
Contactez-nous
Chat en direct avec un représentant Tek. Service disponible de 9 h à 17 h, CET jours ouvrables.
Appelez-nous au
Disponible de 9 h à 17 h CET jours ouvrables.
Télécharger
Télécharger des manuels, des fiches techniques, des logiciels, etc. :
Feedback
Analyseur de spectre
Fiche technique de l’analyseur de spectre portable de la série RSA500A
Plus d’informations
- Analyseurs de spectre en temps réel Série RSA500
- Assistance produit
- Découvrez d'autres modèles Analyseur de spectre : comment choisir son modèle ?
Lire en ligne :
Les analyseurs de spectre USB de la série RSA500A sont alimentés par batterie et bénéficient d’une conception robuste afin d’offrir une solution d’analyse de spectre très performante et portable.
Caractéristiques et avantages
- La plage de fréquences de 9 kHz à 3 ou 7,5 GHz couvre un large éventail de besoins d'analyse
- La bande passante de 40 MHz permet d'effectuer des analyses en temps réel de capture de phénomènes transitoires et des analyses vectorielles
- Récepteur GPS/GLONASS/Beidou standard de mappage
- Générateur de suivi en option pour les mesures de gain/perte, d'antenne et de câble
- La capture en continu peut servir à enregistrer et à reproduire les événements de long terme
- Adapté à une utilisation en environnements hostiles : résistance aux chocs et aux vibrations, certifié Mil-Std 28800 Classe 2.
- Batterie interne pour utilisation étendue sur le terrain
- Le logiciel SignalVu-PC permet de traiter les signaux en temps réel à l'aide d'un spectrogramme DPX pour accélérer l'identification de phénomènes transitoires et d'interférences
- La durée minimale de signal de 100 μsec et la probabilité totale d'interception vous garantissent une identification immédiate et systématique
- Interface de programmation d'application comprise pour le développement de programmes personnalisés
- Les accessoires, y compris une tablette PC, des kits d'étalonnage, des adaptateurs et des câbles de stabilisation de phase, constituent une solution complète d'identification d'interférences sur le terrain et de maintenance de transmetteur
Applications
- Gestion de spectre
- Recherche d'interférences
- Maintenance, installation et réparation des réseaux radio
La série RSA500 vous fait gagner du temps et vous aide à réussir.
La série RSA500 a été conçue pour fournir des analyses de spectre en temps réel et résoudre les problèmes rencontrés par les personnes en charge de la gestion des spectres, de la recherche d’interférences et de la maintenance du réseau. Elles doivent en effet suivre des interférences difficiles à détecter, assurer la maintenance de réseaux RF et conserver des traces de leur travail. L’analyseur de spectre RF basé sur USB est au cœur du système qui capture très fidèlement des bandes passantes de 40 MHz en environnements difficiles. Avec une plage dynamique de 70 dB et un couverture en fréquence jusqu’à 7,5 GHz, tous les signaux intéressants peuvent être précisément observés et mesurés. Le facteur de forme USB libère vos mains du poids de l‘instrument puisque ces dernières n’ont plus à gérer une tablette ou un ordinateur portable. Transporter un ordinateur léger plutôt qu’un lourd analyseur de spectre vous permet de vous déplacer plus facilement, plus longtemps et d’effectuer plus rapidement votre travail.
Le générateur de suivi optionnel permet d’effectuer des mesures de gain ou de pertes pour des tests rapides de filtres, de duplexeurs et d’autres éléments de réseaux. Vous pouvez également ajouter si besoin des mesures de VSWR, de désadaptation globale, de distance à la défaillance et de pertes dans des câbles ou des antennes.
Le logiciel SignalVu-PC offre d’importantes capacités d’analyse sur le terrain
La série RSA500 fonctionne avec le logiciel SignalVu-PC, un programme puissant sur lequel reposent les analyseurs de spectre traditionnels de Tektronix. SignalVu-PC permet d’effectuer des analyses approfondies jusqu’ici indisponibles dans les solutions haute performances fonctionnant sur batterie. Le traitement en temps réel du spectre DPX/Spectrogramme se fait dans votre PC, ce qui réduit encore le coût du matériel. Les clients qui ont besoin d’un accès par programme à l’instrument peuvent choisir l’interface de programmation de SignalVu-PC ou l'interface de programmation d'application (ou API) incluse qui comprend directement une riche panoplie de commandes et de mesures. Les fonctionnalités de base du programme gratuit SignalVu-PC sont loin d'être réduites. Les mesures de la version de base sont indiquées ci-dessous.
Le RSA500A associé à SignalVu-PC permet d’effectuer des mesure avancées sur le terrain.
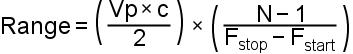
Avec 40 MHz de bande passante en temps réel, le spectre DPX/spectrogramme unique vous montre chaque composante d’un signal inconnu ou d’une interférence, même celles d’une durée de 100 μs. L'image qui suit montre une transmission WLAN (en vert et orange) ; les signaux étroits qui se répètent sur tout l'écran sont ceux d'une sonde d'accès Bluetooth. Le spectrogramme (partie supérieure de l'écran) sépare clairement ces signaux dans le temps pour révéler toute collision de signaux.

La détection de signaux inconnus est simple avec le suivi du masque des signaux inattendus. Il est possible de créer un masque sur l’affichage du spectre DPX et des actions prises suite à chaque violation, notamment l’arrêt, l’enregistrement d’une image, d’une acquisition ou l’envoi d’une alerte sonore. La violation du masque qui apparaît en rouge sur le masque de l’illustration ci-dessous a commandé l’enregistrement d’une capture d’écran. Le test de masque peut être utilisé pour suivre les signaux inattendus et relire les signaux enregistrés, ce qui permet de tester plusieurs violations sur les mêmes signaux.

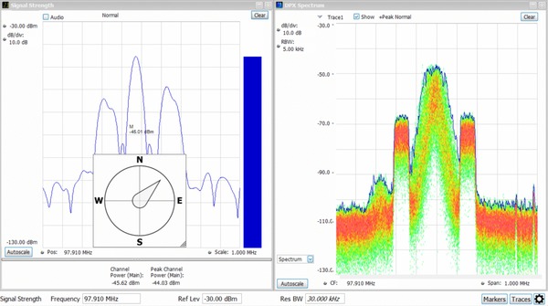
Déterminer la direction et mesurer la force du signal sont des opérations rapides et faciles grâce au logiciel standard SignalVu-PC. L’illustration ci-dessous montre qu’en utilisant l’antenne intelligente Alaris disponible, une boussole suit en continu la direction de l’antenne tandis que le moniteur de force du signal effectue des mesures et fournit des indications audio relatives à la force du signal. Lorsqu’ils sont associés à l’option MAP de SignalVu-PC, la force du signal et l’azimut sont automatiquement placés sur la carte de votre choix.

Le générateur de suivi (option 04 du RSA500 ) est contrôlé par SignalVu-PC. Vous pouvez renseigner ici les fréquences de début et de fin, définir le nombre de pas de la plage, régler le niveau de référence et normaliser le générateur de suivi à l’aide d’une fonction d'étalonnage. La réponse d’un filtre passe-bande de 800 MHz à 3 GHz est présentée ci-dessous.

Licences adaptées à l'application SignalVu-PC
SignalVu-PC propose un large éventail d'options orientées vers les application, dont :
- Analyse des principales modulations numériques (27 types de modulation dont 16/32/64/256 QAM, QPSK, O-QPSK, GMSK, FSK, APSK)
- Analyse Bluetooth® d'énergie faible (BLE), du taux de base (BR) et du débit de données amélioré (EDR)
- Analyse P25 des signaux phase I et phase 2
- Analyse WLAN de signaux 802.11a/b/g/j/p, 802.11n, 802.11ac
- LTE™ FDD et TDD Station de Base (eNB) Cell ID & mesures RF
- Cartographie
- Analyse des impulsions
- Mesure AM/FM/PM/Direct Audio y compris SINAD, THD
- Une lecture de fichiers enregistrés qui inclut une analyse complète dans tout les domaines.
- Classification du signal et évaluation
Pour obtenir tous les détails et les informations de commande, consultez la fiche technique séparée relative à SignalVu-PC. Les applications sélectionnées apparaissent sur l’illustration ci-dessous.
APCO 25
L'application SV26 de SignalVu-PC permet des contrôles rapides normés de la qualité de l'émetteur sur des signaux APCO P25. L'image suivante illustre l'utilisation du spectrogramme pour surveiller les anomalies dans un signal HPCM de Phase II tout en effectuant des mesures de puissance d'émetteur, de modulation et de fréquence conformément aux normes TIA-102.

LTE
L'application SV28 autorise les mesures d'émetteur de la station de base LTE suivantes :
- Cell ID
- Puissance de la voie
- Bande passante occupée
- Ratio du canal de fuite adjacent (ACLR)
- Masque d'émissions du spectre (SEM)
- Émetteur de puissance pour TDD
Les mesures suivent la définition en 3GPP TS Version 12.5 et prennent en charge toutes les catégories de station de base, picocells et femtocells inclus. Les informations concernant les réussites/échecs sont rapportées et tous les canaux de bande passante sont pris en charge.
La préconfiguration Cell ID affiche la synchronisation du signal primaire (PSS) ainsi que la synchronisation du signal secondaire (SSS) sous la forme d'un diagramme de constellation. Elle fournit également les erreurs de fréquence.
L'illustration ci-dessous représente la surveillance spectrale à l'aide de l'affichage du spectrogramme combiné aux mesures de Cell ID/constellation, du masque d'émissions du spectre et du rapport de fuite de voie adjacente.


Désadaptation globale, VSWR, distance de défaut et perte de câble : effectuez des tâches de caractérisation de composant facilement et au moindre coût. Équipés du générateur de suivi option 04 et de la licence d'application SV60xx-SVPC, les appareils de la gamme RSA500A effectuent des mesures monoports sur des câbles, appareils et antennes.
Désadaptation globale d'un filtre de bande passante mesurée de 700 MHz à 2,6 GHz. Des marqueurs ont été placés à 1,48 GHz (désadaptation globale de -34,4 dB) et à 1,73 GHz (désadaptation globale de -11,68 dB) pour indiquer la meilleure et la pire correspondance dans la bande passante du filtre.
Lecture
L'application SV56 de lecture de signaux enregistrés permet de réduire les heures d'observation et d'attente d'une violation spectrale à quelques minutes d'examen des données enregistrées.
La durée d'enregistrement n'est limitée que par la taille du support, et l'enregistrement est une fonctionnalité de base comprise dans SignalVu-PC. L'application SV56 de lecture de SignalVu-PC permet l'analyse complète de toutes les mesures de SignalVu-PC, spectrogramme DPX inclus. Les spécifications de durée minimale du signal sont maintenues pendant la lecture. Une démodulation audio AM/FM peut être effectuée. Durée variable, résolution de bande passante, longueur de l'analyse et la bande passante sont tous disponibles. Un test de masque de fréquence peut être effectué sur les signaux enregistrés avec des actions incluant des bips, des arrêts, des sauvegardes de tracé, d'images ou de données. Il est possible de sélectionner des parties du signal, de les lire en boucle afin d'examiner la répétition de signaux intéressants. Il est possible de naviguer librement dans la lecture et des coupures peuvent y être effectuées afin de réduire le temps d'examen.
L'heure de l'enregistrement est affichée dans les marqueurs du spectrogramme pour corréler les événements réels. Dans l'illustration ci-dessous, la bande FM est rejouée avec l'application d'un masque, afin de détecter les violations spectrales simultanément à l'écoute du signal FM à la fréquence centrale de 92,3 MHz.

