impulsion positive)
Analyse de commutation (perte de commutation, dv/dt, di/dt et zone de fonctionnement sûr, RDSon)
Analyse de sortie (ondulation de ligne, ondulation de commutation, efficacité, temps d'activation, temps de désactivation)
Analyse magnétique (Inductance, I par rapport à Intg (V), perte magnétique, propriété magnétique)- avec option 4-PWR uniquement
Analyse de la réponse de fréquence (diagramme de Bode de la réponse de boucle de commande, taux de réjection de l'alimentation, impédance) - avec options 4-PWR uniquement
- Tracés de mesure
- Graphique en barres des harmoniques, tracé de trajectoire de perte de commutation et zone de fonctionnement sûr
- Limites de mesure
- Test réussi/échoué pour les limites configurables par l'utilisateur sur des valeurs de mesure. Action sur événement pour les échecs de valeurs de mesure inclut Enregistrer la capture d'écran, Enregistrer le signal, Demande de service (SRQ) et Arrêter les acquisitions
Opération math sur les signaux
- Nombre de signaux mathématiques
- Illimité
- Arithmétique
- Addition, soustraction, multiplication et division des signaux et des valeurs scalaires
- Expressions algébriques
- Définition d'expressions algébriques complexes, y compris sur les signaux, les variables réglables par l'utilisateur et les résultats des mesures paramétrées. Opérations mathématiques utilisant des équations complexes. Ex. (Intégrale (CH1 – Moyenne (CH1)) × 1,414 × VAR1)
- Fonctions mathématiques
- Inversion, Intégration, Différentielle, Racine carrée, Exponentielle, Log 10, Log e, Abs, Plafond, Plancher, Mini, Maxi, Degrés, Radians, Sin, Cos, Tan, ASin, ACos et ATan
- Opérations relationnelles
- Résultat logique des comparaisons >, <, ≥, ≤, = et ≠
- Logique
- AND, OR, NAND, NOR, XOR et EQV
- Fonction de filtrage (standard)
- Chargement de filtres configurables par l'utilisateur. Les utilisateurs spécifient un fichier qui contient les coefficients du filtre.
- Fonctions FFT
- Amplitude spectrale et phase, spectres réel et imaginaire
- Unités verticales FFT
Amplitude : Linaire et Log (dBm)
Phase : Degrés, Radians et Retard groupé
- Fonctions de fenêtrage FFT
- Hanning, Rectangulaire, Hamming (fenêtrage), Blackman-Harris, Flattop2, Gaussien, Kaiser-Bessel et TekExp
Vue Spectre
- Fréquence centrale
- Limitée par la bande passante analogique de l'instrument
- Plage
- 18,6 Hz à 312,5 MHz
18,6 Hz à 500 MHz (avec option 4 -SV-BW-1)
Réglage approximatif dans une séquence 1-2-5
- Mesures RF
- Mesures de puissance de voie (CHP), de rapport ACLR (Adjacent Channel Leakage Ratio - rapport de fuite de voie adjacente) et de bande passante occupée (OBW) sur les données représentées et l'affichage de la vue Spectre
- Représentations RF/Temps
- Amplitude/temps, fréquence/temps, phase/temps (avec option 4-SV-RFVT)
- Déclenchement RF/Temps
- Déclenchement sur le front, les largeurs d'impulsion et les délais d'attente de l'amplitude RF par rapport au temps et fréquence RF par rapport au temps (avec option 4-SV-RFVT).
- Spectrogrammes
- Affichage de fréquence RF/temps/amplitude avec la fréquence sur l'axe X, le temps sur l'axe Y et le niveau de puissance indiqué par des variations de couleur (avec l'option 4-SV-RFVT)
- Bande passante de résolution (RBW)
18,6 μHz à 15,625 MHz
18,6 μHz à 25 MHz (avec option 4-SV-BW-1)
- Capture I&Q
- Les données sont stockées sous la forme d'échantillons I&Q (en phase et quadrature), et une synchronisation précise est maintenue entre les données du domaine temps et les données I&Q.
- Lorsque les représentations RF/temps sont activées (avec l'option 4-SV-RFVT), les données I&Q peuvent être capturées et exportées vers le fichier pour une analyse plus poussée dans des applications tierces.
- Le temps d'acquisition max. varie en fonction de la plage et de la fréquence d'échantillonnage. A 6,25 GS/s et une plage de 500 MHz, le temps d'acquisition max. est de 0,021 seconde. Pour une plage de 312,5 MHz, le temps d'acquisition max. est de 0,043 seconde. Pour une plage de 40 MHz, le temps d'acquisition max. est de 0,172 seconde. Pour une plage de 1 MHz, le temps d'acquisition max. est de 10,995 secondes.
- Types de fenêtre et facteurs
Type de fenêtre Facteur Blackman-Harris 1,90 Flat-Top 2 3,77 Hamming 1,30 Hanning 1,44 Kaiser-Bessel 2,23 Rectangulaire 0,89
- Temps du spectre
- Facteur de fenêtre FFT / RBW
- Niveau de référence
- Le niveau de référence est défini automatiquement par le paramètre Volts/div de la voie analogique
- Plage de réglage : -42 dBm à +44 dBm
- Position verticale
- -100 à +100 divisions
- Unités verticales
- dBm, dBµW, dBmV, dBµV, dBmA, dBµA
- Echelle horizontale
- Linéaire, Log
- Analyse de spectre multi-voie
- Chaque entrée FlexChannel peut être configurée avec la vue Spectre, les représentations RF/temps (avec l'option RFVT) et le spectrogramme (avec l'option RFVT).
- Plusieurs mesures RF peuvent être effectuées simultanément sur les voies.
- Les paramètres Temps de spectre et Fréquence centrale peuvent être déverrouillés et déplacés indépendamment l'un de l'autre sur les voies. Toutes les voies de la vue Spectre doivent partager les mêmes plage, bande passante de résolution et type de fenêtre.
Recherche
- Nombre de recherches
- Illimité
- Types de recherche
- Recherche dans les enregistrements longs afin de trouver toutes les occurrences des critères spécifiées par l'utilisateur, notamment : fronts, largeurs d'impulsion, délais d'attente, petites impulsions, violations de fenêtre, séquences logiques, violations d'établissement et de maintien, temps de montée/descente et événements de protocole de bus. Vous pouvez consulter les résultats de la recherche dans la fenêtre d'affichage du signal ou dans le tableau des résultats.
