
Kontaktaufnahme
Live-Chat mit Tektronix-Vertretern. Verfügbar von 9 bis 17 Uhr CET Geschäftstage.
Kontaktieren Sie uns telefonisch unter
Verfügbar von 9 bis 17 Uhr CET Geschäftstage.
Download
Laden Sie Handbücher, Datenblätter, Software und vieles mehr herunter:
Feedback
Spektrumanalysator
Transportable Spektrumanalysatoren der Baureihe RSA500A – Datenblatt
Weitere Informationen
- Echtzeit-Spektrumanalysatoren der Serie RSA500
- Produkt-Support
- Weitere Spektrumanalysator und Signalanalysator kaufen Modelle entdecken
Online lesen:
Bei den USB-Spektrumanalysatoren der Baureihe RSA500A handelt es sich um batteriebetriebene transportable Hochleistungs-Spektrumanalysatoren in einem robusten Gehäuse.
Merkmale und Vorteile
- großer Frequenzbereich von 9 kHz bis 3,0/7,5 GHz für eine breite Palette von Analyseanforderungen
- 40 MHz Erfassungsbandbreite ermöglicht die Echtzeitanalyse zur Erfassung von Transienten und zur Vektoranalyse
- GPS/GLONASS/Beidou-Standardempfänger zur Kartendarstellung
- optionaler Mitlaufgenerator für Gewinn-/Verlust-, Antennen- und Kabelmessungen
- Streaming-Erfassung kann zur Aufzeichnung und Wiedergabe von Langzeitereignissen verwendet werden
- Umgebungs-, Stoß- und Schwingungsspezikationen gemäß MIL-STD-28800 Klasse 2 für den Einsatz unter rauen Bedingungen
- integrierter Akku zur Verlängerung der Nutzungszeit vor Ort
- Die SignalVu-PC-Software bietet eine Echtzeit-Signalverarbeitung mit DPX-Spektrum/Spektrogramm, sodass Sie die Zeit zur Suche nach transienten und anderen Störungen auf ein Minimum beschränken können.
- Eine Mindestsignaldauer von 100 μs führt zu einer Erfassungswahrscheinlichkeit von 100 %, sodass Sie Probleme bereits bei der ersten Signalerfassung erkennen.
- Anwendungsprogrammierschnittstelle zur Entwicklung von benutzerdefinierten Programmen
- Zubehör, zu dem unter anderem Tablet-Computer, Kalibriersätze, Adapter und phasenstabile Kabel gehören, ermöglicht die Zusammenstellung von kompletten Lösungen für den Feldeinsatz zur Störungssuche und Senderwartung.
Anwendungsgebiete
- Spektrumverwaltung
- Störungsortung
- Installation, Instandhaltung und Reparatur von Funknetzen
Der RSA500 spart Zeit und trägt zu erfolgreicher Arbeit bei
Die Baureihe RSA500 wurde entwickelt, um Spektrumverantwortlichen, Störungssuchern und Netzwerkverantwortlichen, die Störquellen ausfindig machen, HF-Netze betriebsfähig halten und ihre Aktivitäten nachweisen müssen, die Lösung von Problemen mithilfe der Echtzeit-Spektrumanalyse zu erleichtern. Das Kernstück des Systems ist ein USB-HF-Spektrumanalysator, der auch unter rauen Umgebungsbedingungen Bandbreiten von 40 MHz sehr genau erfasst. Bei einem Dynamikbereich von 70 dB und einer Frequenzobergrenze von 7,5 GHz können Sie alle interessierenden Signale untersuchen und den Messergebnissen absolut vertrauen. Dank des USB-Formfaktors müssen Sie kein schweres Gerät mehr halten, sondern lediglich einen leichten Windows-Tablet- oder -Notebook-Computer. Einen leichten PC anstelle eines schweren Spektrumanalysators in der Hand zu halten bedeutet, dass Sie sich längerer Zeit schneller bewegen und Ihre Arbeit schneller erledigen können.
Der optionale Mitlaufgenerator ermöglicht Verstärkungs- und Verlustmessungen zur schnellen Überprüfung von Filtern, Duplexern und anderen Netzkomponenten. Und Sie können nach Bedarf Kabel- und Antennenmessungen von Stehwellenverhältnis, Reflexionsdämpfung, Entfernung bis zum Defekt und Kabelverlust vornehmen.
Die SignalVu-PC-Software bietet umfangreiche Analysefunktionen für den Einsatz vor Ort
Die Modelle der RSA500-Serie laufen mit SignalVu-PC, einem leistungsstarken Programm, das als Grundlage der herkömmlichen Spektrumanalysatoren von Tektronix verwendet wird. SignalVu-PC bietet Funktionen für tief gehende Analysen, die bisher bei Hochleistungslösungen mit Akkubetrieb nicht verfügbar waren. Durch die Echtzeitverarbeitung von Spektren/Spektrogrammen mit DPX-Technologie auf Ihrem PC werden die Hardwarekosten noch weiter reduziert. Kunden, die Programmierzugang zum Gerät benötigen, können entweder die Programmierschnittstelle von SignalVu-PC wählen oder die im Lieferumfang enthaltene Programmierschnittstelle (API) verwenden, die eine umfassende Auswahl von direkten Befehlen und Messungen bietet. Die Basisfunktionen der kostenlosen SignalVu-PC-Software sind bereits äußerst umfangreich. Nachstehend sind Messungen der Basisversion dargestellt.
Der RSA500A in Verbindung mit SignalVu-PC bietet erweiterte Möglichkeiten für Messungen vor Ort
Mit einer Echtzeitbandbreite von 40 MHz zeigt das einzigartige DPX-Spektrum/Spektrogramm jede auftretende Störung und jedes unbekannte Signal bis zu einer kleinsten Signaldauer von 100 µs. Die nachfolgende Abbildung zeigt eine WLAN-Übertragung (grün und orange), wobei die sich in der Anzeige wiederholenden schmalen Signale von einem Bluetooth-Modul stammen. Im Spektrogramm (oberer Teil der Anzeige) werden diese Signale zeitlich klar getrennt, um etwaige Signalkollisionen aufzuzeigen.

Dank der unbeaufsichtigten Maskenüberwachung ist das Auffinden unerwarteter Signale ganz einfach. Auf der die DPX-Spektrumanzeige können Sie eine Maske anlegen. Bei jeder Verletzung können bestimmte Maßnahmen ergriffen werden, unter anderem Stopp, Speichern eines Bildes, Speichern einer Erfassung oder Senden eines akustischen Alarms. In der folgenden Abbildung ist eine Maskenverletzung aufgetreten, die auf der Maske rot gekennzeichnet ist. Im Ergebnis der Verletzung wurde eine Bildschirmaufnahme gespeichert. Maskentests können zur unbeaufsichtigten Überwachung verwendet werden. Bei der Wiedergabe aufgezeichneter Signale können an denselben Signalen Tests auf unterschiedliche Maskenverletzungen durchgeführt werden.

Peilungs- und Signalstärkemessungen lassen sich mit der Standardsoftware SignalVu-PC schnell und einfach durchführen. In der folgenden Abbildung überwacht ein Kompass unter Verwendung der als Zubehör erhältlichen intelligenten Alaris-Antenne die Antennenausrichtung, während die Signalstärkeüberwachung Messungen durchführt und die Signalstärke akustisch anzeigt. In Verbindung mit der Option MAP für SignalVu-PC werden Signalstärke und Azimut automatisch auf der von Ihnen ausgewählten Karte abgelegt.

Der Mitlaufgenerator (Option 04 beim RSA500 ) wird über SignalVu-PC gesteuert. Hier können Sie Start-Stopp-Frequenzen eingeben, die Anzahl der Schritte in der Spanne einstellen, den Referenzpegel anpassen und den Mitlaufgenerator mit einer Kalibrierfunktion normalisieren. In der folgenden Abbildung ist das Verhalten eines Bandpassfilters zwischen 800 MHz und 3 GHz dargestellt.

SignalVu-PC – anwendungsspezifische Lizenzen
SignalVu-PC bietet zahlreiche anwendungsorientierte Optionen, unter anderem:
- Allgemeine Modulationsanalyse (27 Modulationstypen, darunter 16/32/64/256 QAM, QPSK, O-QPSK, GMSK, FSK, APSK)
- Bluetooth®-Analyse bei Low Energy, Basic Rate und Enhanced Data Rate
- P25-Analyse von Signalen Phase I und Phase 2
- WLAN-Analyse von 802.11a/b/g/j/p, 802.11n, 802.11ac
- Messung von Kennung und HF bei LTE™-FDD- und TDD-Basisstationszellen (eNB) (Option SV28)
- Kartierung
- Pulsanalyse
- AM/FM/PM/Direct-Audio Messung, einschließlich SINAD, THD
- Wiedergabe aufgezeichneter Daten mit vollständiger Analyse in allen Bereichen
- Signaluntersuchung und -klassifizierung
Ausführliche Details und Bestellinformationen finden Sie im separaten SignalVu-PC-Datenblatt. Nachstehend werden ausgewählte Anwendungen erläutert.
APCO 25
Die SignalVu-PC-Anwendung SV26 ermöglicht schnelle normgerechte Kontrollen des Senderzustands anhand von APCO-P25-Signalen. Die folgende Abbildung zeigt ein HCPM-Signal, Phase II, das mit dem Spektrumanalysator auf Anomalien überwacht wird, während Messungen der Senderleistung, Modulation und Frequenz gemäß den Vorgaben der Norm TIA-102 durchgeführt werden.

LTE
Die Anwendung SV28 ermöglicht die folgenden Messungen am Sender einer LTE-Basisstation:
- Cell-ID
- Kanalleistung
- Belegte Bandbreite
- Nachbarkanalleistung (ACLR)
- Spektrumemissionsmaske (SEM)
- Sender-Abschaltleistung für TDD
Die Messungen entsprechen der Definition in 3GPP TS Version 12.5 und unterstützen alle Kategorien von Basisstationen (auch Picocells und Femtocells). Es werden Pass/Fail-Informationen gemeldet, und alle Kanalbandbreiten werden unterstützt.
Die Cell-ID-Voreinstellung zeigt das primäre Synchronisierungssignal (PSS) und das sekundäre Synchronisierungssignal (SSS) in einem Konstellationsdiagramm. Außerdem wird der Frequenzfehler dargestellt.
Die folgende Abbildung zeigt eine Spektralüberwachung, bei der die Spektrogrammanzeige mit Messungen von Cell-ID/-Konstellation, Spektrumemissionsmaske und ACLR kombiniert ist.


Rückflussdämpfung/VSWR, Abstand zum Fehler und Kabeldämpfung – Führen Sie Komponentencharakterisierungsaufgaben einfach und kostengünstig durch. Mit dem Mitlaufgenerator (Option 04) führt die Baureihe RSA500A mit Anwendungslizenz SV60xx-SVPC an einem Anschluss Messungen an Kabeln, Geräten und Antennen durch.
Rückflussdämpfung eines Bandpassfilters gemessen von 700 MHz bis 2,6 GHz. Bei 1,48 GHz (-34,4 dB Rückflussdämpfung) und bei 1,73 GHz (-11,68 dB Rückflussdämpfung) wurden Markierungen gesetzt, die die beste und schlechteste Passung im Passband des Filters anzeigen
Wiedergabe
Anwendung SV56 - die Wiedergabe aufgezeichneter Signale kann stundenlanges Beobachten in Echtzeit und Warten auf eine Spektralverletzung auf wenige Minuten verkürzen.
Die Aufzeichnungslänge wird nur durch die Größe des Speichermediums begrenzt. Die Aufzeichnung ist eine Grundfunktion von SignalVu-PC. Die SignalVu-PC-Anwendung SV56 (Wiedergabe) ermöglicht die vollständige Analyse aller SignalVu-PC-Messungen (auch das DPX-Spektrogramm). Die Angaben für die Mindestsignaldauer werden auch während der Wiedergabe eingehalten. AM-/FM-Audiodemodulation ist möglich. Es stehen variable Messbereiche, Auflösungsbandbreiten, Analysedauern und Bandbreiten zur Verfügung. An aufgezeichneten Signalen können Frequenzmaskentests ausgeführt werden, und bei Maskenverletzungen werden bestimmte Aktionen ausgeführt (z. B. Signalton, Anhalten, Speichern einer Kurve, eines Bildes und Speichern von Daten). Teile der Wiedergabe lassen sich auswählen und zur wiederholten Untersuchung der Signale in einer Endlosschleife wiedergeben. Die Wiedergabe kann ohne Überspringen erfolgen, oder es können Zeitlücken zur Verkürzung der Prüfdauer eingefügt werden.
Die Markierungen im Spektrogramm zeigen die Uhrzeit der Aufzeichnung, sodass ein Zusammenhang mit Ereignissen in der realen Welt hergestellt werden kann. In der nachfolgenden Abbildung ist das FM-Band gezeigt, wobei eine Maske zur Erkennung von Spektralverletzungen dient. Gleichzeitig wird das FM-Signal bei einer Mittenfrequenz von 92,3 MHz erfasst.