Cartographie
L’application SignalVu-PC MAP permet de rechercher des interférences et d’analyser l’emplacement. Localisez les interférences grâce à une fonction azimutale qui vous permet de tracer une ligne ou une flèche sur une mesure cartographiée afin d’indiquer la direction ou d’utiliser l’antenne intelligente Alaris disponible avec le placement automatique d’azimut.

Évaluation/classification du signal
L'application (SV54) fournit des conseils sur les systèmes experts qui aident l'utilisateur à classifier les signaux. Vous pouvez créer rapidement une région spectrale d'intérêt pour permettre aux utilisateurs d'identifier et de trier efficacement les signaux. Le masque de profil spectral, lorsqu'il est appliqué sur un tracé, fournit des indications sur la forme du signal, tandis que la fréquence, la bande passante et le nombre de voies sont affichés à des fins de classification rapide. Les normes WLAN, GSM, W-CDMA, CDMA, Bluetooth et les signaux EDR, LTE FDD, TDD, ATSC et autres peuvent être identifiés rapidement et facilement. Les bases de données peuvent être importées à partir de la bibliothèque de votre base de données de signaux H500/RSA2500 pour faciliter la transition vers la nouvelle base logicielle.
Une évaluation de signal typique est présentée ci-dessous. L'évaluation porte sur une portion de diffusion télévisuelle. Les 7 régions ont été déclarées en tant qu'Autorisée, Inconnue ou Non autorisée, conformément aux indications fournies par les barres de couleur pour chaque région. Dans l'illustration détaillée, une seule région a été sélectionnée. Comme nous avons déclaré le signal en tant que signal vidéo ATSC, le masque spectral du signal ATSC est appliqué sur la région. Le signal correspond parfaitement au masque spectral, porteuse résiduelle de la partie inférieure du signal comprise. Il est caractéristique des diffusions ATSC.



Désadaptation globale, VSWR, distance de défaut et perte de câble : effectuez facilement vos tâches de maintenance et de dépannage. Équipés du générateur de suivi option 04 et de la licence d'application SV60xx-SVPC, les appareils de la gamme RSA500A effectuent des mesures monoports sur des câbles, appareils et antennes.

Désadaptation globale en fonction de la distance pour un câble avec barillet inséré et une rallonge de câble. Le point M2 (17,638 m, MR) illustre le barillet, et le point M1 à 19,725 m correspond à l'extrémité du câble.
Désadaptation globale d'un filtre de bande passante mesurée de 700 MHz à 2,6 GHz. Des marqueurs ont été placés à 1,48 GHz (désadaptation globale de -34,4 dB) et à 1,73 GHz (désadaptation globale de -11,68 dB) pour indiquer la meilleure et la pire correspondance dans la bande passante du filtre.
Contrôleur d’instrument pour analyseurs de spectre USB
Pour les opérations sur le terrain utilisant une solution complète, une tablette ou un ordinateur portable sous Windows sont nécessaires afin de faire fonctionner les instruments, enregistrer les résultats et communiquer. Tektronix vend la tablette Panasonic FZ-G1 seule ou en option avec la série RSA500.

Le logiciel SignaVu-PC est préinstallé sur la tablette FZ-G1 vendue par Tektronix. La programmation de ses paramètres d’affichage et des boutons de la face avant est personnalisée afin d’optimiser l’expérience d’utilisation de SignalVu-PC. De plus, Tektronix a testé la tablette FZ-G1 pour vérifier que les performances en temps réel spécifiées de tous les analyseurs de spectre USB sont bien atteintes dans cette configuration. Les accessoires, notamment les batteries, les étuis, les adaptateurs pour véhicules sont également disponibles auprès de Tektronix.
Principales spécifications, contrôleur de l’instrument
- Système d’exploitation Windows 7 (Win8 Pro COA)
- Processeur Intel® Core i5-5300U 2,30 GHz ( i5-4310U 2,00 GHz en Chine)
- 8 Go RAM
- Unité de stockage SSD 256 Go
- Écran lisible à la lumière du jour de 10,1 pouces (25,6 cm)
- Écran numériseur 10 points Multi Touch+ avec interface stylet incluse
- Ports USB 3.0 + HDMI, 2e port USB
- Large bande mobile à plusieurs porteuses Wi-Fi, Bluetooth® et 4G LTE avec GPS satellite
- Certifié MIL-STD-810G (chute d’une hauteur de 1,22 m, chocs, vibrations, pluie, poussière, sable, altitude, gel/dégel, températures élevées/basses, choc thermique, humidité, atmosphère explosive)
- Conception hermétique certifiée IP65 adaptée à toutes les conditions climatiques
- Microphone intégré
- Haut-parleur intégré
- Commandes du volume et du mode silence à l’écran et par bouton •
- Batterie de secours intégré pour permettre leur remplacement à chaud
- Garantie de 3 ans avec assistance professionnelle (assurée localement par Panasonic)
Antenne intelligente pour recherche d’interférences
Tektronix propose l’antenne intelligente Alaris DFA-00471avec boussole USB intégrée pour les applications de recherche de direction et d’interférences. Tous les détails relatifs à l’antenne sont fournis dans la fiche technique Alaris disponible en recherchant Alaris sur le site Tek.com. Un récapitulatif des fonctionnalités et spécifications est fourni ci-dessous.
- Plages de fréquences : Extension 20 MHz – 8,5 GHz - 9 kHz-20 MHz disponibles (antenne cadre de 0,3 m), commande DF-A0047-01 1
 
- Commande à déclenchement pour utilisation à une main avec des fonctions pour : - Marche/arrêt du préamplificateur
- Basculement de bande
- Appuyer pour effectuer des mesures avec SignaVu-PC avec option MAP
 
- Extension accoudoir standard pour une utilisation facilitée durant les longues sessions de recherche d’interférences
- Mallette de transport disponible

Antenne intelligente de recherche de direction Alaris.
1L’antenne Alaris et la tablette Panasonic sont disponibles uniquement dans certaines zones géographiques. Consultez les informations de commande pour obtenir des détails supplémentaires.
Kits d'étalonnage, câbles de phase stabilisée, adaptateurs, antennes et autres accessoires
Tektronix propose de nombreux accessoires pour simplifier la sélection d'une solution complète de test sur le terrain . Consultez la section « Informations commerciales » pour obtenir plus d'informations.


Le RSA56RACK contient un RSA500A pour les applications basées sur un montage en rack.

La mallette RSA500TRANSIT offre suffisamment d'espace pour contenir l'instrument, une tablette, un adaptateur secteur et des accessoires dans son étui souple

L'étui souple 016-2109-01 est livré de série avec chaque RSA500A et peut accueillir l'instrument, une tablette et divers accessoires.
Caractéristiques
Toutes les caractéristiques sont garanties sauf indication contraire. Toutes les caractéristiques s'appliquent à tous les modèles sauf indication contraire.
Fréquence
- Plage de fréquences
- RSA503A
- 9 kHz à 3 GHz
- RSA507A
- 9 kHz à 7,5 GHz
 
- Précision de l’affichage du marqueur de fréquence
- ±(RE × MF + 0,001 × intervalle) Hz - RE : Erreur sur la fréquence de référence - MF : Fréquence du marqueur [Hz] 
- Précision de la fréquence de référence
- Précision initiale à l’étalonnage (30 min de montée en température)
- ±1 x 10-6 
- Vieillissement de la première année, standard
- ±1 x 10-6 (1 an)
- Erreur cumulative (précision initiale + température + vieillissement), standard
- 3 x 10-6 (1 an)
- Glissement de température
- ±0.9 x 10-6 (-10 à 60 °C)
- Entrée de référence externe
- Connecteur BNC, 50 Ω nominal
- Fréquence de l’entrée de référence externe
- Tous les 1 MHz, de 1 à 20 MHz, plus ce qui suit : 1,2288 MHz, 2,048 MHz, 2,4576 MHz, 4,8 MHz, 4,9152 MHz, 9,8304 MHz, 13 MHz et 19,6608 MHz. - Le niveau de parasites du signal d’entrée doit être inférieur à -80 dBc avec une déviation inférieure à 100 kHz pour éviter les parasites à l’écran. 
- Plage d’entrée de référence externe
- ± 5 ppm
- Niveau d’entrée de référence externe
- -10 à +10 dBm
 
GNSS
- Précision, lorsque verrouillé en GNSS1
- ±0,025 ppm2
- Précision corrigée par GNSS lorsque l’antenne GNSS est déconnectée3, 4
- ±0,025 ppm5 - ±0,08 ppm6 
 
1testé à l’aide d’un système GPS.
2Pour obtenir une stabilité de ±0,025 ppm, l’unité doit être alimentée en permanence pendant 2 à 5 jours après son premier déballage.
3Testé à l’aide d’un système GPS.
4Pour 24 h de fonctionnement continu dans les limites de température (consulter les notes de bas de page 5 et 6) la correction GNSS. Correspond à la spécification d’erreur cumulative si fonctionnement en mode GNSS corrigé depuis moins de 24 heures après la dernière correction.
5Pour un écart de température inférieur à 3 °C depuis la correction.
6Pour un écart de température inférieur à 10 °C depuis la correction.
Entrée radio-fréquence (RF)
- Entrée radio-fréquence (RF)
- Impédance d'entrée RF
- 50 Ω
- VSWR RF (atténuateur RF = 20 dB), standard
- < 1,2 (10 MHz à 3 GHz) - < 1,5 (>3 GHz à 7,5 GHz) 
- VSWR RF préamplificateur activé, RSA503A et RSA507A, standard
- < 1.5 (10 MHz à 6 GHz, atténuateur RF =10 dB, préamplificateur activé) - < 1.7 (>6 GHz à 7,5 GHz, atténuateur RF =10 dB, préamplificateur activé) 
 
- Niveau d'entrée RF maximal
- Tension continue maximale
- ±40 V (entrée RF)
- Puissance d'entrée de sécurité maximum
- +33 dBm (entrée RF, 10 MHz à 7,5 GHz, atténuation RF ≥ 20 dB) - +13 dBm (entrée RF, 9 kHz à 10 MHz,) - +20 dBm (entrée RF, atténuation RF ≥ 20 dB) 
- Puissance d'entrée de sécurité maximum (préamplificateur activé)
- +33 dBm (entrée RF, 10 MHz à 7,5 GHz, atténuation RF ≥ 20 dB) - +13 dBm (entrée RF, 9 kHz à 10 MHz,) - +20 dBm (entrée RF, atténuation RF ≥ 20 dB) 
- Puissance d'entrée mesurable maximum
- +30 dBm (entrée RF, ≥10 MHz à Fmax, atténuation RF automatique) - +20 dBm (entrée RF, <10 MHz, atténuation RF automatique) 
 