Enregistrer
- Enregistrer
- Enregistrez des fichiers directement sur l'oscilloscope, sur un lecteur réseau distant ou dans votre espace de travail de collaboration TekDrive.
- Type de signal
- Données de signal Tektronix (.wfm), valeurs séparées par des virgules (.csv), MATLAB (.mat)
- Fenêtrage de signal
- Curseurs, Ecran, Re-échantillonnage (enregistrer chaque échantillon nth)
- Type de capture d'écran
- Portable Network Graphic (*.png),
- Type de configuration
- Paramétrage Tektronix (.set)
- Type de rapport
- Documents portables Adobe (.pdf), Pages web à fichier unique (.mht)
- Type de session
- Paramétrage de sessions Tektronix (.tss)
Affichage
- Type d'écran
- 13,3 pouces (338 mm) Ecran LCD à liaison optique
- Résolution de l'écran
- Horizontal 1 920 pixels x Vertical 1 080 pixels
- Modes d'affichage
Chevauchement : affichage d'oscilloscope traditionnel où les tracés se chevauchent.
Empilé : mode d'affichage où chaque signal est placé dans sa propre tranche, permettant de visualiser l'ensemble de la plage ADC tout en séparant clairement les différents signaux. Vous pouvez également superposer des groupes de voie dans une tranche, afin de simplifier la comparaison visuelle des signaux.
- Zoom
- Prise en charge du zoom horizontal et vertical dans toutes les vues de signal et de tracé.
- Interpolation
- Sinus(x)/x et linéaire
- Styles de signaux
- Vecteurs, points, persistance variable et persistance infinie.
- Réticules
- Réticules fixes et mobiles, sélectionnables dans les modes Grille, Temps, Complet et Aucun
- Palettes de couleurs
Normale et inversion pour les captures d'écran
Les couleurs de signal individuelles peuvent être sélectionnées par l'utilisateur
- Format
- YT, XY et XYZ
- Interface utilisateur en langue locale
- Anglais, Japonais, Chinois simplifié, Chinois traditionnel, Français, Allemand, Italien, Espagnol, Portugais, Russe, Coréen.
- Aide en langue locale
- Anglais, Japonais, Chinois simplifié
Générateur de fonctions arbitraires (en option)
- Types de fonction
- Arbitraire, sinusoïdale, carré, impulsion, rampe, triangle, niveau DC, gaussienne, lorentz, montée/descente exponentielle, sinus(x)/x, bruit aléatoire, demi-sinus verse, cardiaque
- Signal sinusoïdal
- Plage de fréquences
- 0,1 Hz à 50 MHz
- Résolution de la définition de fréquence
- 0,1 Hz
- Précision de la fréquence
- 130 ppm (fréquence ≤ 10 kHz), 50 ppm (fréquence > 10 kHz)
- Pour les signaux de sinus, de rampe, carrés et d'impulsion uniquement.
- Plage d'amplitude
- 20 mVcrête-crête à 5 Vcrête-crête sur haute impédance 10 mVcrête-crête à 2,5 Vcrête-crête sur 50 Ω
- Planéité d'amplitude, standard
- ± 1,0 dB à 1 kHz
- ± 1,5 dB à 1 kHz pour des amplitudes < 20 mVcrête-crête
- Distorsion harmonique totale, standard
- 1,5 % pour une amplitude ≥ 200 mVcrête-crête dans la charge 50 Ω
- 3,5 % pour une amplitude > 50 mV ET < 200 mVcrête-crête sur charge 50 Ω
- Ceci concerne les signaux Sinus uniquement.
- Plage dynamique libre pour les parasites, standard
- 35 dB (Vcrête-crête ≥ 0,2 V), charge 50 Ω
- Signal carré ou d'impulsion
- Plage de fréquences
- 0,1 Hz à 25 MHz
- Résolution de la définition de fréquence
- 0,1 Hz
- Précision de la fréquence
- 130 ppm (fréquence ≤ 10 kHz), 50 ppm (fréquence > 10 kHz)
- Plage d'amplitude
- 20 mVpp à 5 Vpp dans Hi-Z ; 10 mVpp à 2,5 Vpp dans 50 Ω
- Plage de rapport cyclique
- 10 % à 90 % ou impulsion minimum de 10 ns ; valeur la plus élevée
- La durée d'impulsion minimum s'applique aussi bien au temps de début qu'au temps d'arrêt, le rapport cyclique maximum sera donc réduit aux fréquences élevées, pour conserver un temps d'arrêt de 10 ns.
- Résolution du rapport cyclique
- 0,1 %
- Largeur d'impulsion minimum, standard
- 10 ns. Il s'agit de la durée minimum des temps de fonctionnement ou d'arrêt.
- Temps de montée/descente, standard
- 6 ns, 10 % - 90 %
- Résolution de la largeur d'impulsion
- 100 ps
- Suroscillation, standard
- < 6 % pour les mesures de signal supérieures à 100 mVcrête-crête
- Cela s'applique à la suroscillation de la transition sur front ascendant (Suroscillation +) et sur front descendant (Suroscillation -).