Kartierung
Die Anwendung SignalVu-PC-MAP ermöglicht die Störungssuche und Standortanalyse. Sie können Störungen mit einer Azimutfunktion lokalisieren, indem Sie in einer zugeordneten Messung eine Linie oder einen Pfeil zeichnen, um die Ausrichtung anzugeben. Oder Sie verwenden die als Zubehör erhältliche intelligente Alaris-Antenne mit der automatischen Azimutplatzierung.

Signaluntersuchung und -klassifizierung
Die Anwendung SV54 unterstützt den Benutzer mithilfe einer Anleitung auf der Basis eines Expertensystems bei der Klassifizierung von Signalen. Benutzer können schnell eine zu untersuchende Spektralregion erzeugen und Signale auf effiziente Weise klassifizieren und sortieren. Wird die Spektralprofilmaske über einen Strahl gelegt, dient sie als Orientierung in Bezug auf die Signalform, während Frequenz, Bandbreite und Kanalnummer angezeigt werden, sodass das Signal schnell klassifiziert werden kann. WLAN-, GSM-, W-CDMA-, CDMA-Signale, normale Bluetooth-Signale und Bluetooth-Enhanced-Data-Rate-Signale, LTE-FDD- und LTE-TDD- sowie ATSC-Signale und weitere Signale können einfach und schnell identifiziert werden. Zur Vereinfachung des Übergangs auf die neue Softwarebasis können Datenbanken aus Ihrer H500-/RSA2500-Signaldatenbankbibliothek importiert werden.
Nachstehend ist eine typische Signaluntersuchung dargestellt. Die Untersuchung zeigt einen Teil des Fernsehempfangsbands, bei der 7 Bereiche als entweder „Zulässig“, „Unbekannt“ oder „Unzulässig“ eingestuft wurden, wobei diese Einstufung durch die Farbbalken für jeden Bereich angezeigt wird. In der Detailansicht wurde eine Region ausgewählt. Da es sich bei diesem Signal um ein ATSC-Videosignal handelt, wurde in dem Bereich die Spektralmaske für ATSC-Signale über das Videosignal gelegt. Das Signal stimmt mit der Spektralmaske fast überein, einschließlich des Trägerrestes an der Unterseite des Signals, der typisch für ATSC-Aussendungen ist.



Rückführungsdämpfung/Stehwellenverhältnis, Entfernung zum Fehler und Kabeldämpfung – Einfache Durchführung von Wartungs- und Fehlerbehebungsaufgaben. Mit dem Mitlaufgenerator (Option 04) führt die Baureihe RSA500A mit Anwendungslizenz SV60xx-SVPC an einem Anschluss Messungen an Kabeln, Geräten und Antennen durch.

Rückführungsdämpfung über Entfernung für ein Kabel mit eingestecktem Hohlstecker und Verlängerungskabel. Der Punkt bei M2 (17,638 m, MR) ist der Hohlstecker und der als M1 gekennzeichnete Punkt bei 19,725 m ist das Ende des Kabels.
Rückflussdämpfung eines Bandpassfilters gemessen von 700 MHz bis 2,6 GHz. Bei 1,48 GHz (-34,4 dB Rückflussdämpfung) und bei 1,73 GHz (-11,68 dB Rückflussdämpfung) wurden Markierungen gesetzt, die die beste und schlechteste Passung im Passband des Filters anzeigen.
Geräte-Controller für USB-Spektrumanalysatoren
Eine Komplettlösung zur Arbeit vor Ort erfordert einen Windows-Tablet- oder Notebook-Computer zur Gerätebedienung, Speicherung von Aufzeichnungen und zum Datenaustausch. Tektronix bietet den Tablet-Computer Panasonic FZ-G1 als Option zum RSA500 und als eigenständiges Gerät an.

Der bei Tektronix erhältliche FZ-G1 enthält die vorinstallierte Software SignalVu-PC mit kundenspezifisch programmierten Anzeigeeinstellungen und Bedienfeldtasten zur optimalen Nutzung der Software SignalVu-PC. Darüber hinaus hat Tektronix den FZ-G1 getestet, um zu gewährleisten, dass diese Konfiguration dem angegebenen Echtzeitverhalten aller USB-Spektrumanalysatoren entspricht. Außerdem sind bei Tektronix Zubehörteile erhältlich, darunter Akkupacks, Gerätekoffer und Kfz-Adapter.
Wichtige technische Daten des Geräte-Controllers
- Betriebssystem Windows 7 (Win8 Pro COA)
- Prozessor Intel® Core i5-5300U, 2,30 GHz (i5-4310U, 2,00 GHz, in China)
- 32 GB RAM
- Halbleiterlaufwerk, 256 GB
- 10,1"-Anzeige (25,6 cm), bei Tageslicht ablesbar
- 10-Punkt-Digitalisierbildschirm „Multi Touch+“ plus Stiftschnittstelle
- USB-3.0- und HDMI-Anschluss, 2. USB-Anschluss
- Wi-Fi, Bluetooth® und Mehrfachträger-Breitbandmobilfunk 4G-LTE mit Satelliten-GPS
- MIL-STD-810G-zertifiziert (1,3 m Fallhöhe, Stoß, Vibration, Regen, Staub, Sand, geographische Höhe, Frost/Tauen, hohe/niedrige Temperatur, Temperaturschock, Feuchte, exklusive Atmosphäre)
- Schutzart IP 65, Schutz gegen Eindringen von Staub und Wasser bei vorübergehender Überflutung
- integriertes Mikrofon
- integrierter Lautsprecher
- Bildschirm- und Hardwaretasten für Lautstärkeregelung und Stummschaltung •
- integrierte Sicherungsbatterie zum Wechsel von Akkupacks während des Betriebs
- 3 Jahre Garantie bei Business Class Support (durch Panasonic in Ihrer Region)
Intelligente Antenne zur Störungssuche
Tektronix bietet die intelligente Alaris-Antenne DFA-00471mit integriertem USB-Kompass für Peilungen und zur Störungssuche an. Alle Einzelheiten über die Antenne finden Sie im Alaris-Datenblatt auf Tek.com. Suchen Sie auf der Website nach dem Stichwort „Alaris“. Nachstehend finden Sie eine Zusammenfassung der Funktionen und technischen Daten.
- Frequenzbereich: 20 MHz - 8,5 GHz
- Erweiterung auf 9 kHz bis 20 MHz erhältlich (0,3-m-Peilantenne), Bestellnummer DF-A0047-01 1
- Triggerauslöser für Einhandbedienung mit Funktionen für:
- Vorverstärker Ein/Aus
- Bandumschalter
- Zur Messung mit SignalVu-PC mit MAP-Option drücken
- Verlängerung der Standardarmlehne zur Bedienungserleichterung bei langwieriger Störungssuche
- Transportkoffer erhältlich

Intelligente Alaris-Peilantenne
1Alaris-Antenne und Panasonic-Tabellen-Computer sind in manchen Regionen nicht erhältlich. Einzelheiten finden Sie in den Bestellinformationen.
Kalibriersätze, phasenstabilisierte Kabel, Adapter, Antennen und weiteres Zubehör
Tektronix bietet zahlreiche Zubehörteile an, um Ihnen die Zusammenstellung der Komplettlösung für den Feldeinsatz zu erleichtern. Einzelheiten finden Sie im Abschnitt mit den Bestellinformationen.


Das RSA56RACK beherbergt einen RSA500A für Anwendungen mit Gestelleinbau

Der RSA500TRANSIT-Koffer bietet Platz für das Gerät in der Tragetasche, einen Tablet-PC, das Netzteil und Zubehör.