- Atténuateur RF en entrée
- 0 dB à 51 dB (pas de 1 dB)
Amplitude et RF
- Amplitude et platitude RF
- Plage de réglage du niveau de référence
- -170 dBm à 40 dBm, incrément de 0,1 dB, (entrée RF standard)
- Réponse de fréquence de 18 à 28 °C (réglage d'atténuateur à 10 dB RF)
- Précision d'amplitude à toutes les fréquences centrales - 18 à 28 °C - 18 à 28 °C, standard (95 % de confiance) - -10 à 55 °C, standard - 9 kHz ≤ 3 GHz - ±0,8 dB - ±0,2 dB - ±1,0 dB - > 3 à 7,5 GHz - ±1,5 dB - ±0,6 dB - ±2,0 dB 
- Précision d'amplitude à toutes les fréquences centrales : préampli activé (18 à 28 °C, réglage d'atténuateur à 10 dB RF)
- Plage de fréquences centrales - 18 à 28 °C - 18 à 28 °C, standard (95 % de confiance) - 18 à 28 °C, standard - 100 kHz à 3 GHz - ±1,0 dB - ±0,5 dB - ±1,0 dB - > 3 à 7,5 GHz - ±1,75 dB - ±0,75 dB - ±3,0 dB 
- Gain du préampli
- 27 dB à 2 GHz - 21 dB à 6 GHz (RSA507A) 
 
- Réponse de la voie (amplitude et déviation de phase), standard
- Pour ces spécifications, utilisez une fenêtre supérieure plate afin de bénéficier de la meilleure précision de vérification pour les signaux CW (onde continue) avec l’atténuateur RF paramétré sur 10 dB. - Caractéristiques - Description - Fréquence centrale de mesure - Plage - Platitude de l’amplitude, standard - Amplitude crête/crête, efficace, standard - Linéarité de phase, efficace, standard - 9 kHz à 40 MHz - ≤40 MHz 1 - ±1,0 dB - 0,60 dB - >40 MHz à 4,0 GHz - ≤ 20 MHz - ±0,10 dB - 0,08 dB - 0,3° - >4 GHz à 7,5 GHz - ≤ 20 MHz - ±0,35 dB - 0,20 dB - 0,7° - >40 MHz à 4 GHz - ≤ 40 MHz - ±0,15 dB - 0,08 dB - 0,6° - >4 GHz à 7,5 GHz - ≤ 40 MHz - ±0,40 dB - 0,20 dB - 1,0° 
 
1La plage ne peut dépasser la limite basse de fréquence de l’instrument
Déclenchement
- Entrée de déclenchement/synchronisation, standard
- Plage de tension : TTL, 0,0 V à 5,0 V - Niveau de déclenchement (trigger de Schmitt) : - Tension de déclenchement sur un front montant : 1,6 V min, 2,1 V max - Tension de déclenchement sur un front descendant : 1,0 V min, 1,35 V max - Impédance : 10 kohms avec pince schottky à 0 V, +3,4 V 
- Incertitude temporelle de déclenchement externe
- Bande passante d’acquisition >20 MHz à 40 MHz : ±250 ns - L’incertitude augmente lorsque la bande passante d’acquisition diminue. 
- Déclenchement de puissance
- Déclenchement de puissance, standard
- Gamme : 0 dB à -50 dB à partir du niveau de référence, pour niveaux de déclenchement > 30 dB au-dessus du niveau de bruit. - Type : Front montant ou descendant - Temps de réarmement du déclencheur : ≤ 100 μsec 
- Incertitude temporelle de la position de déclenchement de puissance
- Bande passante d’acquisition >20 MHz à 40 MHz : ±250 ns - L’incertitude augmente lorsque la bande passante d’acquisition diminue. 
- Précision du niveau de déclenchement de puissance
- ±1,5 dB pour des signaux CW réglés à une fréquence centrale pour des niveaux de déclenchement > 30 dB au-dessus du niveau de bruit. - Cette spécification s’ajoute à l’incertitude globale de la précision de l’amplitude pour le mode SA. 
 
Bruit et distorsion

- Interception IM de 3e ordre (TOI)
- +12 dBm à 2,130 GHz
- Interception IM de 3e ordre (TOI)
- Préampli désactivé, standard
- +10 dBm (9 kHz à 25 MHz) - +15 dBm (25 MHz à 3 GHz) - +15 dBm (3 GHz à 4 GHz, RSA507A) - +10 dBm (4 GHz à 7,5 GHz, RSA507A) 
- Préampli activé, standard
- -20 dBm (9 kHz à 25 MHz) - -15 dBm (25 MHz à 3 GHz) - -15 dBm (3 GHz à 4 GHz, RSA507A) - -20 dBm (4 GHz à 7,5 GHz, RSA507A) 
 
- Distorsion d’inter-modulation du 3e ordre
- -74 dBc à 2,130 GHz) - Chaque niveau du signal de -25 dBm à l’entrée RF. Séparation de tonalité de 2 MHz. Atténuateur = 0, niveau de référence = -20 dBm. 
- Distorsion d’inter-modulation du 3e ordre
- Préamplificateur désactivé, standard
- < -70 dBc (10 kHz à 25 MHz) - < -80 dBc (25 MHz à 3 GHz) - < -80 dBc (3 GHz à 4 GHz) - < -70 dBc (4 GHz à 6 GHz, RSA507A) - < -70 dBc (6 GHz à 7,5 GHz, RSA507A) - Chaque niveau du signal de -25 dBm à l’entrée RF. Séparation de tonalité de 2 MHz. Atténuateur = 0, niveau de référence = -20 dBm. 
- Préamplificateur activé, standard
- < -70 dBc (9 kHz à 25 MHz) - < -80 dBc (25 MHz à 3 GHz) - < -80 dBc (3 GHz à 4 GHz) - < -70 dBc (4 GHz à 6 GHz, RSA507A) - < -70 dBc (6 GHz à 7,5 GHz, RSA507A) - Chaque niveau du signal de -55 dBm à l’entrée RF. Séparation de tonalité de 2 MHz. Atténuateur = 0, niveau de référence = -50 dBm. 
 
- Distorsion de 2e harmonique, typique
- Distorsion de 2e harmonique
- < -75 dBc (40 MHz à 1,5 GHz) - < -75 dBc (1,5 GHz à 3,75 GHz, RSA507A) 
- Distorsion de 2e harmonique, préamplificateur activé
- < - 60 dBc , 40 MHz à 13,5 GHz, fréquence d’entrée 
 
- Interception de distorsion de 2e harmonique (SHI)
- +35 dBm, 40 MHz à 1,5 GHz, fréquence d’entrée - +35 dBm, 1,5 GHz à 3,75 GHz, fréquence d’entrée 
- Interception de distorsion de 2e harmonique (SHI), préamplificateur activé
- +15 dBm, 40 MHz à 3,75 GHz, fréquence d’entrée 
- Niveau de bruit moyen affiché (DANL)
- (Normalisé à 1 Hz RBW, avec détecteur en moy. logarithmique) - Plage de fréquences - Préampli activé - Préampli activé, standard - Préampli désactivé, standard - 500 kHz à 1 MHz - -138 dBm/Hz - -145 dBm/Hz - -130 dBm/Hz - 1 MHz à 25 MHz - -153 dBm/Hz - -158 dBm/Hz - -130 dBm/Hz - >25 MHz à 1 GHz - -161 dBm/Hz - -164 dBm/Hz - -141 dBm/Hz - >1 GHz à 2 GHz - -159 dBm/Hz - -162 dBm/Hz - -141 dBm/Hz - >2 GHz à 3 GHz - -156 dBm/Hz - -159 dBm/Hz - -138 dBm/Hz - > 3 GHz à 4,2 GHz, RSA507A - -153 dBm/Hz - -156 dBm/Hz - -138 dBm/Hz - > 4,2 GHz à 6 GHz, RSA507A - -159 dBm/Hz - -162 dBm/Hz - -147 dBm/Hz - > 6 GHz à 7,5 GHz, RSA507A - -155 dBm/Hz - -158 dBm/Hz - -145 dBm/Hz 
Bruit de phase
- Bruit de phase
- Décalage - CF 1 GHz - CF 1 GHz (standard) - CF 2 GHz (standard) - CF 6 GHz, (RSA507A) (standard)- 10 MHz (standard) - 10 kHz - -94 dBc/Hz - -97 dBc/Hz - -96 dBc/Hz - -94 dBc/Hz - -120 dBc/Hz - 100 kHz - -94 dBc/Hz - -98 dBc/Hz - -97 dBc/Hz - -96 dBc/Hz - -124 dBc/Hz - 1 MHz - -116 dBc/Hz - -121 dBc/Hz - -120 dBc/Hz - -120 dBc/Hz - -124 dBc/Hz 
Réponse parasite
- Réponse parasite résiduelle (référence = -30 dBm, RBW = 1 kHz)
- <-75 dBm (500 kHz à 60 MHz), type - <-85 dBm (>60 MHz à 80 MHz), type - <-100 dBm (>80 MHz à 7,5 GHz), type 
- Réponse parasite avec signal (suppression de l'image)
- < -65 dBc (10 kHz à < 3 GHz, Réf= -30 dBm, Atten = 10 dB, niveau d’entrée RF = -30 dBm, RBW = 10 Hz) - < -65 dBc (3 GHz à 7,5 GHz, Réf= -30 dBm, Atten = 10 dB, niveau d’entrée RF = -30 dBm, RBW = 10 Hz) 
- Réponse parasite avec signal CF
- Déviation ≥ 1 MHz 
Séparation en fréquence ≤ 40 MHz, fréquence de balayage > 40 MHz Standard 1 MHz - 100 MHz -75 dBc 100 MHz - 3 GHz -72 dBc -75 dBc 3 GHz - 7,5 GHz (RSA507A) -72 dBc -75 dBc 
- Réponse parasite avec signal au FC
- (100 kHz ≤ décalage < 1 MHz, excursion de fréquence = 2 MHz) : 
Fréquence type P (PRI) Type 1 MHz à 100 MHz -76 dBc 100 MHz à 3 GHz -76 dBc 3 GHz à 7,5 GHz (RSA507A) -74 dBc 1 
1Bandes de modulation d'alimentation, 620 à 660 kHz : -67 dBc, type
- Réponse parasite avec signal autre que CF, standard
- Fréquence - Intervalle ≤ 40 MHz, fréquence de balayage > 40 MHz - 1 MHz – 25 MHz (bande BF) - -73 dBc - 25 MHz – 3 GHz - -73 dBc - 3 GHz – 7,5 GHz (RSA507A) - -73 dBc 
- Réponse parasite avec signal à la moitié de la FI1
- RSA503A, RSA507A
- < 75 dBc, (FC : 30 MHz à 3 GHz, réf = -30 dBm, attén. = 10 dB, RBW = 10 Hz, portée = 10 kHz) - Fréquence de signal = 2 310 MHz, niveau d'entrée RF = -30 dBm 
- RSA507A
- < 77 dBc, (FC 3 GHz à 7,5 GHz, réf. = -30 dBm, attén. = 10 dB, RBW = 10 Hz, portée = 10 kHz) - niveau d'entrée RF = -30 dBm 
 