- Asymétrie, standard
- ± 1 % ± 5 ns, pour un rapport cyclique de 50 %
- Gigue, standard
- < 60 ps TIEeff, ≥ 100 mVpp d'amplitude, 40 %-60 % de rapport cyclique
- Signal de rampe ou triangulaire
- Plage de fréquences
- 0,1 Hz à 500 kHz
- Résolution de la définition de fréquence
- 0,1 Hz
- Précision de la fréquence
- 130 ppm (fréquence ≤ 10 kHz), 50 ppm (fréquence > 10 kHz)
- Plage d'amplitude
- 20 mVpp à 5 Vpp dans Hi-Z ; 10 mVpp à 2,5 Vpp dans 50 Ω
- Symétrie variable
- 0 % - 100 %
- Résolution de la symétrie
- 0,1 %
- Plage de niveaux DC
± 2,5 V dans Hi-Z
± 1,25 V dans 50 Ω
- Plage d'amplitudes de bruit aléatoire
20 mVpp à 5 Vpp dans Hi-Z
10 mVpp à 2,5 Vpp dans 50 Ω
- Sinus(x)/x
- Fréquence maximum
- 2 MHz
- Impulsion gaussienne, Demi-sinus verse et Impulsion Lorentz
- Fréquence maximum
- 5 MHz
- Impulsion Lorentz
- Plage de fréquences
- 0,1 Hz à 5 MHz
- Plage d'amplitude
- 20 mVpp à 2,4 Vpp dans Hi-Z ;
10 mVpp à 1,2 Vpp dans 50 Ω
- Cardiaque
- Plage de fréquences
- 0,1 Hz à 500 kHz
- Plage d'amplitude
- 20 mVpp à 5 Vpp dans Hi-Z
10 mVpp à 2,5 Vpp dans 50 Ω
- Arbitraire
- Profondeur mémoire
- 1 à 128 k
- Plage d'amplitude
- 20 mVpp à 5 Vpp dans Hi-Z
10 mVpp à 2,5 Vpp dans 50 Ω
- Vitesse de répétition
- 0,1 Hz à 25 MHz
- Fréquence d'échantillonnage
- 250 M éch./s
- Précision de l'amplitude du signal
- ±[ (1,5 % du réglage de l'amplitude crête/crête) + (1,5 % du réglage du décalage DC absolu) + 1 mV ] (fréquence = 1 kHz)
- Résolution de l'amplitude du signal
1 mV (Hi-Z)
500 μV (50 Ω)
- Précision de la fréquence des signaux sinusoïdaux et de rampe
- 1,3 x 10-4 (fréquence ≤ 10 kHz)
- 5,0 x 10-5 (fréquence > 10 kHz)
- Plage de décalage DC
± 2,5 V dans Hi-Z
± 1,25 V dans 50 Ω
- Résolution du décalage DC
1 mV (Hi-Z)
500 μV (50 Ω)
- Précision du décalage DC
+/-[ (1,5 % du paramètre de tension de décalage absolu) + 1 mV ]
Ajouter 3 mV d'incertitude par variation de 10 °C à partir de la température ambiante de 25 °C
Voltmètre numérique (DVM)
- Types de mesures
DC, ACrms+DC, ACrms
- Résolution de tension
- 4 chiffres
- Précision de la tension
- DC :
± (1,5 % |mesure - décalage - position|) + (0,5 % |(décalage - position)|) + (0,1 * Volts/div))
Déclassement à 0,100 %/°C de |mesure - décalage - position| au dessus de 30 °C
Signal ± 5 divisions par rapport au centre de l'écran
- AC :
± 3 % (40 Hz à 1 kHz) sans contenu d'harmonique hors de la plage 40 Hz à 1 kHz
AC, standard : ± 2 % (20 Hz à 10 kHz)
Pour les mesures AC, les réglages verticaux de la voie d'entrée doivent permettre au signal d'entrée Vcrête-crête de couvrir de 4 à 10 divisions, et être parfaitement visibles à l'écran.
Compteur de fréquence de déclenchement
- Résolution
- 8 chiffres
- Précision
± (1 compte + précision de la base de temps * fréquence d'entrée)
Le signal doit être d'au moins 8 mVcrête-crête ou 2 div, à la plus haute valeur des deux.
- Fréquence d'entrée maximum
- 10 Hz à la bande passante maximum de la voie analogique
- Le signal doit être d'au moins 8 mVcrête-crête ou 3 div, à la plus haute valeur des deux.
Processeur
- Processeur hôte
- Intel x6413E à 1,5 GHz (HFM) / 3,0 GHz (Turbo). Elkhart Lake 4-Core.
- Système d'exploitation
- Linux fermé
- Stockage interne
- 64 Gb eMMC
Ports d'entrée/sortie
- Port vidéo HDMI
Connecteur HDMI 29 broches
Résolution prise en charge : 1 920 x 1 080 à 60 Hz (uniquement). Le moniteur doit être fixé avant la mise sous tension de l'instrument
- Signal compensateur de sonde, standard
- Connexion :
- Connecteurs situés en bas à de la face avant de l'instrument.
- Amplitude :
- 0 à 2,5 V
- Fréquence :
- 1 kHz
- Impédance de source :
- 1 kΩ
- Entrée de référence externe
Le système de base de temps peut effecteur un verrouillage de phase sur la référence externe 10 MHz (± 4 ppm).
- Interface USB (Hôte, ports périphériques)
- Ports hôte USB sur face avant : trois ports USB 2.0 haut débit
- Ports USB hôte sur panneau arrière : deux ports USB 3.0 très haut débit
- Ports périphériques USB sur panneau arrière : un port USB 2.0 haut débit offrant la prise en charge USBTMC
- Interface Ethernet
- 10/100/1000 Mb/s
- Sortie auxiliaire
Connecteur BNC sur la face arrière La sortie peut être configurée pour fournir une impulsion négative ou positive lorsque l'oscilloscope se déclenche, la sortie interne d'horloge de référence de l'oscilloscope, ou encore une impulsion de synchronisation AFG.
Caractéristique Limites Tension de sortie (HI) ≥ 2,5 V en circuit ouvert ; ≥ 1,0 V pour une charge de 50 Ω à la terre Tension de sortie (LO) ≤ 0,7 V pour une charge de ≤ 4 mA ; ≤ 0,25 V pour une charge de 50 Ω à la terre
- Verrou Kensington
- La fente de sécurité de la face arrière peut accueillir un verrou Kensington standard.
- LXI
Classe : LXI Core 2016
Version : 1.5
Source d'alimentation
- Alimentation
- Consommation électrique
400 Watts maximum
- Tension de source
- 100 - 240 V ±10 % entre 50 Hz et 60 Hz
Caractéristiques physiques
- Dimensions
Hauteur : 286,99 mm (11,299 po) pieds repliés, poignée repliée à l'arrière
Hauteur :351 mm (13,8 po) pieds repliés, poignée en haut
Largeur : 405 mm (15,9 po), de poignée à poignée (centre)
Profondeur : 155 mm (6,1 po), de l'arrière des pieds à l'avant des boutons, poignée en haut
Profondeur : 265 mm (10,4 po) pieds repliés, poignée repliée à l'arrière
- Poids
- MSO44B :< 7,3 kg (16 livres)
- MSO46B :< 7,5 kg (16,55 livres)
- Refroidissement
- L'espacement requis pour un refroidissement adéquat est d'au moins 50,8 mm à droite de l'instrument (en le regardant de face) et à l'arrière de l'instrument.