Die Tragetasche PN 016-2109-01 ist standardmäßig im Lieferumfang jedes RSA500A enthalten und bietet Platz für das Gerät, einen Tablet-PC und Zubehör
Technische Daten
Alle technischen Daten sind garantiert, sofern nicht anderweitig angegeben. Alle technischen Daten gelten für alle Modelle, falls nicht anderes angegeben.
Frequenz
- Frequenzbereich
-
- RSA503A
- 9 kHz bis 3 GHz
- RSA507A
- 9 kHz bis 7,5 GHz
- Genauigkeit der Messwerte von Frequenzmarkierungen
-
±(RE × MF + 0,001 × Spanne) Hz
RE: Referenzfrequenzfehler
MF: Markierungsfrequenz [Hz]
- Genauigkeit der Frequenzreferenz
-
- Anfangsgenauigkeit bei Kalibrierung (30 min Warmlaufzeit)
-
±1 x 10-6
- Alterung im ersten Jahr, typisch
- ±1 x 10-6 (1 Jahr)
- Kumulativer Fehler (Anfangsgenauigkeit + Temperatur + Alterung), typisch
- 3 x 10-6 (1 Jahr)
- Temperaturdrift
- ±0,9 x 10-6 (-10 °C bis 60 °C)
- Externer Referenzeingang
- BNC-Steckverbinder, 50 Ω Nennwiderstand
- Externe Referenz-Eingangsfrequenz
-
Alle 1 MHz zwischen 1 und 20 MHz plus: 1,2288 MHz, 2,048 MHz, 2,4576 MHz, 4,8 MHz, 4,9152 MHz, 9,8304 MHz, 13 MHz und 19,6608 MHz.
Der Störsignalpegel des Eingangssignals muss innerhalb eines Offsets von 100 kHz kleiner als -80 dBc sein, damit auf dem Bildschirm keine Störsignale angezeigt werden.
- Externer Referenzeingangsbereich
- ±5 ppm
- Externer Referenzeingangspegel
- -10 bis +10 dBm
GNSS
1Getestet mit GPS-System.
2Zur Verwendung mit einer Stabilität von ±0,025 ppm sollte das Gerät nach dem Auspacken für zwei bis fünf Tage kontinuierlich eingeschaltet sein.
3Getestet mit GPS-System.
4Für 24 Stunden kontinuierlichen Betrieb innerhalb der Temperaturgrenzwerte (siehe Fußnoten 5 und 6) nach GNSS-Training. Siehe kumulative Fehlerspezifikation bei Betrieb im GNSS-trainierten Modus mehr als 24 Stunden nach dem letzten Training.
5Bei einer Änderung der Umgebungstemperatur um weniger als 3 °C nach dem Training.
6Bei einer Änderung der Umgebungstemperatur um weniger als 10 °C nach dem Training.
HF-Eingang
- HF-Eingang
-
- HF-Eingangsimpedanz
- 50 Ω
- HF-Stehwellenverhältnis (HF-Dämpfung = 20 dB), typisch
-
< 1,2 (10 MHz bis 3 GHz)
< 1,5 (>3 GHz bis 7,5 GHz)
- HF-Stehwellenverhältnis, Vorverstärker eingeschaltet, RSA503A und RSA507A,typisch
-
< 1,5 (10 MHz bis 6 GHz, HF-Dämpfung = 10 dB, Vorverstärker eingeschaltet)
< 1,7 (> 6 GHz bis 7,5 GHz, HF-Dämpfung = 10 dB, Vorverstärker eingeschaltet)
- Maximaler HF-Eingangspegel
-
- Maximale Gleichspannung
- ±40 V (HF-Eingang)
- Maximale sichere Eingangsleistung
-
+33 dBm (HF-Eingang, 10 MHz bis 7,5 GHz, HF-Dämpfung ≥ 20 dB)
+13 dBm (HF-Eingang, 9 kHz bis 10 MHz)
+20 dBm (HF-Eingang, HF-Dämpfung < 20 dB)
- Maximale sichere Eingangsleistung (Vorverstärker eingeschaltet)
-
+33 dBm (HF-Eingang, 10 MHz bis 7,5 GHz, HF-Dämpfung ≥ 20 dB)
+13 dBm (HF-Eingang, 9 kHz bis 10 MHz)
+20 dBm (HF-Eingang, HF-Dämpfung < 20 dB)
- Maximale messbare sichere Eingangsleistung
-
+30 dBm (HF-Eingang, ≥10 MHz bis Fmax, HF-Dämpfung Auto)
+20 dBm (HF-Eingang, <10 MHz, HF-Dämpfung Auto)
- HF-Dämpfungsglied am Eingang
- 0 dB bis 51 dB (in Schritten von 1 dB)
Amplitude und HF
- Amplitude und HF-Flachheit
-
- Referenzpegel-Einstellbereich
- -170 dBm bis +40 dBm, in Schritten von 0,1 dB, (Standard-HF-Eingang)
- Frequenzgang bei 18 ℃ bis 28 ℃ (HF-Dämpfungsglied auf 10 dB eingestellt)
-
Amplitudengenauigkeit bei allen Mittenfrequenzen 18 ⁰C bis 28 ⁰C
18 ⁰C bis 28 ⁰C, typisch (95 % statistische Sicherheit)
-10 ⁰C bis 55 ⁰C, typisch
9 kHz ≤ 3,0 GHz ±0,8 dB ±0,2 dB ±1,0 dB > 3 bis 7,5 GHz ±1,5 dB ±0,6 dB ±2,0 dB - Amplitudengenauigkeit bei allen Mittenfrequenzen – Vorverstärker eingeschaltet (18 ℃ bis 28 ℃, HF-Dämpfungsglied auf 10 dB eingestellt)
-
Mittenfrequenzbereich 18 ⁰C bis 28 ⁰C
18 ⁰C bis 28 ⁰C, typisch (95 % statistische Sicherheit)
18 ⁰C bis 28 ⁰C, typisch
100 kHz bis ≤ 3,0 GHz ±1,0 dB ±0,5 dB ±1,0 dB > 3 bis 7,5 GHz ±1,75 dB ±0,75 dB ±3,0 dB - Vorverstärkung
-
27 dB bei 2 GHz
21 dB bei 6 GHz (RSA507A)
- Kanalansprechverhalten (Amplituden- und Phasenabweichung), typisch
-
Verwenden Sie bei diesen Angaben ein Fenster mit einem flachen Kurvendach, um eine maximale Genauigkeit der Überprüfung der Dauerstrichamplitude zu erhalten, wobei das HF-Dämpfungsglied auf 10 dB eingestellt ist.
-
Merkmal Beschreibung Mittenfrequenz der Messung Wobbelhub Amplitudenebenheit, typisch Amplitudenebenheit, Effektivwert, typisch Phasenlinearität, Effektivwert, typisch 9 kHz bis 40 MHz ≤40 MHz 1 ±1,0 dB 0,60 dB >40 MHz bis 4,0 GHz ≤20 MHz ±0,10 dB 0,08 dB 0.3° >4 GHz bis 7,5 GHz ≤20 MHz ±0,35 dB 0,20 dB 0.7° >40 MHz bis 4 GHz ≤40 MHz ±0,15 dB 0,08 dB 0.6° >4 GHz bis 7,5 GHz ≤40 MHz ±0,40 dB 0,20 dB 1.0°
1Die Spanne darf sich nicht über die Frequenzuntergrenze des Gerätes erstrecken.
Trigger
- Trigger-/Sync-Eingang, typisch
-
Spannungsbereich: TTL, 0,0 V bis 5,0 V
Triggerpegel (Schmitt-Trigger):
Positive Schwellenwertspannung: min. 1,6 V, max. 2,1 V
Negative Schwellenwertspannung: min. 1,0 V, max. 1,35 V
Impedanz: 10 kOhm mit Begrenzung durch Schottky-Dioden auf 0 V, +3,4 V
- Zeitliche Ungenauigkeit externer Trigger
-
>20 MHz bis 40 MHz Erfassungsbandbreite: ±250 ns
Mit abnehmender Erfassungsbandbreite erhöht sich die Ungenauigkeit.
- Leistungstrigger
-
- Leistungstrigger, typisch
-
Bereich: 0 dB bis -50 dB ab Referenzpegel, bei einem Triggerpegel von > 30 dB über dem Grundrauschen
Typ: Ansteigende oder abfallende Flanke
Trigger-Totzeit: ≤ 100 μs
- Zeitliche Ungenauigkeit der Leistungstriggerposition
-
>20 MHz bis 40 MHz Erfassungsbandbreite: ±250 ns
Mit abnehmender Erfassungsbandbreite erhöht sich die Ungenauigkeit.
- Genauigkeit des Leistungstriggerpegels
-
±1,5 dB bei Dauerstrichsignal auf der abgestimmten Mittenfrequenz für Triggerpegel von > 30 dB über dem Grundrauschen.
Diese Angabe gilt zusätzlich zur Ungenauigkeit der Gesamt-Amplitudengenauigkeit im SA-Modus.
Rauschen und Verzerrung