1Il s'agit d'un signal d'entrée dont la fréquence est la moitié de la fréquence intermédiaire (FI).
- Traversée d'oscillateur local vers connecteur d'entrée, standard
- < -70 dBm, préamplificateur désactivé. - < -90 dBm, préamplificateur activé. - Atténuateur = 10 dB. 
Acquisition
- bande passante IF
- 40 MHz
- Convertisseur analogique-numérique
- 14 bits, 112 M éch./s.
- Données d'acquisition à FI en temps réel
- Échantillonnage 112 M éch./s sur des entiers relatifs 16 bits
ACLR
- Format
- GPS/GLONASS/BeiDou
- Puissance de l’antenne GPS
- 3 V, 100 mA maximum
- Durée avant la première réparation, maximum
- Plages temporelles de blocage de 2 secondes (à chaud) à 40 secondes (démarrage à froid)
- Précision de la position horizontale
- GPS : 2,6 m - Glonass : 2,6 m - BeiDou : 10,2 m - GPS + Glonass : 2,6 m - GPS + BeiDou : 2,6 m - Conditions de test : 24 heures statique, -130 dBm, puissance totale 
Générateur de suivi (option 04)
- Générateur de suivi (option 04)
- Plage de fréquences
- 9 kHz à 3 GHz (RSA503) - 9 kHz à 7,5 GHz (RSA507) 
- Vitesse de balayage
- 6 700 MHz/s, 101 points, 50 kHz RBW (11 mS par point) - Mesurée avec un Panasonic Toughpad FZ-G1, processeur Intel® Core™ i5-5300U 2,3 GHz, 8 Go RAM, 256 Go SSD, Windows®7 Pro. 
- Résolution de fréquence
- 100 Hz
- Connecteur de sortie TG
- Type N
- VSWR
- Niveau de sortie < 1,8:1, 10 MHz à 7,5 GHz, -20 dBm
- Puissance maximale de sortie
- -3 dBm
- Plage de réglage du niveau de puissance de sortie
- 40 dB
- Palier du niveau de puissance de sortie
- 1 dB
- Précision du palier du niveau de puissance de sortie
- ±0,5 dB
- Précision du niveau de sortie
- Niveau de sortie ±1,5 dB, 10 MHz à 7,5 GHz, -20 dBm
- Harmoniques
- < -22 dBc
- Parasites non harmoniques
- < -30 dBc ; parasites < 2 GHz de la fréquence de sortie TG - < -25 dBc ; parasites ≥ 2 GHz de la fréquence de sortie TG 
- Puissance inverse sans dommage
- 40 V CC, +20 dBm RF
- Erreur de mesure de gain de transmission
- Gain de +20 à -40 dB : ±1 dB 
- Plage dynamique de mesure de gain de transmission
- 70 dB 
 
Mesures de désadaptation globale, de distance de défaut et de perte de câble
- Mesures de désadaptation globale, de distance de défaut et de perte de câble
- Mesures
- Désadaptation globale, perte de câble, distance de défaut
- Plage de fréquences
- 10 MHz à 3 GHz (RSA503A) 10 MHz à 7,5 GHz (RSA507A) 
- Vitesse de balayage1
- 5 ms/point, mesure de désadaptation globale 5 ms/point, mesure de la distance jusqu’à la défaillance 5 ms/point, mesure de perte de câble 
- Résolution de fréquence
- 500 Hz
- Erreur de mesure de désadaptation globale
- Désadaptation globale de 0 à 15 dB : ±0,5 dB Désadaptation globale de 15 à 25 dB : ±1,5 dB 
- Erreur de mesure de désadaptation globale à 14 dB
- ±1,5 dB de 10 MHz à 6,8 GHz ±3 dB de 6,8 GHz à 7,5 GHz ±1,0 dB de 10 MHz à 6,8 GHz ±2,5 dB de 6,8 GHz à 7,5 GHz 
- Plage de mesures de désadaptation globale
- 50 dB
- Immunité d'interférence
- Erreur de mesure de désadaptation globale dans les limites de spécification et les conditions suivantes : puissance du brouilleur de +5 dBm à 800 kHz du point de mesure puissance du brouilleur de +5 dBm à plus de 800 kHz du point de mesure 
- Plage de distance de défaut
- 1 500 m ou 15 dB sur une perte de câble à sens unique, défini par l'utilisateur
- Résolution de la distance de défaut
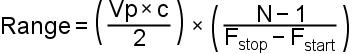
- 0,03 m (RSA503A, RG-58 (Vp=0,66)), défini par l'utilisateur 0,01 m (RSA507A, RG-58 (Vp=0.66)), défini par l'utilisateur La résolution minimale est une fonction du facteur de vitesse du câble et du saut de fréquence, comme suit : 
 
1Balayage de 201 points mesuré avec un Panasonic Toughpad FZ-G1.
Mesures et performances standard avec SignalVu-PC
- Mesures incluses.
- Caractéristiques principales de SignalVu-PC/RSA507A
- Plage maximale
- 40 MHz en temps réel balayage 9 kHz - 3 GHz (RSA503A) balayage 9 kHz - 7,5 GHz (RSA507A) 
- Durée maximale d'acquisition
- 1,0 s
- Résolution I&Q minimale
- 17,9 ns (BP d'acquisition = 40 MHz)
- Tables de réglage
- Les tables qui fournissent la sélection de fréquence sous la forme de canaux reposant sur des normes sont disponibles pour les catégories ci-dessous. - Familles de normes cellulaires : AMPS, NADC, NMT-450, PDC, GSM, CDMA, CDMA-2000, 1xEV-DO WCDMA, TD-SCDMA, LTE, WiMax - Courte portée sans licence : 802.11a/b/j/g/p/n/ac, Bluetooth - Téléphonie sans fil : DECT, PHS - Diffusion : AM, FM, ATSC, DVBT/H, NTSC - Radio, bipeurs mobiles et autres : GMRS/FRS, iDEN, FLEX, P25, PWT, SMR, WiMax 
 
- Affichage du spectre DPX
- Fréquence de traitement du spectre (RBW = auto, longueur de représentation 801)
- ≤10 000/s 
- Résolution bitmap DPX
- 201x801
- Informations du marqueur
- Amplitude, fréquence, densité de signal
- Durée minimale de signal pour une probabilité de détection de 100 %
- 100 μs Intervalle : 40 MHz, RBW = 300 kHz (Auto) En raison du temps d’exécution non déterministe des programmes fonctionnant sous système d'exploitation Microsoft Windows, cette spécification peut ne pas être satisfaite lorsque le PC hôte effectue d’autres tâches de traitement lourdes. 
- Excursion de fréquence (traitement continu)
- 1 kHz à 40 MHz
- Excursion de fréquence (balayage)
- Jusqu'à la plage de fréquences maximale de l'instrument
- Temporisation par étape
- 50 ms à 100 s
- Traitement de représentation
- Bitmap à couleurs progressives, +Crête, -Crête, moyenne
- Longueur de représentation
- 801, 2 401, 4 001, 10 401
- Plage RBW
- 1 kHz à 4,99 MHz
 
- Affichage du spectrogramme DPX
- Détection de représentation
- +Crête, -Crête, Moyenne (VEfficace)
- Longueur de représentation, profondeur de mémoire
- 801 (60 000 représentations) 2 401 (20 000 représentations) 4 001 (12 000 représentations) 
- Résolution temporelle par ligne
- 1 ms à 6 400 s, sélectionnable par l’utilisateur
 
- Affichage du spectre
- Représentations
- 3 représentations + 1 représentation de fonction mathématique + 1 représentation du spectrogramme pour affichage du spectre
- Fonctions de représentation
- Normale, Moyenne (VEFF), Max Hold, Min Hold, Moyenne logarithmique
- Détecteur
- Moyenne (VEFF), Moyenne, Crête CISPR, +Crête, -Crête, Échantillonnage
- Longueur de représentation du spectre
- 801, 2 401, 4 001, 8 001,10 401, 16 001, 32 001 et 64 001 points
- Plage RBW
- 10 Hz à 8 MHz
 
- Analyse de modulation analogique (standard)
- Précision de démodulation AM, typique
- ±2 % Entrée à 0 dBm à fréquence centrale porteuse de 1 GHz, fréquence d'entrée/modulée 1 kHz/5 kHz, profondeur de modulation 10 % à 60 % niveau de puissance d'entrée 0 dBm, niveau de référence = 10 dBm, Atten=Auto 
- Précision de démodulation FM, typique
- Plage de ±1 % - Entrée à 0 dBm à fréquence centrale porteuse de 1 GHz, fréquence d'entrée/modulée 400 Hz/1 kHz - Niveau de puissance d’entrée de 0 dBm, niveau de référence = 10 dBm, atténuation = Auto 
- Précision de démodulation PM, typique
- Bande passante de mesure de ± 3% - Entrée à 0 dBm à fréquence centrale porteuse de 1 GHz, fréquence d'entrée/modulée 1 kHz/5 kHz - Niveau de puissance d’entrée de 0 dBm, niveau de référence = 10 dBm, atténuation = Auto 
 
- Fréquence de balayage du spectre par rapport à la bande passante de la résolution
- Vitesse de balayage à pleine échelle
- 5 500 MHz/s (RBW = 1 MHz) - 5 300 MHz/s (RBW = 100 kHz) - 3 700 MHz/s (RBW = 10 kHz) - 950 MHz/s (RBW = 1 kHz) - Mesuré à l’aide d’une tablette Panasonic Toughpad FZ-G1, d’un processeur Intel® Core™ i5-5300U 2,3 GHz, de 8 Go de RAM, d’un SSD de 256 Go, de Windows®7 Pro. - L’affichage du spectre est une mesure effectuée uniquement à l’écran. 
 