- Configuration pour montage en baie
- 7U (Kit pour montage en baie avec RM4 en option)
Spécifications environnementales
- Température
- En fonctionnement
- -0 °C à +50 °C (-32 °F à +122 °F)
- Hors fonctionnement
- -20 °C à +60 °C
- Humidité
- En fonctionnement
- 5 % à 90 % d'humidité relative (% HR) jusqu'à 40 °C
- 5 % à 50 % d'humidité relative au dessus de +40 °C jusqu'à +50 °C, non condensée et limitée par une température maximum sur thermomètre humide de +39 °C
- A l'arrêt
- 5 % à 90 % d'humidité relative (% HR) jusqu'à +40 °C
- 5 % à 50 % d'humidité relative au dessus de +40 °C jusqu'à +50 °C, non condensée et limitée par une température maximum sur thermomètre humide de +39 °C
- Altitude
- En fonctionnement
- Jusqu'à 3 000 mètres (9 843 pieds)
- A l'arrêt
- Jusqu'à 12 000 mètres (39 370 pieds)
- Vibrations aléatoires
- En fonctionnement
- 0,31 Geff, de 5 à 500 Hz, 10 minutes par axe, 3 axes (30 minutes au total)
Environnement, sécurité et compatibilité électromagnétique (CEM)
- Homologations de sécurité
- Liste NRTL aux Etats-Unis - UL61010-1 et UL61010-2-030
- Homologation pour le Canada - CAN/CSA C22.2 No.61010.1 et CAN/CSA C22.2 No.61010.2.030
- Conformité UE - Directive basse tension 2014-35-UE et EN61010-1.
- Conformité internationale - CEI 61010-1 et CEI 61010-2-030
- Réglementation
Marquage CE pour l'Union Européenne et agrément CSA pour les Etats-Unis et le Canada
Conforme RoHS
- Caractéristiques électriques
- Catégorie de mesure II (300 V)
Logiciel
- Pilote IVI
Fournit une interface de programmation d'instruments standard pour des applications courantes comme LabVIEW, LabWindows/CVI, Microsoft .NET et MATLAB. Compatible avec Python, C/C++/C# et de nombreux autres langages, via VISA.
- TekDrive
- Chargez, stockez, organisez, recherchez, téléchargez et partagez le type de fichier que vous souhaitez à partir de tout périphérique connecté. TekDrive est intégré en natif dans l'instrument pour un partage et un rappel fluides des fichiers. Aucune clé USB n'est requise. Analysez et explorez les fichiers standard tels que .wfm, .isf, .tss et .csv directement dans un navigateur. Visitez http://www.tek.com/software/tekdrive pour en savoir plus.
- Interface Web LXI
Connectez-vous à l'oscilloscope au moyen d'un navigateur Web standard, en saisissant simplement l'adresse IP de l'oscilloscope ou le nom du réseau dans la barre d'adresses du navigateur. L'interface Web permet d'afficher l'état et la configuration de l'instrument, l'état et les modifications des paramètres réseau, et de contrôler l'instrument via un talker/listener SCPI.
- Exemples de programmation
La programmation sur les plates-formes Série 4/5/6 n'a jamais été aussi facile ! Le manuel du programmateur et le site GitHub vous offrent de nombreux exemples et commandes qui vous aideront à faire vos premiers pas dans l'automatisation à distance de votre instrument. Reportez-vous à la section.
Informations de commande
Observez les étapes suivantes pour sélectionner l'instrument et les options qui conviennent le mieux, en fonction de vos besoins de mesure.
Etape 1
- Sélectionner un modèle
Commencez par choisir un modèle adéquat en fonction du nombre d'entrées FlexChannel souhaité. Chaque entrée FlexChannel prend en charge 1 signal analogique ou 8 signaux numériques de manière interchangeable.
Modèle Nombre de voies FlexChannels MSO44B 4 MSO46B 6
- Chaque modèle comprend les éléments suivants :
- Une sonde analogique passive par voie :
- Des sondes TPP0250 250 MHz avec des modèles de bande passante 200 MHz
- Des sondes TPP0500B 500 MHz avec des modèles de bande passante 350 MHz et 500 MHz
- Des sondes TPP1000 1 GHz avec des modèles 1 GHz et 1,5 GHz
- Manuel d'installation et de sécurité
- Aide intégrée
- Un cordon d'alimentation
- Un certificat d'étalonnage indiquant la traçabilité conformément aux Instituts nationaux de métrologie et à la qualification au système de qualité ISO9001/ISO17025
- Une garantie d'un an couvrant les pièces et la main-d'œuvre de l'instrument.
- Une garantie d'un an couvrant toutes les pièces et la main-d'œuvre des sondes incluses
Etape 2
- Sélectionner une bande passante
Configurez votre oscilloscope en sélectionnant la bande passante de voie analogique souhaitée. Vous pourrez effectuer la mise à niveau ultérieurement, en achetant une option de mise à niveau.
Option de bande passante Bande passante 4-BW-200 200 MHz 4-BW-350 350 MHz 4-BW-500 500 MHz 4-BW-1000 1 GHz 4-BW-1500 1,5 GHz
Etape 3
- Ajout d'options groupées
Trois classes d'options groupées sont proposées (Starter, Pro, Ultimate), et offrent différentes options en fonction de votre budget et de vos besoins en matière d'applications. Pour obtenir des informations détaillées sur le contenu actuel de chaque offre groupée, consultez notre site Web et la brochure de l'offre complète du logiciel à l'adresse https://www.tek.com/document/brochure/software-bundles-for-the-4-5-and-6-series-mso-oscilloscopes.
- L'offre groupée Starter rassemble les options de décodage de bus série, d'analyse de protocole et d'amélioration de logiciel les plus courantes.
- Les offres groupées Pro sont spécifiques aux applications (Déclenchement en série et décodage, Intégrité de l'alimentation, Intégrité du signal, Automobile, Défense et aéronautique) et incluent toutes les options de l'offre Starter.