- Erfassungspunkt dritter Ordnung (TOI)
- +12 dBm bei 2130 GHz
- Erfassungspunkt dritter Ordnung (TOI),
-
- Vorverstärker ausgeschaltet, typisch
-
+10 dBm (9 kHz bis 25 MHz)
+15 dBm (25 MHz bis 3 GHz)
+15 dBm (3 GHz bis 4 GHz, RSA507A)
+10 dBm (4 GHz bis 7,5 GHz, RSA507A)
- Vorverstärker eingeschaltet, typisch
-
-20 dBm (9 kHz bis 25 MHz)
-15 dBm (25 MHz bis 3 GHz)
-15 dBm (3 GHz bis 4 GHz, RSA507A)
-20 dBm (4 GHz bis 7,5 GHz, RSA507A)
- Intermodulationsverzerrungen 3. Ordnung
-
-74 dBc bei 2,130 GHz
Jeder Signalpegel -25 dBm am HF-Eingang. 2-MHz-Signaltrennung. Dämpfungsglied = 0, Referenzpegel = -20 dBm.
- Intermodulationsverzerrungen 3. Ordnung
-
- Vorverstärker ausgeschaltet, typisch
-
< -70 dBc (10 kHz bis 25 MHz)
< -80 dBc (25 MHz bis 3 GHz)
< -80 dBc (3 GHz bis 4 GHz)
< -70 dBc (4 GHz bis 6 GHz, RSA507A)
< -70 dBc (6 GHz bis 7,5 GHz, RSA507A)
Jeder Signalpegel -25 dBm am HF-Eingang. 2-MHz-Signaltrennung. Dämpfungsglied = 0, Referenzpegel = -20 dBm.
- Vorverstärker eingeschaltet, typisch
-
< -70 dBc (9 kHz bis 25 MHz)
< -80 dBc (25 MHz bis 3 GHz)
< -80 dBc (3 GHz bis 4 GHz)
< -70 dBc (4 GHz bis 6 GHz, RSA507A)
< -70 dBc (6 GHz bis 7,5 GHz, RSA507A)
Jeder Signalpegel -55 dBm am HF-Eingang. 2-MHz-Signaltrennung. Dämpfungsglied = 0, Referenzpegel = -50 dBm.
- 2. Harmonische, Verzerrung, typisch
-
- 2. Harmonische, Verzerrung
-
< -75 dBc (40 MHz bis 1,5 GHz)
< -75 dBc (1,5 GHz bis 3,75 GHz, RSA507A)
- 2. Harmonische, Verzerrung, Vorverstärker eingeschaltet
-
< -60 dBc, 40 MHz bis 13,5 GHz, Eingangsfrequenz
- Erfassung der Verzerrung durch die 2. Harmonische (SHI)
-
+35 dBm, 40 MHz bis 1,5 GHz, Eingangsfrequenz
+35 dBm, 1, GHz bis 3,75 GHz, Eingangsfrequenz
- Erfassung der Verzerrung durch die 2. Harmonische (SHI), Vorverstärker eingeschaltet
-
+15 dBm, 40 MHz bis 3,75 GHz, Eingangsfrequenz
- Angezeigter mittlerer Rauschpegel (DANL)
-
(Normalisiert auf 1 Hz Auflösungsbandbreite, mit Mittelwert-Protokollierungserkennung)
Frequenz bereich Vorverstärker eingeschaltet Vorverstärker eingeschaltet, typisch Vorverstärker ausgeschaltet, typisch 500 kHz bis 1 MHz -138 dBm/Hz -145 dBm/Hz -130 dBm/Hz 1 MHz bis 25 MHz -153 dBm/Hz -158 dBm/Hz -130 dBm/Hz >25 MHz bis 1 GHz -161 dBm/Hz -164 dBm/Hz -141 dBm/Hz >1 GHz bis 2 GHz -159 dBm/Hz -162 dBm/Hz -141 dBm/Hz >2 GHz bis 3 GHz -156 dBm/Hz -159 dBm/Hz -138 dBm/Hz >3 GHz bis 4,2 GHz, RSA507A -153 dBm/Hz -156 dBm/Hz -138 dBm/Hz >4,2 GHz bis 6 GHz, RSA507A -159 dBm/Hz -162 dBm/Hz -147 dBm/Hz >6 GHz bis 7,5 GHz, RSA507A -155 dBm/Hz -158 dBm/Hz -145 dBm/Hz
Phasenrauschen
- Phasenrauschen
-
Offset 1 GHz Mittenfrequenz 1 GHz Mittenfrequenz (typisch) 2 GHz Mittenfrequenz (typisch) 6 GHz Mittenfrequenz, (RSA507A)
(typisch)10 MHz (typisch) 10 kHz -94 dBc/Hz -97 dBc/Hz -96 dBc/Hz -94 dBc/Hz -120 dBc/Hz 100 kHz -94 dBc/Hz -98 dBc/Hz -97 dBc/Hz -96 dBc/Hz -124 dBc/Hz 1 MHz -116 dBc/Hz -121 dBc/Hz -120 dBc/Hz -120 dBc/Hz -124 dBc/Hz
Störverhalten
- Rest-Störsignalverhalten (Referenz = -30 dBm, Auflösungsbandbreite = 1 kHz)
-
<-75 dBm (500 kHz bis 60 MHz), typisch
< -85 dBm (>60 MHz bis 80 MHz), typisch
<-100 dBm (>80 MHz bis 7,5 GHz), typisch
- Störsignalverhalten bei Signal (Bildunterdrückung)
-
< -65 dBc (10 kHz bis < 3 GHz, Ref = -30 dBm, Dämpf. = 10 dB, HF-Eingangspegel = -30 dBm, Auflösungsbandbreite = 10 Hz)
< -65 dBc (3 GHz bis 7,5 GHz, Ref = -30dBm, Dämpf. = 10 dB, HF-Eingangspegel = -30 dBm, Auflösungsbandbreite = 10 Hz)
- Störsignalverhalten bei Signal auf der Mittenfrequenz
- Offset ≥ 1 MHz
Frequenz Spanne ≤40 MHz, gewobbelte Spannen >40 MHz Typisch 1 MHz bis 100 MHz -75 dBc 100 MHz bis 3 GHz -72 dBc -75 dBc 3 GHz bis 7,5 GHz (RSA507A) -72 dBc -75 dBc
- Störsignalverhalten bei Signal auf der Mittenfrequenz
- (100 kHz ≤ Offset <1 MHz, Spanne = 2 MHz ):
Frequenz P-TYP (PRI) typisch 1 MHz - 100 MHz -76 dBc 100 MHz - 3 GHz -76 dBc 3 GHz - 7,5 GHz (RSA507A) -74 dBc 1
1Stromversorgungsseitenbänder, 620 - 660 kHz: -67 dBc, typisch
- Störsignalverhalten bei einem anderen Signal als der Mittenfrequenz, typisch
-
Frequenz Spanne ≤40 MHz, gewobbelte Spannen >40 MHz 1 MHz bis 25 MHz (NF-Band) -73 dBc 25 MHz – 3 GHz -73 dBc 3 GHz bis 7,5 GHz (RSA507A) -73 dBc
- Störsignalverhalten bei Signal auf halber ZF1
-
- RSA503A, RSA507A
-
< 75 dBc, (Mittenfrequenz: 30 MHz bis 3 GHz, Ref = -30 dBm, Dämpf. = 10 dB, Auflösungsbandbreite = 10 Hz, Spanne = 10 kHz)
Signalfrequenz = 2310 MHz, HF-Eingangspegel = -30 dBm
- RSA507A
-
< 77 dBc, (Mittenfrequenz 3 GHz bis 7,5 GHz, Ref = -30 dBm, Dämpf. = 10 dB, Auflösungsbandbreite = 10 Hz, Spanne = 10 kHz)
HF-Eingangspegel = -30 dBm
1Dies ist ein Eingangssignal mit der halben Zwischenfrequenz.
- Durchgriff des lokalen Oszillators auf den Eingangssteckverbinder, typisch
-
< -70 dBm, Vorverstärker ausgeschaltet.
< -90 dBm, Vorverstärker eingeschaltet.
Dämpfungsglied = 10 dB.
Erfassung
- IF-Bandbreite
- 40 MHz.
- AD-Wandler
- 14 Bit, 112 MS/s
- Echtzeit-ZF-Erfassungsdaten
- 112 MS/s, 16-Bit-Ganzzahlabtastungen.
ACLR
- Format
- GPS/GLONASS/Beidou
- GPS-Antenne, Stromversorgung
- 3 V, max. 100 mA
- Maximale Zeit bis zur ersten Positionsbestimmung nach dem Einschalten
- Die Synchronisierungszeit reicht von 2 Sekunden (Warmstart) bis 40 Sekunden (Kaltstart).
- Genauigkeit der horizontalen Position
-
GPS: 2,6 m
GLONASS: 2,6 m
Beidou: 10,2 m
GPS + GLONASS: 2,6 m
GPS + Beidou: 2,6 m
Testbedingungen: 24 Std., statisch, -130 dBm, volle Leistung
Mitlaufgenerator (Option 04)
- Mitlaufgenerator (Option 04)
-
- Frequenzbereich
-
9 kHz bis 3 GHz (RSA503)
9 kHz bis 7,5 GHz (RSA507)
- Ablenkgeschwindigkeit
-
6700 MHz/s, 101 Punkte, 50 kHz Auflösungsbandbreite (11 mS pro Punkt)
Gemessen mit einem Panasonic Toughpad FZ-G1, Prozessor Intel® Core™ i5-5300U, 2,3 GHz, 8 GB RAM, SSD 256 GB, Windows®7 Pro.
- Frequenzauflösung
- 100 Hz
- TG-Ausgangsanschluss
- Typ N
- Stehwellenverhältnis
- < 1,8:1, 10 MHz bis 7,5 GHz, -20 dBm Ausgangspegel
- Maximale Ausgangsleistung
- -3 dBm
- Einstellbereich des Ausgangsleistungspegels
- 40 dB
- Schrittweite des Ausgangsleistungspegels
- 1 dB
- Genauigkeit der Schrittweite des Ausgangsleistungspegels
- ±0,5 dB
- Genauigkeit des Ausgangspegels
- ± 1,5 dB, 10 MHz bis 7,5 GHz, -20 dBm Ausgangspegel
- Oberschwingungen
- < -22 dBc
- Nicht-harmonische Störungen
-
< -30 dBc, Störungen < 2 GHz von TG-Ausgangsfrequenz entfernt
< -25 dBc, Störungen ≥ 2 GHz von TG-Ausgangsfrequenz entfernt
- Rückwärtsleistung ohne Herbeiführung von Beschädigungen
- 40 Vdc, +20 dBm HF
- Fehler bei Messung der Übertragungsverstärkung
-
Verstärkung von +20 bis -40 dB: ±1 dB
- Dynamikbereich der Messung der Übertragungsverstärkung
-
70 dB
Messung von Rückflussdämpfung, Entfernung zum Fehler und Kabeldämpfung
- Messung von Rückflussdämpfung, Entfernung zum Fehler und Kabeldämpfung
-
- Messungen
- Rückflussdämpfung, Kabeldämpfung, Entfernung zum Fehler
- Frequenzbereich
- 10 MHz bis 3 GHz (RSA503A)
10 MHz bis 7,5 GHz (RSA507A)
- Ablenkgeschwindigkeit1
- 5 ms/Punkt, Messung der Rückflussdämpfung
5 ms/Punkt, Messung der Entfernung zum Fehler
5 ms/Punkt, Messung der Kabeldämpfung
- Frequenzauflösung
- 500 Hz
- Fehler bei der Messung der Rückflussdämpfung
- Rückflussdämpfung von 0 bis 15 dB: ±0,5 dB
Rückflussdämpfung von 15 bis 25 dB: ±1,5 dB
- Fehler bei der Messung der Rückflussdämpfung bei 14 dB Rückflussdämpfung
- ±1,5 dB von 10 MHz bis 6,8 GHz
±3,0 dB von 6,8 GHz bis 7,5 GHz
±1,0 dB von 10 MHz bis 6,8 GHz
±2,5 dB von 6,8 GHz bis 7,5 GHz
- Messbereich der Rückflussdämpfung
- 50 dB
- Störunempfindlichkeit
- Fehler bei der Messung der Rückflussdämpfung innerhalb der Spezifikationen bei folgenden Bedingungen:
+5 dBm Störsignalleistung innerhalb von 800 kHz vom Messpunkt
+5 dBm Störsignalleistung über 800 kHz vom Messpunkt entfernt
- Bereich der Entfernung zum Fehler
- 1500 m oder 15 dB Möglichkeit der Einweg-Kabeldämpfung, benutzerdefiniert.
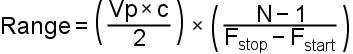
- Auflösung der Entfernung zum Fehler
- 0,03 m (RSA503A, RG-58 (Vp = 0,66)), benutzerdefinierbar 0,01 m (RSA507A, RG-58 (Vp = 0,66)), benutzerdefinierbar
Die minimale Auflösung ist folgendermaßen abhängig vom Kabelverkürzungsfaktor und der Frequenzschrittweite:
1Ablenkung an 201 Punkten, gemessen mit einem Panasonic Toughpad FZ-G1.
SignalVu-PC-Standardmessungen und -Leistungsumfang
- Messungen inbegriffen.
- SignalVu-PC/RSA507A – Wichtige technische Daten
-
- Max. Bereich
- 40 MHz Echtzeit
9 kHz - 3 GHz gewobbelt (RSA503A)
9 kHz - 7,5 GHz gewobbelt (RSA507A)
- Maximale Erfassungszeit
- 1,0 s
- IQ-Mindestauflösung
- 17,9 ns (Erfassungsbandbreite = 40 MHz)
- Abstimmtabellen
-
Tabellen mit einer Frequenzauswahl in Form auf auf Normen beruhenden Kanälen stehen für die folgenden Mobilfunknormen
zur Verfügung: AMPS, NADC, NMT-450, PDC, GSM, CDMA, CDMA-2000, 1xEV-DO WCDMA, TD-SCDMA, LTE, WiMax
Nicht lizenzierter Nahbereich: 802.11a/b/j/g/p/n/ac, Bluetooth
Schnurlostelefon: DECT, PHS
Ausstrahlung: AM, FM, ATSC, DVBT/H, NTSC
Mobilfunk, Pager und andere: GMRS/FRS, iDEN, FLEX, P25, PWT, SMR, WiMax
- DPX-Spektrumanzeige
-
- Spektrumverarbeitungsrate (RBW = auto, Trace-Länge 801)
-