Synthèse des performances des applications de SignalVu-PC
- Mesure AM/FM/PM et audio directe (SVAxx-SVPC)
- Plage de fréquences porteuses (pour modulation et mesures audio)
- (1/2 × bande passante d'analyse audio) jusqu'à la fréquence d'entrée maximale
- Séparation en fréquence audio maximale
- 10 MHz
- Mesures FM (Indice de mod. > 0,1)
- Puissance de l'onde porteuse, Erreur de fréquence d'onde porteuse, Fréquence audio, Déviation (+Crête, -Crête, Crête-à-crête/2, Efficace), Rapport de signal sur bruit (SINAD, signal-to-noise and distorsion ratio), Distorsion de modulation, S/B, Distorsion harmonique totale, Distorsion non-harmonique totale, Bourdonnement et bruit
- Mesures AM
- Puissance de l'onde porteuse, Fréquence audio, Profondeur de modulation (+Crête, -Crête, Crête-à-crête/2, Efficace), Rapport de signal sur bruit (SINAD, signal-to-noise and distorsion ratio), Distorsion de modulation, S/B, Distorsion harmonique totale, Distorsion non-harmonique totale, Bourdonnement et bruit
- Mesures PM
- Puissance de l'onde porteuse, Erreur de fréquence d'onde porteuse, Fréquence audio, Déviation (+Crête, -Crête, Crête-à-crête/2, Efficace), Rapport de signal sur bruit (SINAD, signal-to-noise and distorsion ratio), Distorsion de modulation, S/B, Distorsion harmonique totale, Distorsion non-harmonique totale, Bourdonnement et bruit
- Filtres audio
- Passe-bas, kHz : 0,3, 3, 15, 30, 80, 300 et valeurs définies par l'utilisateur jusqu'à 0,9 × bande passante audio - Passe-haut, Hz : 20, 50, 300, 400 et valeurs définies par l'utilisateur jusqu'à 0,9 × bande passante audio - Standard : CCITT, C-Message - Désaccentuation (μs) : 25, 50, 75, 750 et valeurs définies par l'utilisateur - Fichier : fichier .TXT ou .CSV fourni par l'utilisateur et définissant les paires amplitude/fréquence. Maximum 1 000 paires - Caractéristiques de performances, typique - Conditions : Sauf indication contraire, les performances sont indiquées pour : - Taux de modulation = 5 kHz - Profondeur AM : 50 % - Déviation PM : 0,628 radian - FM - AM - PM - Conditions - Précision de la puissance de porteuse - Reportez-vous à la précision de l’amplitude de l’instrument - Précision de la fréquence de porteuse - ± 0,5 Hz + (fréquence de l’émetteur × erreur de fréquence de réf.) - Reportez-vous à la précision de la fréquence de l’instrument - ± 0,2 Hz + (fréquence de l’émetteur × erreur de fréquence de réf.) - Déviation FM : 5 kHz / 100 kHz - Précision de la profondeur de modulation - S/O - ± 0,2 %+(0,01 * valeur mesurée) - S/O - Fréquence : 5 kHz 
 Profondeur : 50 %- Précision de la déviation - ± (1 % × (fréquence + déviation)+50 Hz) - S/O - ± 100 % * (0,01 + (valeur mesurée/1 MHz)) - Déviation FM : 100 kHz - Précision de la fréquence - ± 0,2 Hz - ± 0,2 Hz - ± 0,2 Hz - Déviation FM : 5 kHz / 100 kHz - THD résiduelle - 0,10 % - 0,16 % - 0,1 % - Déviation FM : 5 kHz / 100 kHz 
 Fréquence : 1 kHz- SINAD résiduel - 43 dB - 56 dB - 40 dB - Déviation FM 5 kHz 
 Déviation FM 100 kHz
 Fréquence : 1 kHz
 
- Application de mesure APCO P25 (SV26xx-SVPC)
- Mesures
- Puissance de sortie radio-fréquence (RF), précision de fréquence de fonctionnement, spectre d'émission de modulation, émissions non désirées, ACPR, écart de rapport, fidélité de modulation, erreur de fréquence, diagramme de l'œil, table de symboles, précision de débit de symboles, puissance d'émetteur et temps d'attaque de codeur, retard de débit d'émetteur, écart de fréquence/temps, puissance/temps, comportement de fréquence des transitoires, ACPR crête du canal logique de l'émetteur HCPM, puissance hors verrouillage du canal logique de l'émetteur HCPM, enveloppe de puissance du canal logique de l'émetteur HCPM, alignement temporel du canal logique de l'émetteur HCPM, marqueurs en corrélation croisée
- Fidélité de modulation, moyenne
- C4FM = ≤ 1,0 % - HCPM = ≤ 0,5 % - HDQPSK ≤ 0,25 % - Le niveau des signaux d’entrée est optimisé pour obtenir la meilleure fidélité de modulation possible. 
 
- Application de mesure Bluetooth (SV27xx-SVPC)
- Normes prises en charge
- BR (Basic Rate), BLE (Bluetooth Low Energy), EDR (Enhanced Data Rate) - Révision 4.1.1 - Types de paquet : DH1, DH3, DH5 (BR), Référence (LE) 
- Mesures
- Puissance en crête, puissance moyenne, ACP ou masque d'émission dans la bande passante, bande passante -20 dB, erreur de fréquence, caractéristiques de modulation incluant ΔF1avg (11110000), ΔF2avg (10101010), ΔF2 > 115 kHz, ratio ΔF2/ΔF1, déviation de fréquence para rapport au temps avec informations relative au paquet et à la mesure de niveau d'octet, fréquence porteuse f1, décalage de fréquence (préambule et charge), décalage de fréquence maximal, glissement de fréquence f1-f0, taux de glissement max. fn-f0 et fn-fn-5, Tableau de décalage de fréquence centrale et tableau de glissement de fréquence, tableau des symboles de codage couleur, informations de décodage d'en-tête de paquet, diagramme de l'œil, diagramme de constellation.
- Puissance de sortie (BR et LE), moyenne typique
- Mesures prises en charge : puissance moyenne, puissance crête - Incertitude de niveau : reportez-vous aux spécifications d'amplitude et de planéité de l'instrument - Plage de mesure : niveau du signal > -70 dBm 
- Caractéristiques de modulation, moyenne typique
- Mesures prises en charge : ΔF1moy, ΔF2moy, ΔF2moy/ ΔF1moy, ΔF2max%>=115 kHz (Basic Rate), ΔF2max%>=115 kHz (Low Energy) - Plage de déviation : ± 280 kHz - Incertitude de déviation (à 0 dBm) : - < 2 kHz1+ incertitude de fréquence de l'instrument (Basic Rate) - < 3 kHz1+ incertitude de fréquence de l'instrument (Low Energy) - Plage de mesure : fréquence nominale de la voie ± 100 kHz 
- ICFT (Initial Carrier Frequency Tolerance) (BR et LE), moyenne typique
- Incertitude de mesure (à 0 dBm) :< 1 kHz2+ incertitude de fréquence de l'instrument - Plage de mesure : fréquence nominale de la voie ± 100 kHz 
- Dérive fréquentielle de porteuse (BR et LE), moyenne typique
- Mesures prises en charge : décalage de fréquence max, dérive f1- f0, dérive max fn-f0, dérive max fn-fn-5(BR et LE 50 μs) - Incertitude de mesure : < 1 kHz + incertitude de fréquence de l'instrument - Plage de mesure : fréquence nominale de la voie ± 100 kHz 
- Émissions dans la bande (ACPR) (BR et LE)
- Incertitude de niveau : reportez-vous aux spécifications d'amplitude et de planéité de l'instrument 
 
1À une puissance nominale de 0 dBm
2À une puissance nominale de 0 dBm
- Analyse de modulation numérique à usage général (SVMxx-SVPC)
- Formats de modulation
- BPSK, QPSK, 8PSK, 16QAM, 32QAM, 64QAM, 128QAM, 256QAM, π/2DBPSK, DQPSK, π/4DQPSK, D8PSK, D16PSK, SBPSK, OQPSK, SOQPSK, 16-APSK, 32-APSK, MSK, GFSK, CPM, 2FSK, 4FSK, 8FSK, 16FSK, C4FM
- Période d'analyse
- Jusqu'à 81 000 échantillons
- Filtre de mesure
- Racine carrée de cosinus surélevé, Cosinus surélevé, Gaussien, Rectangulaire, IS-95 TX_MEA, IS-95 Base TXEQ_MEA, Aucun
- Filtre de référence
- Gaussien, Cosinus surélevé, Rectangulaire, IS-95 REF, Aucun
- Facteur d’atténuation du filtre
- α :0,001 à 1, par pas de 0,001
- Mesures
- Constellation, I&Q démod./temps, Erreur vectorielle (EVM)/temps, Diagramme de l'oeil, Écart de fréquence/temps, Erreur d'amplitude/temps, Erreur de phase/temps, Qualité des signaux, Table de symboles, Diagramme en treillis
- Débit de symboles maximum
- 240 M symboles/s Le signal modulé doit être entièrement contenu dans la bande passante d'acquisition 
- Égaliseur adaptatif
- Égaliseur linéaire, décisionnel, à boucle ouverte (FIR) avec adaptation de coefficient et fréquence de convergence réglable. Types de modulation pris en charge BPSK, QPSK, OQPSK, DQPSK, π/2DBPSK, π/4DQPSK, 8PSK, D8SPK, D16PSK, 16/32/64/128/256-QAM, 16/32-APSK
- EVM résiduel QPSK (fréquence centrale = 2 GHz), moyenne typique
- 0,6 % (débit de symboles 100 kHz) - 0,8 % (débit de symboles 1 MHz) - 0,8 % (débit de symboles 10 MHz) - 0,8 % (débit de symboles 30 MHz) - Longueur de mesure de 400 symboles, 20 moyennes, référence de normalisation = amplitude de symbole maximum 
- EVM résiduel QAM 256 (fréquence centrale = 2 GHz), moyenne typique
- 0,6 % (débit de symboles 10 MHz) - 0,7 % (débit de symboles 30 MHz) - Longueur de mesure de 400 symboles, 20 moyennes, référence de normalisation = amplitude de symbole maximum 
 
- Mesures LTE Down Link RF (SV28xx-SVPC)
- Norme prise en charge
- 3GPP TS 36.141 Version 12.5 
- Format de trame pris en charge
- FDD et TDD 
- Mesures et affichages pris en charge
- Rapport de fuite dans une voie adjacente (ACLR), Masque d’émission de spectre (SEM), Puissance de la voie, Largeur de bande occupée, Puissance en fonction du temps montrant la puissance d'émission OFF pour les signaux TDD et le diagramme de constellation LTE pour un signal de synchronisation primaire, Signal de synchronisation secondaire avec ID de Cell, ID de groupe , ID de secteur et Erreur de fréquence.
- ACLR avec des bandes E-UTRA (typique, avec correction du bruit)
- 1ère voie adjacente 60 dB (RSA507A) - 2ème voie adjacente 62 dB (RSA507A) 
 
- Cartographie (MAPxx-SVPC)
- Types de cartes prises en charge
- Pitney Bowes MapInfo (*.mif), Bitmap (*.bmp), Open Street Maps (.osm)
- Résultats de mesure enregistrés
- Fichiers de données de mesure (résultats exportés)
- Fichier de carte utilisé pour les mesures
- Fichier KMZ Google Earth
- Fichiers de résultats rappelables (fichiers de représentation et de réglage)
- Fichiers MIF/MID compatibles MapInfo
 