- L'offre Ultimate inclut toutes les option de l'offre Starter et toutes les options de toutes les offres Pro.
Licence d'un an Licence perpétuelle Description de l'offre groupée 4-STARTER-1Y 4-STARTER-PER Inclut Analyse et déclenchement en série I2C, SPI, RS-232/422/UART, AFG (Générateur de fonctions arbitraires) 4-PRO-SERIAL-1Y 4-PRO-SERIAL-PER Inclut 4-STARTER plus longueur d'enregistrement 62,5 MS/voie et certaines options d'analyse en série supplémentaires 4-PRO-POWER-1Y 4-PRO-POWER-PER Inclut 4-STARTER plus longueur d'enregistrement 62,5 MS/voie et certaines options d'analyse de puissance 4-PRO-AUTO-1Y 4-PRO-AUTO-PER Inclut 4-STARTER plus longueur d'enregistrement 62,5 MS/voie et certaines options d'analyse automobile 4-PRO-MILGOV-1Y 4-PRO-MILGOV-PER Inclut 4-STARTER plus longueur d'enregistrement 62,5 MS/voie et certaines options d'analyse en série supplémentaires 4-ULTIMATE-1Y 4-ULTIMATE-PER Inclut 4-STARTER, toutes les options de l'offre 4-PRO, plus longueur d'enregistrement 62,5 MS/voie et représentations RF/temps, déclencheurs, spectrogrammes et capture I&Q, bande passante de capture en vue Spectre étendue et options de déclenchement vidéo - Chaque offre achetée est proposée avec deux options de durée
- Un abonnement d'un an qui inclut toutes les fonctionnalités et des mises à niveau gratuites pour l'offre achetée pendant un an, après quoi les fonctionnalités sont désactivées. Un abonnement d'un an supplémentaire peut être acheté pour l'offre sélectionnée.
- Un abonnement perpétuel qui active toutes les fonctionnalités de l'offre achetée de façon permanente. L'abonnement perpétuel inclut un an de mises à niveau gratuites pour l'ensemble de fonctionnalités de l'offre. Après cette année, le jeu de fonctionnalités est figé et celles-ci restent telles qu'elles ont été activées par la dernière mise à jour effectuée.
Il est possible de continuer à mettre à niveau les offres perpétuelles après la période d'activation d'un an, en achetant une licence de maintenance. Vous trouverez des informations sur la licence de maintenance dans le tableau Licence de maintenance ci-dessous. Celle-ci doit être achetée pour une offre Starter, Pro ou Ultimate existante.
Licence de maintenance Description 4-STARTER-MNT-1Y Inclut les mises à jour de l'offre Starter perpétuelle pendant 1 an 4-PRO-MNT-1Y Inclut les mises à jour de l'offre Pro perpétuelle pendant 1 an 4-ULTIMATE-MNT-1Y Inclut les mises à jour de l'offre Utlimate perpétuelle pendant 1 an
Etape 4
- Ajout d'une fonctionnalité d'instrument
Vous pouvez acheter une fonctionnalité en même temps que l'instrument ou ultérieurement à l'aide d'un kit de mise à niveau.
Option d'instrument Fonctionnalité intégrée 4-RL-1 Augmenter la longueur d'enregistrement à 62,5 millions de points/voie 4 -AFG Ajouter un générateur de fonctions arbitraires
Etape 5
- Ajout de fonctionnalités de recherche, de décodage et de déclenchement de protocole en option
- Choisissez la prise en charge du protocole dont vous avez besoin aujourd'hui, parmi les options d'analyse suivantes. Vous pouvez mettre cet élément à niveau ultérieurement, en achetant un kit de mise à niveau.
Option d'instrument Protocoles pris en charge 4-RFNFC ISO/CEI 15693, 14443A, 14443B et FeliCa (décodage et recherche uniquement) 4-SRAERO Aérospatiale (MIL-STD-1553, ARINC 429) 4-SRAUDIO Audio (I2S, LJ, RJ, TDM) 4-SRAUTO Automobile (CAN, CAN FD, LIN, FlexRay et décodage symbolique CAN) 4-SRAUTOSEN Capteur automobile (SENT) 4-SRCOMP Informatique (RS-232/422/485/UART) 4-SRCXPI CXPI (décodage et recherche uniquement) 4-SREMBD Intégré (I2C, SPI) 4-SRENET Ethernet (10BASE-T, 100BASE-TX) 4-SRESPI eSPI (décodage et recherche uniquement) 4-SRETHERCAT EtherCAT (décodage et recherche uniquement) 4-SRI3C MIPI I3C 4-SRMANCH Manchester (décodage et recherche uniquement) 4-SRMDIO MDIO (décodage et recherche uniquement) 4-SRNRZ NRZ (décodage et recherche uniquement) 4-SRONEWIRE Un fil (décodage et recherche 1 fil uniquement) 4-SRPM Gestion de l'alimentation (SPMI) 4-SRPSI5 PSI5 (décodage et recherche uniquement) 4-SRSMBUS SMBus (décodage et recherche uniquement) 4-SRSPACEWIRE SpaceWire (décodage et recherche uniquement) 4-SRSDLC Protocole de contrôle de liaison de données synchrone (décodage et recherche uniquement) 4-SRSVID SVID 4-SRUSB2 USB (USB2.0 LS, FS, HS) 4-SREUSB2 eUSB2.0 (décodage et recherche uniquement) Vous utilisez un bus série différentiel ? Veillez à consulter la section Ajout de sondes et d'adaptateurs pour voir les sondes différentielles.