≤10.000/s
- DPX-Bitmap-Auflösung
- 201x801
- Markerinformationen
- Amplitude, Frequenz, Signaldichte
- Mindestsignaldauer für eine Erkennungswahrscheinlichkeit von 100 %
- 100 μs
Bereich: 40 MHz, RBW = 300 kHz (Auto)
Aufgrund der nicht-deterministischen Ausführungszeit von Programmen unter dem Betriebssystem Microsoft Windows wird diese Spezifikation möglicherweise nicht erfüllt, wenn der Host-PC mit anderen Verarbeitungsaufgaben stark ausgelastet ist
- Bereich (kontinuierliche Verarbeitung)
- 1 kHz bis 40 MHz
- Bereich (gewobbelt)
- Bis zum maximalen Frequenzbereich des Geräts
- Verweildauer pro Schritt
- 50 ms bis 100 s
- Trace-Verarbeitung
- Farbabgestuftes Bitmap, +Peak, -Peak, Mittelwert
- Trace-Länge
- 801, 2401, 4001, 10401
- RBW-Bereich
- 1 kHz bis 4.99 MHz
- DPX-Spektrogrammanzeige
-
- Trace-Erkennung
- +Peak, -Peak, Mittelwert(Veff)
- Trace-Länge, Speichertiefe
- 801 (60.000 Traces)
2401 (20.000 Traces)
4001 (12.000 Traces)
- Zeitauflösung pro Zeile
- 1 ms bis 6400 s, benutzerwählbar
- Spektrumanzeige
-
- Traces
- Drei Traces + 1 Math-Trace + 1 Trace aus dem Spektrogramm für die Spektrumanzeige
- Trace-Funktionen
- Normal, Mittelwert (Veff), Max-Hold, Min-Hold, Mittelwert der Aufzeichungen
- Detektor
- Mittelwert (Veff), Mittelwert, CISPR-Peak, +Peak, -Peak, Abtastung
- Spektrum-Trace-Länge
- 801, 2401, 4001, 8001,10401, 16001, 32001 und 64001 Punkte
- RBW-Bereich
- 10 Hz bis 8 MHz
- Analoge Modulationsanalyse (Standard)
-
- Genauigkeit der AM-Demodulation, typisch
- ±2%
0-dBm-Eingang in der Mitte, Trägerfrequenz 1 GHz, 1 kHz/5 kHz Eingangsfrequenz/modulierte Frequenz, 10 % bis 60 % Modulationstiefe
0 dBm Eingangsleistungspegel, Referenzpegel = 10 dBm, Dämpf. = Auto
- Genauigkeit der FM-Demodulation, typisch
-
±1 % der Spanne
0-dBm-Eingang in der Mitte, Trägerfrequenz 1 GHz, 400 Hz/1 kHz Eingangsfrequenz/modulierte Frequenz
0 dBm Eingangsleistungspegel, Referenzpegel = 10 dBm, Dämpf. = Auto
- Genauigkeit der PM-Demodulation, typisch
-
±3 % der gemessenen Bandbreite
0-dBm-Eingang in der Mitte, Trägerfrequenz 1 GHz, 1 kHz/5 kHz Eingangsfrequenz/modulierte Frequenz
0 dBm Eingangsleistungspegel, Referenzpegel = 10 dBm, Dämpf. = Auto
- Spektrum-Ablenkgeschwindigkeiten und Auflösungsbandbreite
-
- Ablenkgeschwindigkeit über die gesamte Spanne
-
5500 MHz/s (Auflösungsbandbreite = 1 MHz)
5300 MHz/s (Auflösungsbandbreite = 100 kHz)
3700 MHz/s (Auflösungsbandbreite = 10 kHz)
950 MHz/s (Auflösungsbandbreite = 1 kHz)
Gemessen mit einem Panasonic Toughpad FZ-G1, Prozessor Intel® Core™ i5-5300U, 2,3 GHz, 8 GB RAM, SSD 256 GB, Windows®7 Pro.
Die Spektrumanzeige ist lediglich eine Messung auf dem Bildschirm.
Funktions- und Leistungsumfang der Anwendung SignalVu-PC – Zusammenfassung
- AM-/FM-/PM- und direkte Audio-Messung (SVAxx-SVPC)
-
- Trägerfrequenzbereich (für Modulations- und Audio-Messungen)
- (1/2 × Audio-Analyse-Bandbreite) bis maximale Eingangsfrequenz
- Maximaler Audio-Frequenzbereich
- 10 MHz
- FM-Messungen (Mod.index >0,1)
- Trägerleistung, Trägerfrequenzfehler, Audio-Frequenz, Abweichung (+Peak, -Peak, Peak-Peak/2, Effektivwert), SINAD, Modulationsverzerrung, S/N, gesamte harmonische Verzerrung, gesamte nicht-harmonische Verzerrung, Brummen und Rauschen
- AM-Messungen
- Trägerleistung, Audio-Frequenz, Modulationstiefe (+Peak, -Peak, Peak-Peak/2, Effektivwert), SINAD, Modulationsverzerrung, S/N, gesamte harmonische Verzerrung, gesamte nicht-harmonische Verzerrung, Brummen und Rauschen
- PM-Messungen
- Trägerleistung, Trägerfrequenzfehler, Audio-Frequenz, Abweichung (+Peak, -Peak, Peak-Peak/2, Effektivwert), SINAD, Modulationsverzerrung, S/N, gesamte harmonische Verzerrung, gesamte nicht-harmonische Verzerrung, Brummen und Rauschen
- Audiofilter
-
Tiefpass (kHz): 0,3, 3, 15, 30, 80, 300 und benutzerdefiniert bis zur 0,9-fachen Audio-Bandbreite
Hochpass (Hz): 20, 50, 300, 400 und benutzerdefiniert bis zur 0,9-fachen Audio-Bandbreite
Standard: CCITT, C-Message
Deemphase (μs): 25, 50, 75, 750 und benutzerdefiniert
Datei: vom Benutzer bereitgestellte TXT- oder CSV-Datei mit Amplitude/Frequenz-Paaren. Maximal 1000 Paare
Leistungsmerkmale, typisch Bedingungen: Sofern nicht anderes angegeben ist, gelten die Leistungsangaben für: Modulationsrate = 5 kHz
AM-Tiefe: 50 %
PM-Abweichung 0,628 Radian
FM AM PM Bedingungen Genauigkeit der Trägerleistung Siehe unter Amplitudengenauigkeit des Messgerätes Genauigkeit der Trägerfrequenz ± 0,5 Hz + (Senderfrequenz × Ref.-Frequ.-Fehler) Siehe unter Frequenzgenauigkeit des Messgerätes ± 0,2 Hz + (Senderfrequenz × Ref.-Frequ.-Fehler) FM-Abweichung: 5 kHz / 100 kHz Genauigkeit der Modulationstiefe n. v. ± 0,2 % +(0,01-facher Messwert) n. v. Rate: 5 kHz
Tiefe: 50 %Abweichungsgenauigkeit ± (1 % × (Rate + Abweichung) + 50 Hz) n. v. ±100 % * (0,01 + (gemessene Rate/1 MHz)) FM-Abweichung: 100 kHz Genauigkeit der Rate ±0,2 Hz ±0,2 Hz ±0,2 Hz FM-Abweichung: 5 kHz / 100 kHz Rest-Oberwellenanteil 0,10 % 0,16 % 0,1 % FM-Abweichung: 5 kHz / 100 kHz
Rate: 1 kHzRest-SINAD 43 dB 56 dB 40 dB FM-Abweichung 5 kHz
FM-Abweichung 100 kHz
Rate: 1 kHz
- APCO-P25-Messanwendung (SV26xx-SVPC)
-
- Messungen
- HF-Ausgangsleistung, Genauigkeit der Betriebsfrequenz, Emissionsspektrum der Modulation, unerwünschte Emissionsstörung, Nachbarkanalleistung, Frequenzabweichung, Modulationstreue, Frequenzfehler, Augendiagramm, Symboltabelle, Genauigkeit der Symbolrate, Senderleistung und Einschwingzeit des Encoders, Senderdurchsatzverzögerung, Frequenzabweichung über die Zeit, Leistung über die Zeit, Transienten-Frequenzverhalten, HCPM Sender - Spitzenwert logischer Kanal ACPR, HCPM Sender - Off-Slot-Leistung logischer Kanal, HCPM Sender - Leistungshüllkurve logischer Kanal, HCPM Sender - Zeitabgleich logischer Kanal, kreuzkorrelierte Marker
- Modulationstreue, typischer
-
C4FM ≤ 1,0 %
HCPM ≤ 0,5 %
HDQPSK ≤ 0,25 %
Der Eingangssignalpegel ist unter dem Gesichtspunkt der besten Modulationsgenauigkeit optimiert.
- Bluetooth-Messungsanwendung (SV27xx-SVPC)
-
- Unterstützte Standards
-
Basic Rate, Bluetooth Low Energy, Enhanced Data Rate - Revision 4.1.1
Pakettypen: DH1, DH3, DH5 (BR), Referenz (LE)
- Messungen
- Spitzenleistung, mittlere Leistung, Nachbarkanalleistung oder In-Band-Emissionsmaske, -20-dB-Bandbreite, Frequenzfehler, Modulationseigenschaften einschließlich ΔF1-Mittelwert (11110000), ΔF2-Mittelwert (10101010), ΔF2 > 115 kHz, ΔF2/ΔF1-Verhältnis, zeitabhängige Frequenzabweichung mit Informationen über die Messung auf Datenpaket- und Oktettebene, Trägerfrequenz f0, Frequenzoffset (Kopf- und Nutzdaten), max. Frequenzoffset, Frequenzdrift f1-f0, max. Driftrate fn-f0 und fn-fn-5, Mittenfrequenzoffset-Tabelle und Frequenzdrifttabelle, Tabelle mit farbcodierten Symbolen, Paketkopf-Decodierinformationen, Augendiagramm, Konstellationsdiagramm
- Ausgangsleistung (BR und LE), typischer Mittelwert
-
Unterstützte Messungen: mittlere Leistung, Spitzenleistung
Pegelunsicherheit: siehe Spezifikationen zu Amplitude und Flachheit
Messbereich: Signalpegel > –70 dBm
- Modulationseigenschaften, typischer Mittelwert
-
Unterstützte Messungen: ΔF1-Mitelwert, ΔF2-Mittelwert, ΔF2-Mittelwert/ΔF1-Mittelwert, ΔF2max% >= 115 kHz (BR), ΔF2max% >= 115 kHz (LE)
Abweichungsbereich: ±280 kHz
Abweichungungenauigkeit (bei 0 dBm):
<2 kHz1+ Frequenzungenauigkeit des Messgeräts (BR)
<3 kHz1+ Frequenzungenauigkeit des Messgerätes (Low Energy)
Messbereich: Kanal-Nennfrequenz ±100 kHz
- Anfängliche Toleranz der Trägerfrequenz (ICFT) (BR und LE), typischer Mittelwert
-
Messungenauigkeit (bei 0 dBm): <1 kHz2+ Frequenzungenauigkeit des Messgeräts
Messbereich: Kanal-Nennfrequenz ±100 kHz
- Trägerfrequenzdrift (BR und LE), typischer Mittelwert
-
Unterstützte Messungen: max. Frequenzoffset, Drift f1- f0, max. Drift fn-f0, max. Drift fn-fn-5(BR und LE 50 μs)
Messungenauigkeit: <1 kHz + Frequenzungenauigkeit des Messgerätes
Messbereich: Kanal-Nennfrequenz ±100 kHz
- In-Band-Emissionen (ACPR) (BR und LE)
-
Pegelunsicherheit: siehe Spezifikationen zu Amplitude und Flachheit
1Bei Nennleistungspegel von 0 dBm
2Bei Nennleistungspegel von 0 dBm
- Allgemeine digitale Modulationsanalyse (SVMxx-SVPC)
-
- Modulationsformate
- BPSK, QPSK, 8PSK, 16QAM, 32QAM, 64QAM, 128QAM, 256QAM, π/2DBPSK, DQPSK, π/4DQPSK, D8PSK, D16PSK, SBPSK, OQPSK, SOQPSK, 16-APSK, 32-APSK, MSK, GFSK, CPM, 2FSK, 4FSK, 8FSK, 16FSK, C4FM
- Analysezeitraum
- Bis zu 81.000 Abtastungen
- Messfilter
- Root-Raised-Cosine, Raised-Cosine, Gauß, Rechteck, IS-95 TX_MEA, IS-95 Base TXEQ_MEA, –
- Referenzfilter
- Gauß, Raised-Cosine, Rechteck, IS-95 REF, –
- Filter-Dämpfungsfaktor
- α:0,001 bis 1, in Schritten von 0,001
- Messungen
- Konstellation, Demod I&Q über die Zeit, Fehlervektorwert (EVM) über die Zeit, Augendiagramm, Frequenzabweichung über die Zeit, Größenfehler über die Zeit, Phasenfehler über die Zeit, Signalqualität, Symboltabelle, Trellis-Diagramm
- Max. Symbolrate
- 240 M Symbole/s
Das modulierte Signal muss vollständig in der Erfassungsbandbreite enthalten sein.
- Adaptiver Equalizer