- Mesures d'impulsions (SVPxx-SVPC)
- Mesures (nominales)
- Affichage en cascade Pulse-Ogram™ de plusieurs captures segmentées, avec la comparaison de l'amplitude dans le temps au spectre de chaque impulsion. Fréquence des impulsions, Différence de fréquence, Puissance moyenne en état ON, Puissance en crête, Moyenne de puissance transmise, Largeur d'impulsion, Temps de montée, Temps de descente, Intervalle de répétition (en secondes), Intervalle de répétition (Hz), Rapport cyclique (%), Rapport cyclique (rapport), Ondulation (dB), Ondulation (%), Affaiblissement (dB), Affaiblissement (%), Suroscillation (dB), suroscillation (%), Différence de fréquence d'impulsion à impulsion de référence, Différence de phase d'impulsion à impulsion de référence, Différence de fréquence d'impulsion à impulsion, Différence de phase d'impulsion à impulsion, Erreur de fréquence efficace, Erreur de fréquence maximale, Erreur de phase efficace, Erreur de phase maximale, Déviation de fréquence, Déviation de phase, Réponse impulsionnelle (dB), Réponse impulsionnelle (durée), Horodatage.
- Largeur minimale d'impulsion détectable, typique
- 150 ns
- Puissance moyenne en état ON entre 18 °C et 28 °C, typique
- ± 0,4 dB + précision absolue de l'amplitude - Pour des impulsions d'au moins 300 ns, cycles de fonctionnement de 0,5 à 0,001 et rapport S/B ≥ 30 dB 
- Rapport cyclique, typique
- ± 0,2 % de la mesure Pour des impulsions d'au moins 450 ns, des cycles de fonctionnement de 0,5 à 0,001 et un rapport S/B ≥ 30 dB 
- Puissance transmise moyenne, typique
- ± 0,5 dB + précision absolue de l'amplitude - Pour des impulsions d'au moins 300 ns, cycles de fonctionnement de 0,5 à 0,001 et rapport S/B ≥ 30 dB 
- Puissance d'impulsion crête, typique
- ± 1,2 dB + précision absolue de l'amplitude - Pour des impulsions d'au moins 300 ns, cycles de fonctionnement de 0,5 à 0,001 et rapport S/B ≥ 30 dB 
- Largeur d'impulsion, typique
- ±0,25 % de la mesure - Pour des impulsions d'au moins 450 ns, cycles de fonctionnement de 0,5 à 0,001 et rapport S/B ≥ 30 dB 
 
- Mesures WLAN, 802.11a/b/g/j/p (SV23xx-SVPC)
- Mesures
- Puissance WLAN/temps ; table de symboles WLAN ; constellation WLAN ; masque d'émissions du spectre ; erreur vectorielle (EVM)/symbole (ou temps)/sous-porteuse (ou fréquence) ; amplitude erreur vectorielle/symbole (ou temps)/sous-porteuse (ou fréquence) ; erreur de phase/symbole (ou temps)/sous-porteuse (ou fréquence) ; réponse de fréquence du canal/symbole (ou temps)/sous-porteuse (ou fréquence) ; platitude spectrale/symbole (ou temps)/sous-porteuse (ou fréquence)
- EVM résiduel - 802.11a/g/j /p (OFDM), 64 QAM, typique
- BP 2,4 GHz, 20 MHz : -39 dB - BP 5.8 GHz, 20 MHz : -38 dB - Niveau des signaux d'entrée optimisé pour obtenir le meilleur EVM, moyenne de 20 salves, ≥16 symboles chacune 
- EVM résiduel - 802.11b, CCK-11, typique
- 2,4 GHz, 11 Mbps : 1,3 % - Niveau du signal d'entrée optimisé pour obtenir le meilleur EVM, moyenne de 1 000 circuits, BT = 0,61 
 
- Mesures WLAN 802.11n (SV24xx-SVPC)
- Mesures
- Puissance WLAN/temps ; table de symboles WLAN ; constellation WLAN ; masque d'émissions du spectre ; erreur vectorielle (EVM)/symbole (ou temps)/sous-porteuse (ou fréquence) ; amplitude erreur vectorielle/symbole (ou temps)/sous-porteuse (ou fréquence) ; erreur de phase/symbole (ou temps)/sous-porteuse (ou fréquence) ; réponse de fréquence du canal/symbole (ou temps)/sous-porteuse (ou fréquence) ; platitude spectrale/symbole (ou temps)/sous-porteuse (ou fréquence)
- Performances EVM - 802.11n, 64 QAM, typique
- BP 2,4 GHz, 40 MHz : -38 dB - BP 5.8 GHz, 40 MHz : -38 dB - Niveau des signaux d'entrée optimisé pour obtenir le meilleur EVM, moyenne de 20 salves, ≥16 symboles chacune 
 
- Mesures WLAN 802.11ac (SV25xx-SVPC)
- Mesures
- Puissance WLAN/temps ; table de symboles WLAN ; constellation WLAN ; masque d'émissions du spectre ; erreur vectorielle (EVM)/symbole (ou temps)/sous-porteuse (ou fréquence) ; amplitude erreur vectorielle/symbole (ou temps)/sous-porteuse (ou fréquence) ; erreur de phase/symbole (ou temps)/sous-porteuse (ou fréquence) ; réponse de fréquence du canal/symbole (ou temps)/sous-porteuse (ou fréquence) ; platitude spectrale/symbole (ou temps)/sous-porteuse (ou fréquence)
- Performances EVM - 802.11ac, 256 QAM, typique
- BP 5.8 GHz, 40 MHz : -38 dB - Niveau des signaux d'entrée optimisé pour obtenir le meilleur EVM, moyenne de 20 salves, ≥16 symboles chacune 
 
Ports d'entrée et de sortie
- Entrées, sorties et interfaces
- Entrée radio-fréquence (RF)
- Type N, femelle
- Entrée de référence de fréquence externe
- BNC, femelle
- Entrée de déclenchement/synchronisation
- BNC, femelle
- Sortie de source de générateur de suivi
- Type N, femelle
- Antenne GPS
- SMA, femelle
- Port appareil USB
- USB 3.0, type A
- LED d'état USB
- DEL, double couleur rouge/vert - États LED : - Rouge fixe : Alimentation USB en marche ou en cours de réinitialisation - Verte fixe : Initialisé, prêt à l'emploi - Verte clignotante : Transfert de données en cours vers l'hôte 
- LED d'état de batterie
- LED, verte - États LED : - Verte clignotante : Alimentation externe connectée, batterie en cours de charge - Désactivé : aucune alimentation externe connectée ou batterie entièrement chargée 
 
Exigences d’installation
- Dissipation de puissance maximale (entièrement chargé)
- 15 W maximum Courant de ligne maximum de 0,2 A pour une ligne de 90 V. 
- Courant de surcharge
- 2 A crête maximum, à 25 °C (77 °F) pour ≤ 5 cycles de ligne, une fois que le produit est hors tension depuis au moins 30 secondes. 
- Espace pour le refroidissement
- Bas, haut - 25,4 mm (1,0 po) - Côtés - 25,4 mm (1,0 po) - Arrière : 25,4 mm (1,0 po) 
- Entrée CC externe
- Tension
- 18 V
- Limites de la plage de tension
- En fonctionnement : +12,0 V à +19,95 V - Chargeur de batterie : +17,5 V à +19,95 V 
- Type de connecteur
- Mâle 2,5 mm - Conducteur central : positif - Conducteur central : négatif 
 
- Sortie de l'adaptateur secteur
- 18 V ± 5 %, 5 A (90 W max) - Conducteur central : positif - Conducteur central : négatif 
- Batterie
- Tension nominale
- 14,4 V
- Capacité nominale
- 6 140 mAh
- Technologie de batterie
- Li-Ion, batterie intelligente compatible avec l’interface SMBus.
- Durée de vie de la batterie en fonctionnement
- 4 heures de fonctionnement en continu par batterie
- Température de fonctionnement de la batterie
- Fonctionnement (décharge) 1 : -10 °C à +45 °C (14 °F à 113 °F) 2
- Durée de vie de la batterie en stockage
- 2 ans à +20 °C (68 °F) en nominal
 
1Dans le cadre d’un fonctionnement à -10 °, il peut être nécessaire de démarrer l’unité au préalable à température ambiante.
2Varie en fonction du courant de décharge et des caractéristiques de dissipation thermique, la limite réelle peut être inférieure.
Caractéristiques physiques
- Caractéristiques physiques
- Largeur
- 299,1 mm (11,78 po)
- Hauteur
- 67,3 mm (2,65 po)
- Longueur
- 271,3 mm (10,68 po)
- Poids net
- 2,54 kg (5,6 livres) sans batterie, 2,99 kg (6,6 livres) avec batterie
 
Environnement et sécurité
- Température
- Sans batterie installée
- En fonctionnement : -10 ℃ à +55 ℃ (-10,00 ℃ à +55,00 ℃) - Hors fonctionnement : -51 °C à +71 °C (-60 °F à +160 °F) 
- Avec batterie installée
- En fonctionnement (décharge)1 : -10 °C à +45 °C (+14 °F à +113 °F)2
 
- Humidité
- Sans batterie installée
- MIL-PRF-28800F classe 2 - En fonctionnement : - HR (humidité relative) de 5 % à 95 ± 5 % sur la plage de températures +10 °C à 30 °C (+50 °F à 86 °F) - HR de 5 % à 75 ± 5 % pour des températures comprises entre +30 °C et 40°C (+86 °F à 104 °F) - HR de 5 % à 45 ± 5 % pour des températures comprises entre +40 °C et +55 °C (+86 °F à +131 °F) - Pour des températures <10 °C (+50 °F), l’humidité n’est pas contrôlée ni condensée 
- Avec batterie installée
- En fonctionnement : - HR (humidité relative) de 5 % à 95 % sur la plage de températures +10 °C à 30 °C (+14 °F à +86 °F) - HR de 5 % à 45% pour des températures comprises entre +30 °C et 50 °C (+86 °F à 122 °F) - Pour des températures <10 °C (+50 °F), l’humidité n’est pas contrôlée ni condensée 
 
- Altitude
- En fonctionnement
- Jusqu'à 5 000 m (16 404 pieds) 
- Hors fonctionnement
- Jusqu'à 15 240 m (50 000 pieds) 
 
Saisissez une courte description de votre référence ici (optionnel).
- Exposition
- Test de résistance aux éclaboussures, en fonctionnement et à l’arrêt
- Aucun risque d’électrocution après exposition au test de résistance aux éclaboussures à l’arrêt conformément à la norme CEI529, niveau IP52.
- Test de résistance à la poussière, en fonctionnement et à l’arrêt
- Méthode de test conforme à la norme CEI529, niveau IP52, conditions de test 13.4 et 13.5.
- Test d’exposition au sel, composantes structurelles
- Norme MIL-STD-810, méthode 509.1, procédure 1
 
Dynamique
- Vibration
- En fonctionnement
- Test de vibrations aléatoires de classe 2 Tektronix à 2,66 GRMS : 5-500 Hz, 3 axes à 10 min/axe 
- Hors fonctionnement
- MIL-PRF-28800F classe 2 - 0,030 g2/Hz, 10-500 Hz, 30 minutes par axe, trois axes (90 minutes en tout) 
 