Etape 6
- Ajout de fonctionnalités d'analyse en option
Option d'instrument Analyse avancée 4-3PHASE Analyse électrique triphasée (modèle à 6 voies uniquement) 4-PWR Mesures et analyse avancées de l'alimentation (comprend toutes les mesures 4-PWR-BAS, FRA et magnétiques) 4-MTM Masque et test des valeurs limites 4-SV-RFVT Représentations de vue Spectre RF/temps, déclencheurs, spectrogrammes et capture I&Q 4-VID Déclenchement vidéo NTSC, PAL et SECAM 4-PWR-BAS Mesures et analyse de la puissance (cette option n'est pas compatible avec l'option 4-PS2) 4-SV-RFVT Représentations de vue Spectre RF/temps, déclencheurs, spectrogrammes et capture I&Q 4-SV-BW-1 Vue Spectre, augmentation de la bande passante de capture à 500 MHz 4-PS2 Solution complète d'analyse de la puissance (montage de compensation (4-PWR-BAS, THDP0200, TCP0030A, 067-1686-xx) 4-WBG-DPT Mesures et analyse pour test d'impulsions doubles SiC/GaN à large bande interdite
Etape 7
- Ajout de sondes numériques
- Chaque entrée FlexChannel peut être configurée en 8 voies numériques simplement en connectant une sonde logique TLP058 à une entrée FlexChannel. Vous pouvez commander des sondes TLP058 avec l'instrument ou séparément.
Pour cet instrument Commander Pour ajouter MSO44B 1 à 4 sondes TLP058 8 à 32 voies numériques MSO46B 1 à 6 sondes TLP058 8 à 48 voies numériques
Etape 8
- Ajout de sondes et d'adaptateurs
- Ajout d'adaptateurs et de sondes supplémentaires recommandés
Sonde/adaptateur recommandés Description TAP1500 Sonde de tension simple active référencée à la masse 1,5 GHz TekVPI®, tension d'entrée ±8 V TAP2500 Sonde de tension simple active référencée à la masse 2,5 GHz TekVPI®, tension d'entrée ±4 V TCP0030A Sonde de courant TekVPI® 30 A AC/DC, 120 MHz de bande passante TCP0020 Sonde de courant TekVPI® 20 A AC/DC, 50 MHz de bande passante TCP0030A Sonde de courant TekVPI® 30 A AC/DC, 120 MHz de bande passante TCP0150 Sonde de courant TekVPI® 150 A AC/DC, 20 MHz de bande passante TRCP0300 Sonde de courant AC 30 MHz, 250 mA à 300 A TRCP0600 Sonde de courant AC 30 MHz, 500 mA à 600 A TRCP3000 Sonde de courant AC 16 MHz, 500 mA à 3 000 A TDP0500 Sonde de tension différentielle TekVPI® 500 MHz, tension d'entrée différentielle ±42 V TDP1000 Sonde de tension différentielle TekVPI® 1 GHz, tension d'entrée différentielle ±42 V TDP1500 Sonde de tension différentielle TekVPI® 1,5 GHz, tension d'entrée différentielle ±8,5 V THDP0100 Sonde différentielle haute tension TekVPI® ±6 kV, 100 MHz THDP0200 Sonde différentielle haute tension TekVPI® ±1,5 kV, 200 MHz TMDP0200 Sonde différentielle haute tension TekVPI® ±750 V, 200 MHz TPR1000 Sonde de tension simple, 1 GHz, TekVPI® Power-Rail ; inclut un kit d'accessoires TPR4KIT TIVP02 Sonde isolée ; 200 MHz, ±5 V à ±2 500 V selon l'embout ; câble de 2 mètres TIVP02L Sonde isolée ; 200 MHz, ±5 V à ±2 500 V selon l'embout ; câble de 10 mètres TIVP05 Sonde isolée ; 500 MHz, ±5 V à ±2 500 V selon l'embout, câble de 2 mètres TIVP05L Sonde isolée ; 500 MHz, ±5 V à ±2 500 V selon l'embout, câble de 10 mètres TIVP1 Sonde isolée ; 1 GHz, ±5 V à ±2 500 V selon l'embout, câble de 2 mètres TIVP1L Sonde isolée ; 1 GHz, ±5 V à ±2 500 V selon l'embout, câble de 10 mètres TPP0502 Sonde de tension passive 500 MHz, 2X TekVPI®, capacité d'entrée 12,7 pF TPP0850 Sonde haute tension passive 2,5 kV, 800 MHz, 50X TekVPI® TPP1000 Sonde de tension passive 1 GHz, 10X TekVPI®, câble de 1,3 mètre, capacité d'entrée 3,9 pF P6015A Sonde haute tension passive 20 kV, 75 MHz TPA-BNC Adaptateur BNC TekVPI® pour sonde TekProbe™ (recommandé pour raccorder vos sondes TekProbe existantes à cet instrument) TEK-DPG Source de signal du générateur d'impulsions pour la compensation des ondes TekVPI 067-1686-xx Matériel de compensation et d'étalonnage des mesures d'alimentation - Vous souhaitez utiliser d'autres sondes ? Utilisez notre outil de sélection de sonde sur le site www.tek.com/probes.
Etape 9
- Ajouter des accessoires
Ajout d'accessoires de transport ou de montage
Accessoires en option Description HC4 Etui de transport rigide avec capot de protection de la face avant de l'instrument RM4 Kit de montage en baie SC4 Etui de transport souple avec capot de protection de la face avant de l'instrument Adaptateur GPIB-Ethernet Commander le modèle 4865B (adaptateur GPIB-Ethernet pour l'interface de l'instrument) directement sur le site de ICS Electronics www.icselect.com/gpib_instrument_intfc.html
Etape 10
- Sélectionnez une option de cordon d'alimentation
Option de cordon d'alimentation Description A0 Prise électrique Amérique du Nord (115 V, 60 Hz) A1 Prise électrique universelle Europe (220 V, 50 Hz) A2 Prise électrique Royaume-Uni (240 V, 50 Hz) A3 Prise électrique Australie (240 V, 50 Hz) A5 Prise électrique Suisse (220 V, 50 Hz) A6 Prise électrique Japon (100 V, 50/60 Hz) A10 Prise électrique Chine (50 Hz) A11 Prise électrique Inde (50 Hz) A12 Prise électrique Brésil (60 Hz) A99 Aucun cordon d'alimentation
Etape 11
- Ajout d'options de service étendu et d'étalonnage
Option de service Description T3 Plan de protection totale de trois ans comprenant la réparation ou le remplacement des pièces en usure normale, les dommages accidentels et dus aux décharges électrostatiques et aux surcharges électriques. R3 Garantie standard prolongée à 3 ans Couvre les pièces, la main d'œuvre et l'expédition en deux jours sur le territoire national. Garantit un délai de réparation plus court qu'en l'absence de couverture spéciale. Toutes les réparations incluent une étalonnage et une mise à jour. Mise en place facile du dossier d'assistance, par simple appel téléphonique. C3 Service d'étalonnage pendant 3 ans. Inclut un étalonnage avec traçabilité ou une vérification fonctionnelle de l'instrument, le cas échéant, pour les étalonnages recommandés. La couverture comprend l'étalonnage initial, plus 2 ans supplémentaires d'étalonnage. T5 Plan de protection totale de cinq ans comprenant la réparation ou le remplacement des pièces en usure normale, les dommages accidentels et dus aux décharges électrostatiques et aux surcharges électriques. R5 Garantie standard prolongée à 5 ans Couvre les pièces, la main d'œuvre et l'expédition en deux jours sur le territoire national. Garantit un délai de réparation plus court qu'en l'absence de couverture spéciale. Toutes les réparations incluent une étalonnage et une mise à jour. Mise en place facile du dossier d'assistance, par simple appel téléphonique. C5 Service d'étalonnage pendant 5 ans. Inclut un étalonnage avec traçabilité ou une vérification fonctionnelle de l'instrument, le cas échéant, pour les étalonnages recommandés. La couverture comprend l'étalonnage initial, plus 4 ans supplémentaires d'étalonnage. D1 Rapport de données d'étalonnage D3 Rapport de données d'étalonnage 3 ans (avec option C3) D5 Rapport de données d'étalonnage 5 ans (avec option C5)
Mise à niveau des fonctionnalités après achat
- Ajoutez par la suite des mises à niveau pour votre instrument.