- Linearer, Decision-Directed-, Feed-Forward (FIR)-Equalizer mit Koeffizientenanpassung und einstellbarer Konvergenzrate. Unterstützte Modulationstypen: BPSK, QPSK, OQPSK, DQPSK, π/2DBPSK, π/4DQPSK, 8PSK, D8SPK, D16PSK, 16/32/64/128/256-QAM, 16/32-APSK
- QPSK Residuale EVM (Mittenfrequenz = 2 GHz), typischer Mittelwert
-
0,6 % (100 kHz Symbolrate)
0,8 % (1 MHz Symbolrate)
0,8 % (10 MHz Symbolrate)
0,8 % (30 MHz Symbolrate)
400 Symbole Messlänge, 20 Mittelwerte, Normalisierungsreferenz = maximale Symbolgröße
- 256 QAM Residuale EVM (Mittenfrequenz = 2 GHz), typischer Mittelwert
-
0,6 % (10 MHz Symbolrate)
0,7 % (30 MHz Symbolrate)
400 Symbole Messlänge, 20 Mittelwerte, Normalisierungsreferenz = maximale Symbolgröße
- LTE-Downlink-HF-Messungen (SV28xx-SVPC)
-
- Unterstützter Standard
-
3GPP TS 36.141 Version 12.5
- Unterstütztes Frame-Format
-
FDD und TDD
- Unterstützte Messungen und Anzeigen
- Nachbarkanalleistung (ACLR – Adjacent Channel Leakage Ratio), Spektrumemissionsmaske (SEM), Kanalleistung, belegte Bandbreite (OBW – Occupied Bandwidth), Leistungs-Zeit-Anzeige für Toff Senderleistung für TDD-Signale und LTE-Konstellationsdiagramm für primäres Synchronisierungssignal, sekundäres Synchronisierungssignal mit Cell-ID, Gruppen-ID, Sektor-ID und Frequenzfehler.
- ACLR mit E-UTRA-Bändern (typisch, mit Rauschkorrektur)
-
1. Nachbarkanal, 60 dB (RSA507A)
2. Nachbarkanal, 62 dB (RSA507A)
- Kartierung (MAPxx-SVPC)
-
- Unterstützte Kartentypen
- Pitney Bowes MapInfo (*.mif), Bitmap (*.bmp), Open Street Maps (.osm)
- Gespeicherte Messergebnisse
- Dateien mit Messdaten (exportierte Ergebnisse)
- Für die Messungen verwendete Kartendatei
- KMZ-Datei von Google Earth
- Abrufbare Ergebnisdateien (Trace- und Setup-Dateien)
- MapInfo-kompatible MIF/MID-Dateien
- Impulsmessungen (SVPxx-SVPC)
-
- Messungen (nominal)
- Pulse-Ogram™-Wasserfallanzeige mehrerer segmentierter Erfassungen, mit Amplitude-Zeit-Darstellung und jeweiligem Impulsspektrum. Impulsfrequenz, Deltafrequenz, Mittlere Betriebsleistung, Spitzenleistung, Mittlere übertragene Leistung, Impulsbreite, Anstiegszeit, Abfallzeit, Wiederholungsintervall (Sekunden), Wiederholungsintervall (Hz), Lastfaktor (%), Lastfaktor (Verhältnis), Welligkeit (dB), Welligkeit (%), Absacken (dB), Absacken (%), Überschwingen (dB), Überschwingen (%), Frequenzdifferenz zwischen Impuls und Referenzimpuls, Phasendifferenz zwischen Impuls und Referenzimpuls, Frequenzdifferenz zwischen Impulsen, Phasendifferenz zwischen Impulsen, Effektivfrequenzfehler, Maximaler Frequenzfehler, Effektivphasenfehler, Maximaler Phasenfehler, Frequenzabweichung, Phasenabweichung, Impulsantwort (dB), Impulsantwort (Zeit), Zeitmarke.
- Mindestimpulsbreite zur Erkennung, typisch
- 150 ns
- Mittlere Betriebsleistung bei 18 °C bis 28 °C, typisch
-
±0,4 dB + absolute Amplitudengenauigkeit
Impulse mit einer Breite von 300 ns und mehr: Tastverhältnisse von 0,5 bis 0,001 und ein S/R-Verhältnis ≥30 dB
- Lastfaktor, typisch
- ±0,2 % des Ablesewerts
Bei Impulsen mit einer Breite von 450 ns oder höher, Tastverhältnisse von 0,5 bis 0,001 und ein S/N-Verhältnis ≥ 30 dB
- Mittlere übertragene Leistung, typisch
-
±0,5 dB + absolute Amplitudengenauigkeit
Impulse mit einer Breite von 300 ns und mehr: Tastverhältnisse von 0,5 bis 0,001 und ein S/R-Verhältnis ≥30 dB
- Peak-Impulsstärke, typisch
-
±1,2 dB + absolute Amplitudengenauigkeit
Impulse mit einer Breite von 300 ns und mehr: Tastverhältnisse von 0,5 bis 0,001 und ein S/R-Verhältnis ≥30 dB
- Impulsbreite, typisch
-
±0,25 % des Ablesewerts
Bei Impulsen mit einer Breite von 450 ns oder höher, Tastverhältnisse von 0,5 bis 0,001 und ein S/N-Verhältnis ≥ 30 dB
- WLAN-Messungen, 802.11a/b/g/j/p (SV23xx-SVPC)
-
- Messgrößen
- WLAN-Leistung vs. Zeit; WLAN-Symboltabelle; WLAN-Konstellation; Spektrumemissionsmaske; Error-Vector-Magnitude (EVM) vs. Symbol (oder Zeit), vs. Unterträger (oder Frequenz); Mag-Fehler vs. Symbol (oder Zeit), vs. Unterträger (oder Frequenz); Phasenfehler vs. Symbol (oder Zeit), vs. Unterträger (oder Frequenz); Kanalfrequenzgang vs. Symbol (oder Zeit), vs. Unterträger (oder Frequenz); spektrale Flachheit vs. Symbol (oder Zeit), vs. Unterträger (oder Frequenz)
- Residuale EVM - 802.11a/g/j /p (OFDM), 64-QAM, typisch
-
2,4 GHz, 20 MHz Bandbreite: -39 dB
5,8 GHz, 20 MHz Bandbreite: -38 dB
Der Eingangssignalpegel ist zur Erzielung bestmöglicher EVM optimiert, durchschnittlich 20 Bursts, ≥16 Symbole pro Burst.
- Residuale EVM - 802.11b, CCK-11, typisch
-
2,4 GHz, 11 MBit/s: 1.3 %
Der Eingangssignalpegel ist für beste EVM optimiert, durchschnittlich 1.000 Chips, BT = 0,61
- WLAN-Messungen 802.11n (SV24xx-SVPC)
-
- Messgrößen
- WLAN-Leistung vs. Zeit; WLAN-Symboltabelle; WLAN-Konstellation; Spektrumemissionsmaske; Error-Vector-Magnitude (EVM) vs. Symbol (oder Zeit), vs. Unterträger (oder Frequenz); Mag-Fehler vs. Symbol (oder Zeit), vs. Unterträger (oder Frequenz); Phasenfehler vs. Symbol (oder Zeit), vs. Unterträger (oder Frequenz); Kanalfrequenzgang vs. Symbol (oder Zeit), vs. Unterträger (oder Frequenz); spektrale Flachheit vs. Symbol (oder Zeit), vs. Unterträger (oder Frequenz)
- EVM-Leistung - 802.11n, 64-QAM, typisch
-
2,4 GHz, 40 MHz Bandbreite: -38 dB
5,8 GHz, 40 MHz Bandbreite: -38 dB
Der Eingangssignalpegel ist zur Erzielung bestmöglicher EVM optimiert, durchschnittlich 20 Bursts, ≥16 Symbole pro Burst.
- WLAN-Messungen 802.11ac (SV25xx-SVPC)
-
- Messgrößen
- WLAN-Leistung vs. Zeit; WLAN-Symboltabelle; WLAN-Konstellation; Spektrumemissionsmaske; Error-Vector-Magnitude (EVM) vs. Symbol (oder Zeit), vs. Unterträger (oder Frequenz); Mag-Fehler vs. Symbol (oder Zeit), vs. Unterträger (oder Frequenz); Phasenfehler vs. Symbol (oder Zeit), vs. Unterträger (oder Frequenz); Kanalfrequenzgang vs. Symbol (oder Zeit), vs. Unterträger (oder Frequenz); spektrale Flachheit vs. Symbol (oder Zeit), vs. Unterträger (oder Frequenz)
- EVM-Leistung - 802.11ac, 256-QAM, typisch
-
5,8 GHz, 40 MHz Bandbreite: -38 dB
Der Eingangssignalpegel ist zur Erzielung bestmöglicher EVM optimiert, durchschnittlich 20 Bursts, ≥16 Symbole pro Burst.
Eingangs und Ausgangsanschlüsse
- Eingänge, Ausgänge und Schnittstellen
-
- HF-Eingang
- Typ N, Buchse
- Externer Eingang für Frequenzreferenz
- BNC, Buchse
- Trigger-/Sync-Eingang
- BNC, Buchse
- Mitlaufgeneratorquelle, Ausgang
- Typ N, Buchse
- GPS-Antenne
- SMA, Buchse
- USB-Geräteanschluss
- USB 3.0 – Typ A
- USB-Status-LED
-
LED, zweifarbig rot/grün
LED-Zustände:
Rot, kontinuierlich: USB-Stromversorgung angelegt oder Reset wird gerade ausgeführt
Grün, kontinuierlich: initialisiert, betriebsbereit
Grün, blinkend: Daten werden zum Host übertragen
- Akku-Status-LED
-
LED, grün
LED-Zustände:
Grün, blinkend: externe Stromversorgung angeschlossen, Akku wird geladen
Aus – keine externe Stromversorgung angeschlossen oder Akku voll geladen
Installationsanforderungen
- Maximale Verlustleistung (Volllast)
-
max. 15 W Der maximale Leitungsstrom beträgt 0,2 A bei einer 90-V-Leitung.
- Stoßstrom
-
max. 2 A Spitzenwert, bei 25 °C für ≤ 5 Leitungszyklen, nachdem das Gerät mindestens 30 Sekunden lang ausgeschaltet wurde.
- Kühlabstand
-
Unten, oben:
25,4 mm
Seitlich:
25,4 mm
Hinten: 25,4 mm
- Externer Gleichstromeingang
-
- Spannung
- 18 V
- Spannungsbereichsgrenzen
-
Operation: +12,0 V bis +19,95 V
Akkuladevorgang: +17,5 V bis +19,95 V
- Anschlussart
-
2,5mm, Stecker
Mittelleiter: positiv
Außenleiter: negativ
- Netzadapterausgang
-
18 V ± 5 %, 5 A (max. 90 W)
Mittelleiter: positiv
Außenleiter: negativ
- Akku
-
- Nennspannung
- 14,4 V
- Nennkapazität
- 6140 mAh
- Akkutechnologie
- Intelligenter Li-Ionen-Akku, kompatibel mit SMBus-Schnittstelle.
- Akkulebensdauer
- 4 Stunden durchgängige Betriebszeit pro Akku
- Akku-Betriebstemperatur
- Betrieb (Entladung) 1 -10 ℃ bis +45 ℃ 2
- Akkulebensdauer bei Lagerung
- 2 Jahre bei +20 °C (Nennwert)
1Der Betrieb bei -10 °C macht es unter Umständen notwendig, das Gerät zunächst bei Raumtemperatur einzuschalten.
2Je nach Entladestrom und Wärmeabgabe kann die tatsächliche Betriebsdauer niedriger sein.
Physikalische Eigenschaften
- Physikalische Eigenschaften
-
- Breite
- 299,1 mm
- Höhe
- 67,3 mm
- Länge
- 271,3 mm
- Nettogewicht
- 2.54 kg ohne Akku, 2,99 kg mit Akku
Umgebung und Sicherheit
- Temperatur
- Luftfeuchtigkeit
-
- Ohne eingelegten Akku
-
MIL-PRF-28800F, Klasse 2
Betrieb:
5 % bis 95 ±5 % rel. Feuchte bei Temperaturen zwischen +10 °C und 30 °C
5 % bis 75 ±5 % rel. Feuchte bei Temperaturen zwischen +30 °C und 40 °C
5 % bis 45 ±5 % rel. Feuchte bei Temperaturen zwischen +40 °C und +55 °C
Feuchte bei <10 °C ungeregelt, nicht kondensierend
- Mit eingelegtem Akku
-
Betrieb:
5 % bis 95 % rel. Feuchte bei Temperaturen zwischen +10 °C und 30 °C
5 % bis 45 % rel. Feuchte bei Temperaturen zwischen +30 °C und 50 ℃
Feuchte bei <10 °C ungeregelt, nicht kondensierend
- Höhe über NN
-
- Betrieb
-
Bis 5000 m
- Lagerung
-
Bis 15.240 m
Geben Sie hier eine kurze Beschreibung zum Nachschlagen ein (optional).
- Schutzgrade
-
- Spritzwassertest, Betrieb und Lagerung
- Keine potenzielle Stoßgefahr nach einem Spritzwassertest im ausgeschalteten Zustand gemäß IEC529, Schutzgrad IP52.