- Chocs
- En fonctionnement
- Méthode de test conforme à la norme militaire MIL-PRF-28800F 1-4
- Hors fonctionnement
- Dépasse les exigences de la norme militaire Standard MIL-PRF-28800F
 
- Manipulation et transport
- Manipulation en banc d'essai, en fonctionnement
- MIL-PRF-28800F classe 2 
- Chute durant le transport, hors fonctionnement
- MIL-PRF-28800F classe 2
- Chute libre, hors fonctionnement
- 81,28 cm
 
Mesures de désadaptation globale, de distance de défaut et de perte de câble
- Mesures de désadaptation globale, de distance de défaut et de perte de câble
- Mesures
- Désadaptation globale, perte de câble, distance de défaut
- Plage de fréquences
- 10 MHz à 3 GHz (RSA503A) 10 MHz à 7,5 GHz (RSA507A) 
- Vitesse de balayage1
- 5 ms/point, mesure de désadaptation globale 5 ms/point, mesure de la distance jusqu’à la défaillance 5 ms/point, mesure de perte de câble 
- Résolution de fréquence
- 500 Hz
- Erreur de mesure de désadaptation globale
- Désadaptation globale de 0 à 15 dB : ±0,5 dB Désadaptation globale de 15 à 25 dB : ±1,5 dB 
- Erreur de mesure de désadaptation globale à 14 dB
- ±1,5 dB de 10 MHz à 6,8 GHz ±3 dB de 6,8 GHz à 7,5 GHz ±1,0 dB de 10 MHz à 6,8 GHz ±2,5 dB de 6,8 GHz à 7,5 GHz 
- Plage de mesures de désadaptation globale
- 50 dB
- Immunité d'interférence
- Erreur de mesure de désadaptation globale dans les limites de spécification et les conditions suivantes : puissance du brouilleur de +5 dBm à 800 kHz du point de mesure puissance du brouilleur de +5 dBm à plus de 800 kHz du point de mesure 
- Plage de distance de défaut
- 1 500 m ou 15 dB sur une perte de câble à sens unique, défini par l'utilisateur
- Résolution de la distance de défaut
- 0,03 m (RSA503A, RG-58 (Vp=0,66)), défini par l'utilisateur 0,01 m (RSA507A, RG-58 (Vp=0.66)), défini par l'utilisateur La résolution minimale est une fonction du facteur de vitesse du câble et du saut de fréquence, comme suit : 
 