- Vous pouvez facilement ajouter cette fonctionnalité après l'achat initial. Les licences fixes activent de façon permanente des fonctionnalités disponibles en option, pour un produit donné. Les licences flottantes permettent de transférer facilement des options achetées sous licence entre différents instruments compatibles.
| Mise à niveau des caractéristiques | Mise à niveau de la licence avec blocage de nœud | Mise à niveau de la licence flottante | Description |
|---|---|---|---|
| Ajouter des fonctions à l'instrument | SUP4-AFG | SUP4-AFG-FL | Ajouter un générateur de fonctions arbitraires |
| SUP4-RL-1 | SUP4-RL-1-FL | Augmenter la longueur d'enregistrement à 62,5 millions de points/voie | |
| Ajouter une analyse de protocole | SUP4-RFNFC | SUP4-RFNFC-FL | ISO/IEC 15693 et ISO/IEC14443A (décodage et recherche uniquement) |
| SUP4-SRAERO | SUP4-SRAERO-FL | Déclenchement et analyse série pour l'industrie aérospatiale (MIL-STD-1553, ARINC 429) | |
| SUP4-SRAUDIO | SUP4-SRAUDIO-FL | Analyse et de déclenchement série audio (I2S, LJ, RJ, TDM) | |
| SUP4-SRAUTO | SUP4-SRAUTO-FL | Déclenchement et analyse série pour l'automobile (CAN, CAN FD, LIN, FlexRay et décodage symbolique CAN) | |
| SUP4-SRAUTOSEN | SUP4-SRAUTOSEN-FL | Analyse et déclenchement série pour capteur automobile (SENT) | |
| SUP4-SRCOMP | SUP4-SRCOMP-FL | Déclenchement et analyse série sur ordinateur (RS-232/422/485/UART) | |
| SUP4-SRCXPI | SUP4-SRCXPI-FL | Décodage et analyse en série CXPI | |
| SUP4-SREMBD | SUP4-SREMBD-FL | Analyse et déclenchement en série embarqué (I2C, SPI) | |
| SUP4-SRENET | SUP4-SRENET-FL | Déclenchement et analyse série Ethernet (10Base-T, 100Base-TX) | |
| SUP4-SRESPI | SUP4-SRESPI-FL | Décodage et analyse en série eSPI | |
| SUP4-SRETHERCAT | SUP4-SRETHERCAT-FL | Décodage et analyse en série EtherCAT | |
| SUP4-SRI3C | SUP4-SRI3C-FL | Analyse et déclenchement série MIPI I3C | |
| SUP4-SRMANCH | SUP4-SRMANCH-FL | Manchester (décodage et recherche uniquement) | |
| SUP4-SRMDIO | SUP4-SRMDIO-FL | Décodage et analyse en série pour Management Data Input/Output (MDIO) | |
| SUP4-SRNRZ | SUP4-SRNRZ-FL | Analyse série NRZ (Non retour à zéro) | |
| SUP4-SRONEWIRE | SUP4-SRONEWIRE-FL | Décodage et analyse en série un fil (1 fil) | |
| SUP4-SRPM | SUP4-SRPM-FL | Analyse et déclenchement en série de la gestion de l'alimentation (SPMI) | |
| SUP4-SRPSI5 | SUP4-SRPSI5-FL | Analyse série PSI5 | |
| SUP4-SRSMBUS | SUP4-SRSMBUS-FL | Décodage et analyse en série SMBus | |
| SUP4-SRSPACEWIRE | SUP4-SRSPACEWIRE-FL | Analyse série SpaceWire | |
| SUP4-SRSDLC | SUP4-SRSDLC-FL | Contrôle de lien de données synchrone | |
| SUP4-SRSVID | SUP4-SRSVID-FL | Décodage en série et analyse pour identification de tension en série (SVID) | |
| SUP4-SRUSB2 | SUP4-SRUSB2-FL | Déclenchement et analyse sur bus série USB 2.0 (LS, FS et HS) | |
| SUP4-SREUSB2 | SUP4-SREUSB2-FL | Décodage et analyse en série intégrés USB 2.0 (eUSB 2.0) | |
| Ajouter l'analyse avancée | SUP4-3PHASE | SUP4-3PHASE-FL | Analyse électrique triphasée (modèle à 6 voies uniquement) |
| SUP4-MTM | SUP4-MTM-FL | Masque et test des valeurs limites | |
| SUP4-PS2 | S/O | Solution complète d'analyse de la puissance (montage de compensation 4-PWR, THDP0200, TCP0030A, 067-1686-xx) | |
| SUP4-PWR-BAS | SUP4-PWR-BAS-FL | Mesures et analyse de la puissance | |
| SUP4-PWR | SUP4-PWR-FL | Mesures et analyse avancées de l'alimentation (comprend toutes les mesures SUP4-PWR-BAS) | |
| SUP4-SV-BW-1 | SUP4-SV-BW-1-FL | Vue Spectre, augmentation de la bande passante de capture à 500 MHz | |
| SUP4-SV-RFVT | SUP4-SV-RFVT-FL | Représentations de vue Spectre RF/temps, déclencheurs, spectrogrammes et capture I&Q | |
| SUP4-VID | SUP4-VID-FL | Déclenchement vidéo NTSC, PAL et SECAM | |
| SUP4-WBG-DPT | SUP4-WBG-DPT-FL | Mesures et analyse pour test d'impulsions doubles SiC/GaN à large bande interdite | |
| Ajouter un voltmètre numérique | S/O | S/O | Ajouter un voltmètre numérique / compteur de fréquence de déclenchement (gratuits avec l'enregistrement du produit sur www.tek.com/register4mso) |
Mise à niveau de la bande passante après achat
- Mettez à niveau la bande passante de votre instrument ultérieurement.