- Staubschutztest, Betrieb und Lagerung
- Prüfverfahren gemäß IEC529, Schutzgrad IP52, Prüfbedingungen 13.4 und 13.5.
- Salzeinwirkungsprüfung, Strukturbauteile
- Norm MIL-STD-810, Verfahren 509.1, Ablauf 1
Dynamik
- Schwingungen
-
- Betrieb
-
Zufalls-Vibrationstest gemäß Tektronix-Klasse 2, bei 2,66 g eff: 5 bis 500 Hz, 3 Achsen bei 10 min/Achse
- Lagerung
-
MIL-PRF-28800F, Klasse 2
0,030 g2/Hz, 10 bis 500 Hz, 30 Minuten pro Achse, 3 Achsen (insgesamt 90 Minuten)
- Stoß
-
- Betrieb
- Prüfverfahren gemäß Militärnorm MIL-PRF-28800F 1-4
- Lagerung
- Übererfüllt die Anforderungen der Militärnorm MIL-PRF-28800F
- Handhabung und Transport
-
- Handhabung im Labor, Betrieb
-
MIL-PRF-28800F, Klasse 2
- Falltest beim Transport, ausgeschalteter Zustand
- MIL-PRF-28800F, Klasse 2
- Freifalltest, ausgeschalteter Zustand
- 81,28 cm
Messung von Rückflussdämpfung, Entfernung zum Fehler und Kabeldämpfung
- Messung von Rückflussdämpfung, Entfernung zum Fehler und Kabeldämpfung
-
- Messungen
- Rückflussdämpfung, Kabeldämpfung, Entfernung zum Fehler
- Frequenzbereich
- 10 MHz bis 3 GHz (RSA503A)
10 MHz bis 7,5 GHz (RSA507A)
- Ablenkgeschwindigkeit1
- 5 ms/Punkt, Messung der Rückflussdämpfung
5 ms/Punkt, Messung der Entfernung zum Fehler
5 ms/Punkt, Messung der Kabeldämpfung
- Frequenzauflösung
- 500 Hz
- Fehler bei der Messung der Rückflussdämpfung
- Rückflussdämpfung von 0 bis 15 dB: ±0,5 dB
Rückflussdämpfung von 15 bis 25 dB: ±1,5 dB
- Fehler bei der Messung der Rückflussdämpfung bei 14 dB Rückflussdämpfung
- ±1,5 dB von 10 MHz bis 6,8 GHz
±3,0 dB von 6,8 GHz bis 7,5 GHz
±1,0 dB von 10 MHz bis 6,8 GHz
±2,5 dB von 6,8 GHz bis 7,5 GHz
- Messbereich der Rückflussdämpfung
- 50 dB
- Störunempfindlichkeit
- Fehler bei der Messung der Rückflussdämpfung innerhalb der Spezifikationen bei folgenden Bedingungen:
+5 dBm Störsignalleistung innerhalb von 800 kHz vom Messpunkt
+5 dBm Störsignalleistung über 800 kHz vom Messpunkt entfernt
- Bereich der Entfernung zum Fehler
- 1500 m oder 15 dB Möglichkeit der Einweg-Kabeldämpfung, benutzerdefiniert.
- Auflösung der Entfernung zum Fehler
- 0,03 m (RSA503A, RG-58 (Vp = 0,66)), benutzerdefinierbar 0,01 m (RSA507A, RG-58 (Vp = 0,66)), benutzerdefinierbar
Die minimale Auflösung ist folgendermaßen abhängig vom Kabelverkürzungsfaktor und der Frequenzschrittweite:
1Ablenkung an 201 Punkten, gemessen mit einem Panasonic Toughpad FZ-G1.
Bestellinformationen
Modelle
Baureihe RSA500A- Baureihe RSA500A
-
USB-Echtzeit-Spektrumanalysator, 40 MHz Erfassungsbandbreite
Der RSA500 und der erfordern einen PC mit einem 64-Bit-Betriebssystem Windows 7, Windows 8/8.1 oder Windows 10. Für den Betrieb des RSA500 und des wird ein USB-3.0-Anschluss benötigt. Für die Installation von SignalVu-PC sind 8 GB RAM und 20 GB freier Speicherplatz erforderlich. Zur Erzielung der vollen Leistungsfähigkeit der Echtzeit-Funktionen des RSA500 und des wird ein Prozessor des Typs Intel Core i7 4. Generation benötigt. Prozessoren mit geringerer Leistungsfähigkeit können zwar verwendet werden, liefern aber eine geringere Echtzeit-Leistung. Zur Speicherung von Streaming-Daten muss der PC mit einem Laufwerk ausgestattet sein, das Speicherungsgeschwindigkeiten von 300 MB/s für Streaming-Daten ermöglicht.
Umfasst: USB-3.0-Kabel, (2 m), A-A-Verbindung, mit Verschraubung, Schultergurt, Tragetasche (mit Platz für das Gerät, den Tablet-Computer und Zubehör),Kurzanleitung (Druckexemplar), Steckverbinder-Schutzkappen, Li-Ionen-Akkupack WFM200BA, Anleitung (Druckexemplar) für Li-Ionen-Akkupack WFM200BA, Wechselstromnetzteil, Netzkabel(siehe Netzsteckeroptionen), USB-Speichergerät mit SignalVu-PC, API und Dokumentationsdateien.
Gegenstand Beschreibung RSA503A USB-Echtzeit-Spektrumanalysator, 9 kHz bis 3,0 GHz, 40 MHz Erfassungsbandbreite Option 04 Mitlaufgenerator, 10 MHz bis 3,0 GHz Option CTRL-G1-B Transportabler Controller, Stromversorgung für Brasilien, Verfügbarkeit siehe Länderliste Option FZ-G1 Transportabler Controller, Stromversorgung für China, Verfügbarkeit siehe Länderliste Option CTRL-G1-E Transportabler Controller, Stromversorgung für Europa, Verfügbarkeit siehe Länderliste Option CTRL-G1-I Transportabler Controller, Stromversorgung für Indien, Verfügbarkeit siehe Länderliste Option CTRL-G1-N Transportabler Controller, Stromversorgung für Nordamerika, Verfügbarkeit siehe Länderliste Option CTRL-G1-U Transportabler Controller, Stromversorgung für Großbritannien, Verfügbarkeit siehe Länderliste RSA507A USB-Echtzeit-Spektrumanalysator, 9 kHz bis 7,5 GHz, 40 MHz Erfassungsbandbreite Option 04 Mitlaufgenerator, 10 MHz bis 7,5 GHz Option CTRL-G1-B Transportabler Controller, Stromversorgung für Brasilien, Verfügbarkeit siehe Länderliste Option FZ-G1 Transportabler Controller, Stromversorgung für China, Verfügbarkeit siehe Länderliste Option CTRL-G1-E Transportabler Controller, Stromversorgung für Europa, Verfügbarkeit siehe Länderliste Option CTRL-G1-I Transportabler Controller, Stromversorgung für Indien, Verfügbarkeit siehe Länderliste Option CTRL-G1-N Transportabler Controller, Stromversorgung für Nordamerika, Verfügbarkeit siehe Länderliste Option CTRL-G1-U Transportabler Controller, Stromversorgung für Großbritannien, Verfügbarkeit siehe Länderliste RSA500TRANSIT Hartschalen-Transportkoffer, Echtzeit-Spektrumanalysator, Baureihe RSA500, mit Platz für Tablet-Computer und Zubehör
Optionen
Netzsteckeroptionen für RSA500A und
- Opt. A0
- Nordamerika (115 V, 60 Hz)
- Opt. A1
- Europa allgemein (220 V, 50 Hz)
- Opt. A2
- Großbritannien (240 V, 50 Hz)
- Opt. A3
- Australien (240 V, 50 Hz)
- Opt. A4
- Nordamerika (240 V, 50 Hz)
- Opt. A5
- Schweiz (220 V, 50 Hz)
- Opt. A6
- Japan (100 V, 50/60 Hz)
- Opt. A10
- China (50 Hz)
- Opt. A11
- Indien (50 Hz)
- Opt. A12
- Brasilien (60 Hz)
- Opt. A99
- Kein Netzkabel
Sprachoptionen für den RSA500
- Opt. L0
- Handbuch in Englisch
- Opt. L1
- Handbuch in Französisch
- Opt. L2
- Handbuch in Italienisch
- Opt. L3
- Handbuch in Deutsch
- Opt. L4
- Handbuch in Spanisch
- Opt. L5
- Handbuch in Japanisch
- Opt. L6
- Handbuch in Portugiesisch
- Opt. L7
- Handbuch in Chinesisch (vereinfacht)
- Opt. L8
- Handbuch in Chinesisch (traditionell)
- Opt. L9
- Handbuch in Koreanisch
- Opt. L10
- Handbuch in Russisch
Service-Optionen für RSA500A und1
- Opt. C3
- 3-Jahres-Kalibrierservice
- Opt. C5
- 5-Jahres-Kalibrierservice
- Opt. D1
- Kalibrierungsdatenbericht
- Opt. D3
- Kalibrierungsdatenbericht für 3 Jahre (mit Opt. C3).
- Opt. D5
- Kalibrierungsdatenbericht für 5 Jahre (mit Opt. C5).
- Opt. R5
- Reparaturservice, 5 Jahre (einschließlich Garantie)
1Bei Optionen mit Tablet-Computer nicht erhältlich.
Garantie
- Garantie bei der Baureihe RSA500: 3 Jahre.
- Tablet-Computer FZ-G1: 3 Jahre Garantie bei Business Class Support (durch Panasonic in Ihrer Region)
- Antenne Alaris DF-A0047: Ein Jahr Garantie durch Alaris in Südafrika. Service und Kalibrierung durch Alaris.
Tablet
- Als eigenständiges Gerät bestellte Tablet-Computer
-
Bei Einzelbestellung des FZ-G1 ist das Gerät wie nachstehend aufgeführt bezeichnet. Wenn Sie den Controller als Option zum RSA500 bestellen möchten, finden Sie die nötigen Informationen in der Optionsliste zum RSA500. Der FZ-G1 ist bei Tektronix nicht in allen Regionen erhältlich, siehe hierzu die folgenden Bestellinformationen.
Artikel Beschreibung Regionale Verfügbarkeit FZ-G1-N Controller für USB-Spektrumanalysatoren, Panasonic ToughPad FZ-G1. Lieferumfang: Tablet-Computer, Akku, Digitalisierstift und Halteband, Akkuladegerät mit Netzkabel. Kanada, Kolumbien, Ecuador, Mexiko, Philippinen, Singapur, USA FZ-G1F Controller für USB-Spektrumanalysatoren, Panasonic ToughPad FZ-G1. Lieferumfang: Tablet-Computer, Digitalisierstift und Halteband, Akkuladegerät mit Netzkabel China FZ-G1-I Controller für USB-Spektrumanalysatoren, Panasonic ToughPad FZ-G1. Lieferumfang: Tablet-Computer, Akku, Digitalisierstift und Halteband, Akkuladegerät mit Netzkabel Indien FZ-G1-E Controller für USB-Spektrumanalysatoren, Panasonic ToughPad FZ-G1. Lieferumfang: Tablet-Computer, Akku, Digitalisierstift und Halteband, Akkuladegerät mit Netzkabel. Österreich, Baltische Staaten, Belgien, Bosnien, Bulgarien, Chile, Kroatien, Tschechische Republik, Dänemark, Finnland, Frankreich, Deutschland, Griechenland, Ungarn, Indonesien, Irland, Italien, Niederlande, Norwegen, Polen, Portugal, Rumänien, Slowakei, Slowenien, Südafrika, Spanien, Schweden, Thailand, Türkei FZ-G1-U Controller für USB-Spektrumanalysatoren, Panasonic ToughPad FZ-G1. Lieferumfang: Tablet-Computer, Akku, Digitalisierstift und Halteband, Akkuladegerät mit Netzkabel. Ägypten, Kenia, Malaysia, Großbritannien FZ-G1-B Controller für USB-Spektrumanalysatoren, Panasonic ToughPad FZ-G1. Lieferumfang: Tablet-Computer, Akku, Digitalisierstift und Halteband, Akkuladegerät mit Netzkabel Brasilien FZ-G1-J Controller für USB-Spektrumanalysatoren, Panasonic ToughPad FZ-G1. Lieferumfang: Tablet-Computer, Akku, Digitalisierstift und Halteband, Akkuladegerät mit Netzkabel Japan - Zubehör für Panasonic FZ-G1
-