1Balayage de 201 points mesuré avec un Panasonic Toughpad FZ-G1.
Informations commerciales
Modèles
Série RSA500A- Série RSA500A
- Analyseur de spectre en temps réel USB, bande d'acquisition de 40 MHz - Le RSA500 requiert un PC équipé du système d'exploitation Windows 7, Windows 8/8.1 ou Windows 10 64 bits. Une connexion USB 3.0 est requise pour utiliser le RSA500 . Une mémoire RAM de 8 Go et 20 Go d'espace disponible sur le disque sont requis pour l'installation de SignalVu-PC. Pour profiter au maximum des performances des fonctionnalités du RSA500 , un processeur Intel Core i7 de 4e génération est nécessaire. Des processeurs de moindres performances peuvent être utilisés, avec des performances en temps réel réduites. L'archivage de données en streaming exige que le PC soit équipé d'un lecteur capable d'archiver en streaming à une vitesse de 300 Mo/sec. - Comprend : Câble USB 3.0 (2 m), connexion A-A, mousqueton, bandoulière, mallette de transport (avec rangement pour l’unité, tablette, accessoires),version papier du guide de démarrage rapide, capuchons de connecteurs, batterie Li-Ion rechargeable WFM200BA, version papier des instructions pour la batterie Li-Ion WFM200BA, adaptateur secteur, cordon d’alimentation(consulter les options de prises secteur), clé USB avec SignalVu-PC, API et fichiers de documentation. - Article - Description - RSA503A - Analyseur de spectre en temps réel USB, 9 kHz à 3,0 GHz, bande passante d'acquisition de 40 MHz - Option 04 - Générateur de suivi, 10 MHz à 3,0 GHz - Option CTRL-G1-B - Contrôleur portable, prise électrique Brésil, voir la liste de pays - Option FZ-G1 - Contrôleur portable, prise électrique Chine, voir la liste de pays - Option CTRL-G1-E - Contrôleur portable, prise électrique Europe, voir la liste de pays - Option CTRL-G1-I - Contrôleur portable, prise électrique Inde, voir la liste de pays - Option CTRL-G1-N - Contrôleur portable, prise électrique Amérique du Nord, voir la liste de pays - Option CTRL-G1-U - Contrôleur portable, prise électrique R.-U., voir la liste de pays - RSA507A - Analyseur de spectre en temps réel USB, 9 kHz à 7,5 GHz, bande passante d'acquisition de 40 MHz - Option 04 - Générateur de suivi, 10 MHz à 7,5 GHz - Option CTRL-G1-B - Contrôleur portable, prise électrique Brésil, voir la liste de pays - Option FZ-G1 - Contrôleur portable, prise électrique Chine, voir la liste de pays - Option CTRL-G1-E - Contrôleur portable, prise électrique Europe, voir la liste de pays - Option CTRL-G1-I - Contrôleur portable, prise électrique Inde, voir la liste de pays - Option CTRL-G1-N - Contrôleur portable, prise électrique Amérique du Nord, voir la liste de pays - Option CTRL-G1-U - Contrôleur portable, prise électrique R.-U., voir la liste de pays - RSA500TRANSIT - Étui de transport rigide pour analyseur de spectre en temps réel série RSA500, tablette et accessoires 
Options
RSA500A options de la prise secteur
- Option A0
- Prise électrique Amérique du Nord (115 V, 60 Hz)
- Option A1
- Prise électrique universelle Europe (220 V, 50 Hz)
- Option A2
- Prise électrique Royaume-Uni (240 V, 50 Hz)
- Option A3
- Prise électrique Australie (240 V, 50 Hz)
- Opt. A4
- Prise électrique Amérique du Nord (240 V, 50 Hz)
- Option A5
- Prise électrique Suisse (220 V, 50 Hz)
- Option A6
- Prise électrique Japon (100 V, 50/60 Hz)
- Option A10
- Prise électrique Chine (50 Hz)
- Option A11
- Prise électrique Inde (50 Hz)
- Option A12
- Prise électrique Brésil (60 Hz)
- Option A99
- Pas de cordon d'alimentation
Options de langue pour le RSA500
- Option L0
- Manuel en anglais
- Option L1
- Manuel en français
- Option L2
- Manuel en italien
- Option L3
- Manuel en allemand
- Option L4
- Manuel en espagnol
- Option L5
- Manuel en japonais
- Option L6
- Manuel en portugais
- Option L7
- Manuel en chinois simplifié
- Option L8
- Manuel en chinois traditionnel
- Option L9
- Manuel en coréen
- Option L10
- Manuel en russe
RSA500A options de service1
- Option C3
- Service d'étalonnage 3 ans
- Option C5
- Service d'étalonnage 5 ans
- Option D1
- Rapport de données d'étalonnage
- Option D3
- Rapport de données d'étalonnage 3 ans (avec option C3)
- Option D5
- Rapport de données d'étalonnage 5 ans (avec option C5)
- Option R5
- Service de réparation 5 ans (garantie comprise)
1Indisponible dans les options de la tablette.
Garantie
- Garantie de la série RSA500 : 3 ans.
- Tablette FZ-G1 : Garantie de 3 ans avec assistance professionnelle (assurée par Panasonic dans la région d’achat)
- Antenne Alaris DF-A0047 : Garantie de 1 an, assurée par Alaris en Afrique du Sud. Assistance et étalonnage assurés par Alaris.
Tablette
- Tablettes commandées seules
- La nomenclature de la tablette Panasonic FZ-G1 lorsqu'elle est commandée seule est fournie ci-dessous. Consultez la liste d'options du RSA500 si vous souhaitez commander le contrôleur en tant qu'option du RSA500. La tablette FZ-G1 n'est pas disponible partout auprès de Tektronix, conformément aux informations de commande fournies ci-dessous. - Article - Description - Disponibilité régionale - FZ-G1-N - Contrôleur pour analyseurs de spectre USB, Panasonic ToughPad FZ-G1. Comprend une tablette, une batterie, un stylo numériseur avec cordon, un chargeur de batterie avec cordon d'alimentation. - Canada, Colombie, Équateur, Mexique, Philippines, Singapour, États-Unis - FZ-G1F - Contrôleur pour analyseurs de spectre USB, Panasonic ToughPad FZ-G1. Comprend une tablette, un stylo numériseur avec cordon, un chargeur de batterie avec cordon d'alimentation. - Chine - FZ-G1-I - Contrôleur pour analyseurs de spectre USB, Panasonic ToughPad FZ-G1. Comprend une tablette, une batterie, un stylo numériseur avec cordon, un chargeur de batterie avec cordon d'alimentation. - Inde - FZ-G1-E - Contrôleur pour analyseurs de spectre USB, Panasonic ToughPad FZ-G1. Comprend une tablette, une batterie, un stylo numériseur avec cordon, un chargeur de batterie avec cordon d'alimentation. - Autriche, Pays baltes, Belgique, Bosnie, Bulgarie, Chili, Croatie, République tchèque, Danemark, Finlande, France, Allemagne, Grèce, Hongrie, Indonésie, Irlande, Italie, Pays-Bas, Norvège, Pologne, Portugal, Roumanie, Slovaquie, Slovénie, Afrique du Sud, Espagne, Suède, Thaïlande, Turquie - FZ-G1-U - Contrôleur pour analyseurs de spectre USB, Panasonic ToughPad FZ-G1. Comprend une tablette, une batterie, un stylo numériseur avec cordon, un chargeur de batterie avec cordon d'alimentation. - Égypte, Kenya, Malaisie, Royaume-Uni - FZ-G1-B - Contrôleur pour analyseurs de spectre USB, Panasonic ToughPad FZ-G1. Comprend une tablette, une batterie, un stylo numériseur avec cordon, un chargeur de batterie avec cordon d'alimentation. - Brésil - FZ-G1-J - Contrôleur pour analyseurs de spectre USB, Panasonic ToughPad FZ-G1. Comprend une tablette, une batterie, un stylo numériseur avec cordon, un chargeur de batterie avec cordon d'alimentation. - Japon 
- Accessoires pour Panasonic FZ-G1
- Article - Description - FZ-VZSU84U 1 - Batterie Li-ion, capacité standard - FZ-VZSU88U1 - Batterie longue durée pour Panasonic ToughPad FZ-G1 - FZ-BNDLG1BATCHRG9 - Ensemble de recharge de batterie simple pour FZ-G1, 1 chargeur et 1 adaptateur - CF-LNDDC1209 - Adaptateur pour véhicule Lind entrée 12-32 V, 120 W pour Tough Pad et RSA500A - TBCG1AONL-P - Panasonic Toughmate always on case pour FZ-G1 - TBCG1XSTP-P - Infocase Toughmate X-strap pour Panasonic FZ-G1 
1Indisponible en Chine à Hong Kong, Macao ou en Mongolie
Licences
Modules propres à l'application SignalVu-PC
| Licence d'application | Description | 
|---|---|
| SVANL-SVPC | Analyse audio AM/FM/PM/Direct : licence avec blocage de nœud | 
| SVAFL-SVPC | Analyse audio AM/FM/PM/Direct : licence flottante | 
| SVTNL-SVPC | Mesure d'ajustement du temps (fréquence et phase) : licence avec blocage de nœud | 
| SVTFL-SVPC | Mesure d'ajustement du temps (fréquence et phase) : licence flottante | 
| SVMNL-SVPC | Analyse de modulation à usage général avec analyseur de bande passante d'acquisition <= 40 MHz ou MDO : licence avec blocage de nœud | 
| SVMFL-SVPC | Analyse de modulation à usage général avec analyseur de bande passante d'acquisition <= 40 MHz ou MDO : licence flottante | 
| SVPNL-SVPC | Analyse d'impulsion avec analyseur de bande passante d'acquisition <= 40 MHz ou MDO : licence avec blocage de nœud | 
| SVPFL-SVPC | Analyse d'impulsion avec analyseur de bande passante d'acquisition <= 40 MHz ou MDO : licence flottante | 
| SVONL-SVPC | Analyse OFDM flexible : licence avec blocage de nœud | 
| SVOFL-SVPC | Analyse OFDM flexible : licence flottante | 
| SV23NL-SVPC | Mesures WLAN, 802.11a/b/g/j/p : licence avec blocage de nœud | 
| SV23FL-SVPC | Mesures WLAN, 802.11a/b/g/j/p : licence flottante | 
| SV24NL-SVPC | Mesure WLAN 802.11n (SV23 requis) : licence avec blocage de nœud | 
| SV24FL-SVPC | Mesure WLAN 802.11n (SV23 requis) : licence flottante | 
| SV25NL-SVPC | Mesure WLAN 802.11ac avec analyseur de bande passante d'acquisition <= 40 MHz (SV23 et SV24 requis) ou MDO : licence avec blocage de nœud | 
| SV25FL-SVPC | Mesure WLAN 802.11ac avec analyseur de bande passante d'acquisition <= 40 MHz (SV23 et SV24 requis) ou MDO : licence flottante | 
| SV26NL-SVPC | Mesure APCO P25 : licence avec blocage de nœud | 
| SV26FL-SVPC | Mesure APCO P25 : licence flottante | 
| SV27NL-SVPC | Mesure Bluetooth avec analyseur de bande passante d'acquisition <= 40 MHz ou MDO : licence avec blocage de nœud | 
| SV27FL-SVPC | Mesure Bluetooth avec analyseur de bande passante d'acquisition <= 40 MHz ou MDO : licence flottante | 
| MAPNL-SVPC | Mappage : licence avec blocage de nœud | 
| MAPFL-SVPC | Mappage : licence flottante | 
| SV56NL-SVPC | Lecture de fichiers enregistrés : licence avec blocage de nœud | 
| SV56FL-SVPC | Lecture de fichiers enregistrés : licence flottante | 
| SV60NL-SVPC | Désadaptation globale, VSWR, perte de câble et distance de défaut : licence avec blocage de nœud | 
| SV60FL-SVPC | Désadaptation globale, VSWR, perte de câble et distance de défaut : licence flottante | 
| CONNL-SVPC | SignalVu-PC en liaison directe avec les oscilloscopes à domaine mixte série MDO4000B : licence avec blocage de nœud | 
| CONFL-SVPC | SignalVu-PC en liaison directe avec les oscilloscopes à domaine mixte série MDO4000B : licence flottante | 
| SV2CNL-SVPC | WLAN 802.11a/b/g/j/p/n/ac en liaison directe avec le MDO4000B, combiné avec l'analyseur de bande passante d'acquisition <= 40 MHz : licence avec blocage de nœud | 
| SV2CFL-SVPC | WLAN 802.11a/b/g/j/p/n/ac en liaison directe avec le MDO4000B, combiné avec l'analyseur de bande passante d'acquisition <= 40 MHz : licence flottante | 
| SV28NL-SVPC | Mesure RF LTE en liaison descendante avec analyseur de bande passante d'acquisition <= 40 MHz ou MDO : licence avec blocage de nœud | 
| SV28FL-SVPC | Mesure RF LTE en liaison descendante avec analyseur de bande passante d'acquisition <= 40 MHz ou MDO : licence flottante | 
| SV54NL-SVPC | Étude et classification de signal : licence avec blocage de nœud | 
| SV54FL-SVPC | Étude et classification de signal : licence flottante | 
| SV60NL-SVPC | Perte de retour, distance de défaut, VSWR, perte de câble : licence avec blocage de nœud (requiert l'option 04 sur le RSA500A/600A) | 
| SV60FL-SVPC | Perte de retour, distance de défaut, VSWR, perte de câble : licence flottante (requiert l'option 04 sur le RSA500A/600A) | 
| SV30NL-SVPC | Mesures WiGig 802.11ad : licence avec blocage de nœud (uniquement pour les analyses hors ligne) | 
| SV30FL-SVPC | Mesures WiGig 802.11ad : licence flottante (uniquement pour les analyses hors ligne) | 
| EDUFL-SVPC | Version éducative uniquement de tous les modules de SignalVu-PC : Licence flottante | 
Accessoires recommandés
Accessoires de générateur de suivi
Différents kits d'étalonnage et câbles à phase stabilisée sont disponibles avec le générateur de suivi RSA500 lorsque ce dernier est utilisé avec le logiciel de mesures de câble et d'antenne en option.
- CALOSLNM
- Kit d'étalonnage, 3 en 1, court, charge, CC jusqu'à 6 GHz, Type N (m), 50 Ω
- CALOSLNF
- Kit d'étalonnage, 3 en 1, court, charge, CC jusqu'à 6 GHz, Type N (f), 50 Ω
- CALOSLNF
- Kit d'étalonnage, 3 en 1, court, charge, CC jusqu'à 6 GHz, 7/16 DIN (m)
- CALOSL716F
- Kit d'étalonnage, 3 en 1, court, charge, CC jusqu'à 6 GHz, 7/16 DIN (f)
- CALSOLT35F
- Kit d'étalonnage, 4 en 1, 3,5 mm (f), court, charge, 13 GHz
- CALSOLT35M
- Kit d'étalonnage, 4 en 1, 3,5 mm (m), court, charge, 13 GHz
- CALSOLTNF
- Kit d'étalonnage, 4 en 1, type N (f), court, charge, 9 GHz
- CALSOLTNM
- Kit d'étalonnage, 4 en 1, type N (m), court, charge, 9 GHz
- CALSOLT716F
- Kit d'étalonnage, 4 en 1, 7/16 (f), court, charge, 6 GHz
- CALSOLT716M
- Kit d'étalonnage, 4 en 1, 7/16 (m), court, charge, 6 GHz
- 012-1745-00
- Câble, résistant, stabilisation de phase, type N (m) vers type N (f), 1,5 m (5 pi)
- 012-1746-00
- Câble, résistant, stabilisation de phase, type N (m) vers type N (m), 1,5 m (5 pi)
- 012-1747-00
- Câble, résistant, stabilisation de phase, type N (m) vers 7/16 (f), 60 cm (23,6 po)
- 012-1748-00
- Câble, résistant, stabilisation de phase, type N (m) vers 7/16 (f), 1 m (3,28 pi)
- 012-1749-00
- Câble, résistant, stabilisation de phase, type N (m) vers 7/16 (f), 1,5 m (5 pi)
- 012-1750-00
- Câble, résistant, stabilisation de phase, type N (m) vers 7/16 (m), 1 m (3,28 pi)
- 012-1751-00
- Câble, résistant, stabilisation de phase, type N (m) vers 7/16 (m), 1,5 m (5 pi)
- 012-1752-00
- Câble, résistant, stabilisation de phase, type N (m) vers 7/16 (m), 60 cm (23,6 po)
- 012-1753-00
- Câble, résistant, stabilisation de phase, type N (m) vers DIN 9,5 (f), 60 cm (23,6 po)
- 012-1754-00
- Câble, résistant, stabilisation de phase, type N (m) vers DIN 9,5 (f), 1 m (3.28 pi)
- 012-1755-00
- Câble, résistant, stabilisation de phase, type N (m) vers DIN 9,5 (f), 1,5 m (5 pi)
- 012-1756-00
- Câble, résistant, stabilisation de phase, type N (m) vers DIN 9,5 (m), 1 m (3,28 pi)
- 012-1757-00
- Câble, résistant, stabilisation de phase, type N (m) vers DIN 9,5 (m), 1,5 m (5 pi)
- 012-1758-00
- Câble, résistant, stabilisation de phase, type N (m) vers DIN 9,5 (m), 60 cm (23,6 po)
- 012-1759-00
- Câble, résistant, stabilisation de phase, type N (m) vers TNC (f), 1 m (3,28 pi)
- 012-1760-00
- Câble, résistant, stabilisation de phase, type N (m) vers TNC (f), 1,5 m (5 pi)
- 012-1761-00
- Câble, résistant, stabilisation de phase, type N (m) vers TNC (f), 60 cm (23,6 po)
- 012-1762-00
- Câble, résistant, stabilisation de phase, type N (m) vers TNC (m), 60 cm (23,6 po)
- 012-1763-00
- Câble, résistant, stabilisation de phase, type N (m) vers TNC (m), 1 m (3,28 pi)
- 012-1764-00
- Câble, résistant, stabilisation de phase, type N (m) vers TNC (m), 1,5 m (5 pi)
- 012-1765-00
- Câble, résistant, stabilisation de phase, type N (m) vers type N (f), 60 cm (23,6 po)
- 012-1766-00
- Câble, résistant, stabilisation de phase, type N (m) vers type N (f), 1 m (3,28 pi)
- 012-1767-00
- Câble, résistant, stabilisation de phase, type N (m) vers type N (m), 1 m (3,28 pi)
- 012-1768-00
- Câble, résistant, stabilisation de phase, type N (m) vers type N (m), 60 cm (23,6 po)
- 012-1769-00
- Câble, résistant, stabilisation de phase, type N (m) vers type SMA (f), 60 cm (23,6 po)
- 012-1770-00
- Câble, résistant, stabilisation de phase, type N (m) vers type SMA (f), 1 m (3,28 pi)
- 012-1771-00
- Câble, résistant, stabilisation de phase, type N (m) vers type SMA (f), 1,5 m (5 pi)
- 012-1772-00
- Câble, résistant, stabilisation de phase, type N (m) vers type SMA (m), 60 cm (23,6 po)
- 012-1773-00
- Câble, résistant, stabilisation de phase, type N (m) vers type SMA (m), 1 m (3,28 pi)
- 012-1774-00
- Câble, résistant, stabilisation de phase, type N (m) vers type SMA (m), 1,5 m (5 pi)