- Vous pouvez facilement mettre à niveau la bande passante analogique des produits après l'achat initial. Les mises à niveau de la bande passante s'achètent en fonction du nombre d'entrées FlexChannel, de la bande passante actuelle et de la bande passante souhaitée.
Tous les modèles peuvent être mis à niveau sur le terrain vers n'importe quelle bande passante.
| Modèle d'oscilloscope possédé | Produit de mise à niveau de la bande passante | Option de mise à niveau | Description de l'option de mise à niveau |
|---|---|---|---|
| MSO44B | SUP4B-BW4 | 4B-BW2T3-4 | Licence ; mise à niveau de la bande passante ; mise à niveau de la bande passante de 200 MHz à 350 MHz sur un modèle (4) voies FlexChannel ; nœud verrouillé |
| 4B-BW2T5-4 | Licence ; mise à niveau de la bande passante ; mise à niveau de la bande passante de 200 MHz à 500 MHz sur un modèle (4) voies FlexChannel ; nœud verrouillé | ||
| 4B-BW2T10-4 | Licence ; mise à niveau de la bande passante ; mise à niveau de la bande passante de 200 MHz à 1 GHz sur un modèle (4) voies FlexChannel ; nœud verrouillé | ||
| 4B-BW2T15-4 | Licence ; mise à niveau de la bande passante ; mise à niveau de la bande passante de 200 MHz à 1,5 GHz sur un modèle (4) voies FlexChannel ; nœud verrouillé | ||
| 4B-BW3T5-4 | Licence ; mise à niveau de la bande passante ; mise à niveau de la bande passante de 350 MHz à 500 MHz sur un modèle (4) voies FlexChannel ; nœud verrouillé | ||
| 4B-BW3T10-4 | Licence ; mise à niveau de la bande passante ; mise à niveau de la bande passante de 350 MHz à 1 GHz sur un modèle (4) voies FlexChannel ; nœud verrouillé | ||
| 4B-BW3T15-4 | Licence ; mise à niveau de la bande passante ; mise à niveau de la bande passante de 350 MHz à 1,5 GHz sur un modèle (4) voies FlexChannel ; nœud verrouillé | ||
| 4B-BW5T10-4 | Licence ; mise à niveau de la bande passante ; mise à niveau de la bande passante de 500 MHz à 1 GHz sur un modèle (4) voies FlexChannel ; nœud verrouillé | ||
| 4B-BW5T15-4 | Licence ; mise à niveau de la bande passante ; mise à niveau de la bande passante de 500 MHz à 1,5 GHz sur un modèle (4) voies FlexChannel ; nœud verrouillé | ||
| 4B-BW10T15-4 | Licence ; mise à niveau de la bande passante ; mise à niveau de la bande passante de 1 GHz à 1,5 GHz sur un modèle (4) voies FlexChannel ; nœud verrouillé | ||
| MSO46B | SUP4B-BW6 | 4B-BW2T3-6 | Licence ; mise à niveau de la bande passante ; mise à niveau de la bande passante de 200 MHz à 350 MHz sur un modèle (6) voies FlexChannel ; nœud verrouillé |
| 4B-BW2T5-6 | Licence ; mise à niveau de la bande passante ; mise à niveau de la bande passante de 200 MHz à 500 MHz sur un modèle (6) voies FlexChannel ; nœud verrouillé | ||
| 4B-BW2T10-6 | Licence ; mise à niveau de la bande passante ; mise à niveau de la bande passante de 200 MHz à 1 GHz sur un modèle (6) voies FlexChannel ; nœud verrouillé | ||
| 4B-BW2T15-6 | Licence ; mise à niveau de la bande passante ; mise à niveau de la bande passante de 200 MHz à 1,5 GHz sur un modèle (6) voies FlexChannel ; nœud verrouillé | ||
| 4B-BW3T5-6 | Licence ; mise à niveau de la bande passante ; mise à niveau de la bande passante de 350 MHz à 500 MHz sur un modèle (6) voies FlexChannel ; nœud verrouillé | ||
| 4B-BW3T10-6 | Licence ; mise à niveau de la bande passante ; mise à niveau de la bande passante de 350 MHz à 1 GHz sur un modèle (6) voies FlexChannel ; nœud verrouillé | ||
| 4B-BW3T15-6 | Licence ; mise à niveau de la bande passante ; mise à niveau de la bande passante de 350 MHz à 1,5 GHz sur un modèle (6) voies FlexChannel ; nœud verrouillé | ||
| 4B-BW5T10-6 | Licence ; mise à niveau de la bande passante ; mise à niveau de la bande passante de 500 MHz à 1 GHz sur un modèle (6) voies FlexChannel ; nœud verrouillé | ||
| 4B-BW5T15-6 | Licence ; mise à niveau de la bande passante ; mise à niveau de la bande passante de 500 MHz à 1,5 GHz sur un modèle (6) voies FlexChannel ; nœud verrouillé | ||
| 4B-BW10T15-6 | Licence ; mise à niveau de la bande passante ; mise à niveau de la bande passante de 1 GHz à 1,5 GHz sur un modèle (6) voies FlexChannel ; nœud verrouillé |