Artikel Beschreibung FZ-VZSU84U 1 Li-Ionen-Akku, Standardkapazität FZ-VZSU88U1 Long-Life-Akku für Panasonic ToughPad FZ-G1 FZ-BNDLG1BATCHRG9 Ladegerät für einen Akku für FZ-G1. 1 Ladegerät und 1 Adapter CF-LNDDC1209 Lind-Kfz-Adapter, 120 W, 12-32 Volt Eingangsspannung, für ToughPad und RSA500A TBCG1AONL-P Panasonic Toughmate, Tragetasche für FZ-G1 TBCG1XSTP-P Infocase Toughmate, X-Strap für Panasonic FZ-G1
1In China, Hongkong, Macau und in der Mongolei nicht erhältlich.
Lizenzen
Anwendungsspezifische SignalVu-PC-Module
| Anwendungslizenz | Beschreibung |
|---|---|
| SVANL-SVPC | AM-/FM-/PM-Analyse, direkte Audio-Analyse - maschinenbezogene Lizenz |
| SVAFL-SVPC | AM-/FM-/PM-Analyse, direkte Audio-Analyse - Floating-Lizenz |
| SVTNL-SVPC | Einschwingzeitmessungen (Frequenz und Phase) - maschinenbezogene Lizenz |
| SVTFL-SVPC | Einschwingzeitmessungen (Frequenz und Phase) - Floating-Lizenz |
| SVMNL-SVPC | Allgemeine Modulationsanalyse zur Verwendung mit Analysator mit Erfassungsbandbreite <= 40 MHz oder MDO - maschinenbezogene Lizenz |
| SVMFL-SVPC | Allgemeine Modulationsanalyse zur Verwendung mit Analysator mit Erfassungsbandbreite <= 40 MHz oder MDO - Floating-Lizenz |
| SVPNL-SVPC | Impulsanalyse zur Verwendung mit Analysator mit Erfassungsbandbreite <= 40 MHz oder MDO - maschinenbezogene Lizenz |
| SVPFL-SVPC | Impulsanalyse zur Verwendung mit Analysator mit Erfassungsbandbreite <= 40 MHz oder MDO - Floating-Lizenz |
| SVONL-SVPC | Flexible OFDM-Analyse - maschinenbezogene Lizenz |
| SVOFL-SVPC | Flexible OFDM-Analyse - Floating-Lizenz |
| SV23NL-SVPC | WLAN-802.11a/b/g/j/p-Messung - maschinenbezogene Lizenz |
| SV23FL-SVPC | WLAN-802.11a/b/g/j/p-Messung - Floating-Lizenz |
| SV24NL-SVPC | WLAN-802.11n-Messung (erfordert SV23) - maschinenbezogene Lizenz |
| SV24FL-SVPC | WLAN-802.11n-Messung (erfordert SV23) - Floating-Lizenz |
| SV25NL-SVPC | WLAN-802.11ac-Messung zur Verwendung mit Analysator mit Erfassungsbandbreite <= 40 MHz (erfordert SV23 und SV24) oder MDO - maschinenbezogene Lizenz |
| SV25FL-SVPC | WLAN-802.11ac-Messung zur Verwendung mit Analysator mit Erfassungsbandbreite <= 40 MHz (erfordert SV23 und SV24) oder MDO - Floating-Lizenz |
| SV26NL-SVPC | APCO-P25-Messung - maschinenbezogene Lizenz |
| SV26FL-SVPC | APCO-P25-Messung - Floating-Lizenz |
| SV27NL-SVPC | Bluetooth-Messung zur Verwendung mit Analysator mit Erfassungsbandbreite <= 40 MHz oder MDO - maschinenbezogene Lizenz |
| SV27FL-SVPC | Bluetooth-Messung zur Verwendung mit Analysator mit Erfassungsbandbreite <= 40 MHz oder MDO - Floating-Lizenz |
| MAPNL-SVPC | Kartierung - maschinenbezogene Lizenz |
| MAPFL-SVPC | Kartierung - Floating-Lizenz |
| SV56NL-SVPC | Wiedergabe aufgezeichneter Dateien - maschinenbezogene Lizenz |
| SV56FL-SVPC | Wiedergabe aufgezeichneter Dateien - Floating-Lizenz |
| SV60NL-SVPC | Rückflussdämpfung, Stehwellenverhältnis, Kabeldämpfung und Entfernung zum Fehler - maschinenbezogene Lizenz |
| SV60FL-SVPC | Rückflussdämpfung, Stehwellenverhältnis, Kabeldämpfung und Entfernung zum Fehler - Floating-Lizenz |
| CONNL-SVPC | SignalVu-PC-Echtzeitverbindung zu den Mixed-Domain-Oszilloskopen der Baureihe MDO4000B - maschinenbezogene Lizenz |
| CONFL-SVPC | SignalVu-PC-Echtzeitverbindung zu den Mixed-Domain-Oszilloskopen der Baureihe MDO4000B - Floating-Lizenz |
| SV2CNL-SVPC | WLAN-802.11a/b/g/j/p/n/ac und Echtzeitverbindung zum MDO4000B zur Verwendung mit Analysator mit Erfassungsbandbreite <= 40 MHz - maschinenbezogene Lizenz |
| SV2CFL-SVPC | WLAN-802.11a/b/g/j/p/n/ac und Echtzeitverbindung zum MDO4000B zur Verwendung mit Analysator mit Erfassungsbandbreite <= 40 MHz - Floating-Lizenz |
| SV28NL-SVPC | LTE-Downlink-HF-Messung zur Verwendung mit Analysator mit Erfassungsbandbreite <= 40 MHz oder MDO - maschinenbezogene Lizenz |
| SV28FL-SVPC | LTE-Downlink-HF-Messung zur Verwendung mit Analysator mit Erfassungsbandbreite <= 40 MHz oder MDO - Floating-Lizenz |
| SV54NL-SVPC | Signaluntersuchung und -klassifizierung - maschinenbezogene Lizenz |
| SV54FL-SVPC | Signaluntersuchung und -klassifizierung - Floating-Lizenz |
| SV60NL-SVPC | Rückführungsdämpfung, Entfernung zum Fehler, Stehwellenverhältnis und Kabeldämpfung - maschinenbezogene Lizenz (erfordert Option 04 bei RSA500A/600A) |
| SV60FL-SVPC | Rückführungsdämpfung, Entfernung zum Fehler, Stehwellenverhältnis und Kabeldämpfung - Floating-Lizenz (erfordert Option 04 bei RSA500A/600A) |
| SV30NL-SVPC | WiGig 802.11ad-Messungen - maschinenbezogene Lizenz (nur zur Offline-Analyse) |
| SV30FL-SVPC | WiGig 802.11ad-Messungen - Floating-Lizenz (nur zur Offline-Analyse) |
| EDUFL-SVPC | Reine Ausbildungsversion aller Module für SignalVu-PC - Floating-Lizenz |
Empfohlenes Zubehör
Zubehör für den Mitlaufgenerator
Für den Mitlaufgenerator RSA500 ist eine Vielzahl von Kalibriersätzen und phasenstabilisierten Kabeln erhältlich, wenn das optionale Kabel und die Software für Antennenmessungen verwendet werden.
- CALOSLNM
- 3-in-1-Kalibriersatz, offener Stromkreis, Kurzschluss, Last, Gleichstrom bis 6 GHz, Typ N (Stecker), 50 Ohm
- CALOSLNF
- 3-in-1-Kalibriersatz, offener Stromkreis, Kurzschluss, Last, Gleichstrom bis 6 GHz, Typ N (Buchse), 50 Ohm
- CALOSLNF
- 3-in-1-Kalibriersatz, offener Stromkreis, Kurzschluss, Last, Gleichstrom bis 6 GHz, 7/16 DIN (Stecker)
- CALOSL716F
- 3-in-1-Kalibriersatz, offener Stromkreis, Kurzschluss, Last, Gleichstrom bis 6 GHz, 7/16 DIN (Buchse)
- CALSOLT35F
- 4-in-1-Kalibriersatz, 3,5 mm (Buchse), offener Stromkreis, Kurzschluss, Last, Durchleitung, 13 GHz
- CALSOLT35M
- 4-in-1-Kalibriersatz, 3,5 mm (Stecker), offener Stromkreis, Kurzschluss, Last, Durchleitung, 13 GHz
- CALSOLTNF
- 4-in-1-Kalibriersatz, Typ N (Buchse), offener Stromkreis, Kurzschluss, Last, Durchleitung, 9 GHz
- CALSOLTNM
- 4-in-1-Kalibriersatz, Typ N (Stecker), offener Stromkreis, Kurzschluss, Last, Durchleitung, 9 GHz
- CALSOLT716F
- 4-in-1-Kalibriersatz, 7/16 (Buchse), offener Stromkreis, Kurzschluss, Last, Durchleitung, 6 GHz
- CALSOLT716M
- 4-in-1-Kalibriersatz, 7/16 (Stecker), offener Stromkreis, Kurzschluss, Last, Durchleitung, 6 GHz
- 012-1745-00
- Kabel, robuste Ausführung, phasenstabil, Typ N (Stecker) auf Typ N (Buchse), 1,5 m
- 012-1746-00
- Kabel, robuste Ausführung, phasenstabil, Typ N (Stecker) auf Typ N (Stecker), 1,5 m
- 012-1747-00
- Kabel, robuste Ausführung, phasenstabil, Typ N (Stecker) auf 7/16 (Buchse), 60 cm
- 012-1748-00
- Kabel, robuste Ausführung, phasenstabil, Typ N (Stecker) auf 7/16 (Buchse), 1 m
- 012-1749-00
- Kabel, robuste Ausführung, phasenstabil, Typ N (Stecker) auf 7/16 (Buchse), 1,5 m
- 012-1750-00
- Kabel, robuste Ausführung, phasenstabil, Typ N (Stecker) auf 7/16 (Stecker), 1 m
- 012-1751-00
- Kabel, robuste Ausführung, phasenstabil, Typ N (Stecker) auf 7/16 (Stecker), 1,5 m
- 012-1752-00
- Kabel, robuste Ausführung, phasenstabil, Typ N (Stecker) auf 7/16 (Stecker), 60 cm
- 012-1753-00
- Kabel, robuste Ausführung, phasenstabil, Typ N (Stecker) auf DIN 9,5 (Buchse), 60 cm
- 012-1754-00
- Kabel, robuste Ausführung, phasenstabil, Typ N (Stecker) auf DIN 9,5 (Buchse), 1 m
- 012-1755-00
- Kabel, robuste Ausführung, phasenstabil, Typ N (Stecker) auf DIN 9,5 (Buchse), 1,5 m
- 012-1756-00
- Kabel, robuste Ausführung, phasenstabil, Typ N (Stecker) auf DIN 9,5 (Stecker), 1 m
- 012-1757-00
- Kabel, robuste Ausführung, phasenstabil, Typ N (Stecker) auf DIN 9,5 (Stecker), 1,5 m
- 012-1758-00
- Kabel, robuste Ausführung, phasenstabil, Typ N (Stecker) auf DIN 9,5 (Stecker), 60 cm
- 012-1759-00
- Kabel, robuste Ausführung, phasenstabil, Typ N (Stecker) auf TNC (Buchse), 1 m
- 012-1760-00
- Kabel, robuste Ausführung, phasenstabil, Typ N (Stecker) auf TNC (Buchse), 1,5 m
- 012-1761-00
- Kabel, robuste Ausführung, phasenstabil, Typ N (Stecker) auf TNC (Buchse), 60 cm
- 012-1762-00
- Kabel, robuste Ausführung, phasenstabil, Typ N (Stecker) auf TNC (Stecker), 60 cm
- 012-1763-00
- Kabel, robuste Ausführung, phasenstabil, Typ N (Stecker) auf TNC (Stecker), 1 m
- 012-1764-00
- Kabel, robuste Ausführung, phasenstabil, Typ N (Stecker) auf TNC (Stecker), 1,5 m
- 012-1765-00
- Kabel, robuste Ausführung, phasenstabil, Typ N (Stecker) auf Typ N (Buchse), 60 cm
- 012-1766-00
- Kabel, robuste Ausführung, phasenstabil, Typ N (Stecker) auf Typ N (Buchse), 1 m
- 012-1767-00
- Kabel, robuste Ausführung, phasenstabil, Typ N (Stecker) auf Typ N (Stecker), 1 m
- 012-1768-00
- Kabel, robuste Ausführung, phasenstabil, Typ N (Stecker) auf Typ N (Stecker), 60 cm
- 012-1769-00
- Kabel, robuste Ausführung, phasenstabil, Typ N (Stecker) auf Typ SMA (Buchse), 60 cm
- 012-1770-00
- Kabel, robuste Ausführung, phasenstabil, Typ N (Stecker) auf Typ SMA (Buchse), 1 m
- 012-1771-00
- Kabel, robuste Ausführung, phasenstabil, Typ N (Stecker) auf Typ SMA (Buchse), 1,5 m
- 012-1772-00
- Kabel, robuste Ausführung, phasenstabil, Typ N (Stecker) auf Typ SMA (Stecker), 60 cm
- 012-1773-00
- Kabel, robuste Ausführung, phasenstabil, Typ N (Stecker) auf Typ SMA (Stecker), 1 m
- 012-1774-00
- Kabel, robuste Ausführung, phasenstabil, Typ N (Stecker) auf Typ SMA (Stecker), 1,5 m










